長江三角洲區域醫療器械注冊人制度試點工作實施方案(試行)(滬藥監械管〔2019〕112號)
為深入貫徹落實中共中央辦公廳、國務院辦公廳印發的《關于深化審評審批制度改革鼓勵藥品醫療器械創新的意見》(廳字〔2017〕42號),按照國家藥品監督管理局《關于擴大醫療器械
來源:醫療器械注冊代辦 發布日期:2025-09-10 閱讀量:次
附件:血流變分析儀注冊審查指導原則(2025年第20號).doc
本指導原則旨在指導注冊申請人對血流變分析儀注冊申報資料的準備及撰寫,同時也為技術審評部門對注冊申報資料的技術審評提供參考。
本指導原則是對血流變分析儀的一般要求,申請人應依據產品的具體特性確定其中內容是否適用,若不適用,需具體闡述理由及相應的科學依據,并依據產品的具體特性對注冊申報資料的內容進行充實和細化。
本指導原則是供申請人和審查人員使用的指導文件,不涉及注冊審批等行政事項,亦不作為法規強制執行,如有能夠滿足法規要求的其他方法,也可以采用,但應提供詳細的研究資料和驗證資料。應在遵循相關法規的前提下使用本指導原則。
本指導原則是在現行法規、標準體系及當前認知水平下制定的,隨著法規、標準體系的不斷完善和科學技術的不斷發展,本指導原則相關內容也將適時進行調整。
本指導原則適用于基于泊肅葉定律或牛頓粘性定律等原理,采用旋轉式或毛細管式,用于臨床對全血、血漿的血液流變特性進行分析的血流變分析儀(又稱“血液流變儀”“血液粘度計”)。
對臨床適用范圍廣泛,血液流變學檢測只是其適用范圍某一部分的臨床分析儀器,可參照本指導原則準備相應分析部分的注冊申報資料。
本指導原則針對血流變分析儀注冊申報資料中的部分內容進行撰寫,其他未盡事宜應當符合《關于公布醫療器械注冊申報資料要求和批準證明文件格式的公告》等相關法規要求。
(一)監管信息
包括申請表、術語、縮寫詞列表、產品列表、關聯文件、申報前與監管機構的聯系情況和溝通記錄、符合性聲明等文件,重點關注以下內容。
1.產品名稱
申請人應描述申報產品的通用名稱及其確定依據。按照《醫療器械通用名稱命名規則》、《臨床檢驗器械通用名稱命名指導原則》、《醫療器械分類目錄》及相關法規的要求,產品通用名稱由核心詞和特征詞組成,如全自動血液流變分析儀。
2.管理類別和分類編碼
根據2017版《醫療器械分類目錄》,管理類別為第Ⅱ類,所屬分類子目錄為22臨床檢驗器械,一級產品類別為01血液學分析設備,二級產品類別為06血流變分析儀器,分類編碼為22-01-06。
3.結構及組成
一般分為毛細管式和旋轉式。毛細管式血流變分析儀通常由加樣系統(如適用)、毛細管、樣品池(如適用)、檢測系統、控溫系統、驅動系統、軟件組件等組成;旋轉式血流變分析儀通常由加樣系統(如適用)、樣品池、轉速控制與調節系統、力矩測量系統、控溫系統、軟件組件等組成。
4.注冊單元劃分
參考《醫療器械注冊單元劃分指導原則》,若申報產品存在多個型號規格或配置,應根據產品的技術原理及其特點、結構及組成、性能指標、適用范圍等關鍵要素進行注冊單元劃分。
結構及組成的不同對安全性和有效性有影響的情況,應劃分為不同的注冊單元,如全自動和半自動。
性能指標存在較大差異,導致適用范圍或作用機理不同時,宜劃分為不同的注冊單元。
適用范圍有實質不同的情況,應劃分為不同的注冊單元。
(二)綜述資料
綜述資料主要包括概述、產品描述、適用范圍和禁忌證、申報產品上市歷史及其他需說明的內容。重點關注以下內容:
1.產品描述
1.1工作原理
血液流變學檢測研究的是血液及其成分的流動性和變形性規律,而血液粘度的測量是其中最重要的指標之一。血液粘度是反映血液流變性的綜合指標,與血液循環的優劣或血液供應的多少密切相關。對于了解血液的流動性質和凝固性質及其在生理和病理條件下的變化規律具有重要意義。
?牛頓流體?是指任一點上的切應力都同切變率呈線性函數關系的流體。這種流體的粘度是恒定不變的,即切應力與切變率之比為恒定值。血漿可視為牛頓流體。凡是流體運動時其切應力與切變率不成線性關系的流體稱為非牛頓流體。全血是非牛頓流體,在一定的切變范圍內,全血粘度隨切變率的變化而變化。
血液粘度的測定方法主要分為兩大類:毛細管式粘度測定法和旋轉式粘度測定法。
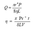
?毛細管法測定原理基于泊肅葉定律,通過測量一定體積的液體流經毛細管所需的時間來計算液體的粘度。

其中,Q是流量;η是液體的粘度;P為促使液體在管中流動的壓力;r為管道半徑;t是流出時間;L是管道長度;V是流過的體積。
當液體流經毛細管時,流量Q與管道兩端的壓力差P、管道半徑r成正比,并與管道長度L和流體粘度η成反比。具體來說,流量Q=V/t,其中V為流經毛細管的容積,t為流動的時間。由于r、L、P都可以在實驗條件下恒定,若恒定體積V,則η∝t;因此,通過測定液體流經毛細管的時間t即可計算出液體粘度η。
毛細管法測定反映的是平均切變率。一定體積的液體,在恒定的壓力驅動下,流過一定管徑的毛細管所需的時間與粘度成正比。
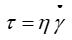
旋轉法測定原理基于牛頓粘性定律,即:

其中,為切應力,η為液體的粘度,為切變率。
?旋轉法能夠在不同切變率下測量全血的粘度,工作原理主要包括圓筒式和錐/板式。?圓筒式?由兩個同軸圓筒組成,圓筒間隙內放入待測液體,內筒與一個彈簧游絲(懸絲)相連。一般固定內筒不動,外筒以已知角度旋轉。血液分層流動把轉動造成的力矩傳到圓筒,這時圓筒會隨之偏轉一定的角度,血液粘度越大,則外筒轉動傳到內筒的力矩越大,內筒偏轉角度也越大。通過測量液體加在內筒壁上的扭力矩,換算成液體的粘度。?錐/板式?由一個圓板和一個同軸圓錐組成,待測量的液體放在圓錐和圓板間隙內,一般固定圓板,圓錐旋轉。通過測量液體加在圓錐上的扭力距換算成液體的粘度。
申請人應當根據申報產品的設計要求、結合結構組成及檢測步驟、采用文字加圖示的方式對產品工作原理及其實現機制進行詳細描述。對于申報產品與其他上市產品不同的特殊設計、設計開發過程中的重點研究內容也應著重介紹。
1.2結構組成
不同生產企業的產品,在結構上存在一定差異,需根據具體產品特性準確描述結構組成,其內容應與檢驗報告的相關內容保持一致。
申請人應提供產品圖示(含標識、接口、操控面板、應用部分等細節),含有多個組成部分的,應說明其連接或組裝關系。申請人可提供產品工程圖、關鍵組件工程圖,重點描述力學、光學、電學、熱學等關鍵組件(含傳感器)的設計考量。申請人應描述產品的主要功能及其組成部件(如關鍵組件和軟件等)的功能,以及區別于其他同類產品的特征等內容。
1.3型號規格
對于同一注冊單元申報產品存在多種型號規格的,應當明確各型號規格之間的區別,應當采用表格加說明性文字的圖片、圖表,對各型號規格的結構組成、功能、性能指標、運行模式等內容進行描述。
申請人應明確產品的型號,描述產品的規格,例如,外觀、物理尺寸、重量等。對于存在多種型號、規格產品,申請人應當明確各型號規格的區別,應當采用對比表或帶有說明性文字的圖片、圖表,描述各種型號規格的結構組成(或配置)、功能、產品特征和運行模式、技術參數等內容。
1.4包裝
概述產品包裝信息及與該產品一起銷售的配件包裝信息,含配件清單。
2.產品適用范圍
2.1預期用途
明確寫明產品的預期用途,應包括檢測原理、被測樣本類型和預期檢測項目類型。例如,“采用XX原理,用于臨床對全血、血漿的血液流變特性進行分析。”檢測原理,毛細管式采用泊肅葉定律,旋轉式采用牛頓粘性定律。樣本類型一般包括全血、血漿。流變特性一般指血漿粘度、在不同切變率下的全血粘度。
枸櫞酸鹽或草酸鹽抗凝容易引起血細胞皺縮,使血液粘度增大。檢測粘度的血標本不宜使用枸櫞酸鈉、草酸鈉等容易使細胞形態變化的抗凝劑,宜使用肝素類抗凝劑或EDTA抗凝劑。
2.2預期使用環境
明確寫明預期使用環境,包括申報產品預期使用的地點和預期使用的環境條件。
明確寫明申報產品預期使用的地點,如醫療機構。
明確寫明可能會影響申報產品安全性和有效性的環境條件,也即申報產品的正常工作條件,包括空間要求、溫度、濕度、海拔高度/大氣壓強、電源要求等,對每一條件均應給出具體的指標要求,如溫度范圍在10℃~30℃。
2.3目標用戶
明確寫明目標用戶為經專業培訓的醫療機構的檢驗人員,并寫明相關人員操作申報產品應當具備的基本能力要求和資格。
3.其它需說明的內容
申請人應說明與其組合使用實現預期用途的其他產品及其上市信息等。說明是否需與其他設備組合使用。
(三)非臨床資料
非臨床資料包括產品風險管理資料、醫療器械安全和性能基本原則清單、產品技術要求及檢驗報告、研究資料、非臨床文獻、穩定性研究、其他資料等,重點關注以下內容。
1.產品風險管理資料
依據GB/T 42062《醫療器械 風險管理對醫療器械的應用》,提供產品風險管理報告。風險分析至少應包括表1內容,申請人還應根據產品的自身特點確定其他危險。應按照GB/T 42062和YY/T 1437的要求對每種可能涉及的危險識別評估,為降低風險所執行風險控制,剩余風險的可接受性評定,產品受益相比綜合評價,并形成風險管理報告。


2.產品技術要求及檢驗報告
2.1產品技術要求
注冊申請人應按照《醫療器械產品技術要求編寫指導原則》編寫產品技術要求,性能指標應符合YY/T 1460《血液流變儀》的要求,包括功能性指標、安全性指標,具體至少包括正常工作條件、外觀、功能、切變率顯示的范圍、溫度準確性、波動性、準確度、重復性、樣本攜帶污染(全自動分析儀適用)、樣本加樣量準確度(全自動分析儀適用)、連續工作時間、電氣安全、電磁兼容、軟件組件等要求。性能指標項目的具體要求應與性能研究資料保持一致,并具有確定的研究資料依據。電氣安全應當符合適用的國家標準和行業標準中的要求。正常工作環境以產品標稱為準,但需經相應環境試驗驗證。軟件組件在“產品型號/規格及其劃分說明”明確軟件的名稱、型號規格(如適用)、發布版本、版本命名規則。在“性能指標”明確軟件的功能、使用限制、接口、訪問控制、運行環境(如適用)、性能效率(如適用)等要求。對于專用型獨立軟件視為軟件組件,除上述軟件組件要求外,還需在“附錄”中提供體系結構圖、用戶界面關系圖與主界面圖示、物理拓撲圖以及必要的注釋。環境試驗要求無需列入產品技術要求中。
如產品有額外模塊實現額外功能,應增加相應評價指標要求。
2.2檢驗報告
可提交申請人出具的自檢報告或委托有資質的醫療器械檢驗機構出具的檢驗報告。提交自檢報告需滿足《醫療器械注冊自檢管理規定》的要求。提交委托檢驗報告的,委托檢驗機構應具有相應檢驗資質,按照《醫療器械檢驗工作規范》進行檢驗。
同一注冊單元內所檢驗的產品應當是能夠代表本注冊單元內其他產品的安全性和有效性的典型產品。應考慮產品適用范圍、性能指標、安全指標、結構組成等,選擇功能最全、結構最復雜、風險最高的產品。若選擇典型性型號檢驗,申報資料中應提供典型型號覆蓋說明,具體原則如下:
(1)覆蓋按最不利的原則確定,不能覆蓋的差異性應分別檢測。
(2)涉及安全性、有效性的關鍵件應一致,不一致的應分別檢測。關鍵件一般包含:信號采集裝置、電源變壓器、用作瞬態過壓限制裝置的電路、顯示屏、熔斷器或熔斷器座、設備外殼材料、高完善性元器件及電源開關等。
(3)當沒有充足證據能夠證明同一注冊單元內不同型號規格產品之間電磁兼容性能可以覆蓋時,應選取每一型號規格產品進行電磁兼容項目檢測。
3.研究資料
3.1化學和物理性能研究
性能指標確定的依據應根據產品的工作原理描述設計輸入來源以及臨床意義,明確申報產品所采用的標準或方法、采用的原因及理論基礎。適用的國家標準、行業標準中,如果有不適用的條款,也應將不適用的條款及理由予以說明。對于標準中未給出具體要求的性能指標,注冊申請人應說明申報產品功能性能指標確定的依據。
注冊申請人應根據申報產品的工作原理、測量原理合理制定性能參數,包括功能性、安全性指標(如電氣安全與電磁兼容)。
申報產品各組成模塊性能的研究資料:應根據綜述資料中有關申報產品結構組成和各主要組成模塊的情況進行,提供詳細的研究資料,一般應包括對加樣模塊、溫控模塊、計時模塊、樣品傳送及處理模塊、檢測模塊的功能性指標或者模塊中主要元器件功能性指標的研究資料(僅舉例)。
申報產品臨床項目分析性能的研究資料:建議申請人根據申報產品的工作原理及功能性指標,對主要性能進行系統性研究,至少包含準確度、精密度、樣本攜帶污染率等。建議采用臨床樣本進行準確度研究,與已上市同類產品進行方法學比對。應采用臨床樣本對樣本攜帶污染率進行研究。因產品單次檢驗樣本用量較大,可采用臨床樣本或模擬樣本進行精密度研究,若采用模擬樣本,建議對模擬樣本的基質效應進行研究。
3.2電氣系統安全性研究
應當提供電氣安全性、機械和環境保護以及電磁兼容性的研究資料,說明適用的標準以及開展的研究。
電氣安全應當符合GB 4793.1、GB 4793.6、YY 0648及其他適用的國家標準和行業標準中的要求。
機械和環境保護可參照GB/T 14710《醫用電器環境要求及試驗方法》的要求。可采用其他等效或更優方法替代。在氣候環境試驗、機械環境試驗和運輸試驗結束后應進行全項檢驗,中間檢測應當為性能檢驗。
電磁兼容性應當符合GB/T 18268.1《測量、控制和實驗室用的電設備 電磁兼容性要求 第1部分:通用要求》和GB/T 18268.26《測量、控制和實驗室用的電設備 電磁兼容性要求 第26部分:特殊要求 體外診斷(IVD)醫療設備》及其他適用的國家標準和行業標準的要求。
具備能力的申請人可對上述項目自行研究,并提交詳細的驗證資料,不具備能力的申請人可通過委托有資質的醫療器械檢驗機構進行檢驗的方式對上述項目進行驗證,以委托檢驗報告作為該部分的驗證資料。
3.3軟件及網絡安全研究
應參照《醫療器械軟件注冊審查指導原則(2022年修訂版)》的要求提供研究資料,內容包括基本信息、實現過程、核心功能、結論等內容,詳盡程度取決于軟件安全性級別(嚴重、中等、輕微)。其中,基本信息包括軟件標識、安全性級別、結構功能、物理拓撲、運行環境、注冊歷史,實現過程包括開發概況、風險管理、需求規范、生存周期、驗證與確認、可追溯性分析、缺陷管理、更新歷史,明確核心功能、核心算法、預期用途的對應關系。
應參照《醫療器械網絡安全注冊審查指導原則(2022年修訂版)》提供研究資料,基本信息包括軟件信息、數據架構、網絡安全能力、網絡安全補丁、安全軟件,實現過程包括風險管理、需求規范、驗證與確認、可追溯性分析、更新維護計劃,漏洞評估明確已知漏洞相關信息。
3.4清潔、消毒、滅菌研究
一般情況下,血流變分析儀與使用者表面皮膚接觸,無需滅菌,由使用者常規擦拭或低水平消毒,可不提供消毒滅菌研究資料。若主機及配件涉及終端用戶消毒,注冊申請人應當明確推薦的消毒方法以及所推薦方法確定的依據及驗證的相關研究資料。
3.5可用性工程研究
血流變分析儀屬于中、低使用風險醫療器械,建議參考《醫療器械可用性工程注冊審查指導原則》提交使用錯誤評估報告,包括基本信息、使用風險級別、核心要素、同類醫療器械上市后使用問題分析、使用風險管理、結論等內容。若前期已開展可用性工程工作,亦可提交可用性工程研究報告,用于替代使用錯誤評估報告。
4.穩定性研究
4.1使用穩定性
使用期限一般主要取決于使用過程中部件、元器件的損耗、老化等,注冊申請人應按照聲稱的使用期限對設備進行老化/疲勞試驗,也可對影響設備使用期限的關鍵部件進行老化/疲勞試驗,例如設備中不可更換(或更換成本高)的部件,并提供相應的研究資料。研究資料應能證明上述部件按照所聲稱的使用期限,經過老化/疲勞試驗后,產品性能和安全仍符合預期的要求。使用期限也可基于已有數據進行合理的推斷、分析、計算得出,但應提供詳細的說明及支持性資料??蓞⒄铡队性瘁t療器械使用期限技術審查指導原則》的要求。
4.2運輸穩定性
注冊申請人對包裝和產品進行模擬試驗,模擬在貯存和運輸過程中,遇到極端情況時,例如環境(溫濕度、氣壓等)變化、跌落、振動、加速度等,產品不會發生性能、功能改變,包裝系統具有保護產品的能力。經過模擬試驗后,觀察包裝外觀是否有不可接受的異?,F象,對產品進行性能測試,證明運輸和環境測試后產品能夠保持其完整性和功能性。環境試驗可參考GB/T 14710《醫用電器環境要求及試驗方法》的要求,包裝要求可參考GB/T 4857系列標準。
5.其他資料
血流變分析儀(22-01-06)屬于列入《免于進行臨床評價的醫療器械目錄》(以下簡稱“目錄”)中的產品,應當按照《列入免于進行臨床評價醫療器械目錄產品對比說明技術指導原則》,從基本原理、結構組成、性能、安全性、適用范圍等方面,證明產品的安全有效性。
(四)臨床評價資料
該產品列入《免于臨床評價醫療器械目錄》,申請人無需提交臨床評價資料。
若申報產品與“目錄”中產品結構組成、工作原理、適用范圍不一致的,注冊申請人應當依據所申報產品的結構組成、性能參數和適用范圍等,應按相關指導原則進行臨床評價。
(五)產品說明書和標簽樣稿
1.產品說明書
產品說明書應當符合《醫療器械說明書和標簽管理規定》和YY/T 0466.1《醫療器械 用于制造商提供信息的符號 第1部分:通用要求》中的相關要求。產品說明書的內容均應有明確的來源,與綜述資料、研究資料等注冊申報資料的內容保持一致。結合產品特點重點關注以下內容:
主要結構組成:建議以實物照片/示意圖加文字的形式對申報產品的整體結構進行描述,標明各主要模塊的名稱(應包含軟件組件,并注明軟件組件的名稱、型號規格和發布版本)。建議以實物照片/透視圖/俯視圖/剖面圖加文字的形式對各主要模塊逐一進行描述,標明每一主要模塊的主要組成結構和主要元器件的名稱,對于重要元器件或功能零部件,建議單獨進行描述。
性能指標建議寫明以下內容:產品基本參數(主機尺寸、整機重量、開機預熱時間、功耗等)、正常工作條件(溫度、濕度、大氣壓力、電源要求)、電氣安全(瞬態過壓類別、污染等級)、電磁兼容信息(分組、分類)、檢測時間、整機性能指標(切變率顯示的范圍、溫度準確性、波動性、準確度、重復性、樣本攜帶污染、樣本加樣量準確度、連續工作時間)、產品功能、軟件等。
根據《醫療器械軟件注冊審查指導原則(2022年修訂版)》,說明書需體現軟件的功能、使用限制、輸入輸出數據類型、必備軟硬件、最大并發數、接口、訪問控制、運行環境(若適用)、性能效率(若適用)等信息,明確軟件發布版本。
根據《醫療器械網絡安全注冊審查指導原則(2022年修訂版)》,說明書需提供網絡安全說明和使用指導,明確用戶訪問控制機制、電子接口(含網絡接口、電子數據交換接口)及其數據類型和技術特征、網絡安全特征配置、數據備份與災難恢復、運行環境(含硬件配置、外部軟件環境、網絡環境,若適用)、安全軟件兼容性列表(若適用)、外部軟件環境與安全軟件更新(若適用)、現成軟件清單(SBOM,若適用)等要求。
2.標簽樣稿
應當符合《醫療器械說明書和標簽管理規定》的要求,其內容應當至少包括第十三條規定的所有適用內容。
(六)質量管理體系文件
產品質量管理體系文件應符合《醫療器械生產質量管理規范》的要求,并按照《醫療器械注冊申報資料要求及說明》提交資料。
[1]國家市場監督管理總局.醫療器械注冊與備案管理辦法:國家市場監督管理總局令第47號[Z].
[2]國家食品藥品監督管理總局.醫療器械說明書和標簽管理規定:國家食品藥品監督管理總局令第6號[Z].
[3]國家藥品監督管理局.醫療器械注冊申報資料要求和批準證明文件格式:國家藥監局公告2021年第121號[Z].
[4]國家藥品監督管理局.醫療器械產品技術要求編寫指導原則:國家藥監局通告2022年第8號[Z].
[5]國家藥品監督管理局醫療器械審評中心.醫療器械軟件注冊審查指導原則(2022年修訂版):國家藥監局器審中心通告2022年第9號[Z].
[6]國家食品藥品監督管理局.醫療器械分類目錄:國家食品藥品監督管理總局公告2017年第104號[Z].
[7]國家食品藥品監督管理局.醫療器械通用名稱命名規則:國家食品藥品監督管理總局令第19號[Z].
[8]國家藥品監督管理局醫療器械審評中心.體外診斷試劑說明書編寫指導原則(2023年修訂版):國家藥監局器審中心通告2024年第1號[Z].
[9]國家食品藥品監督管理局.醫療器械注冊單元劃分指導原則:總局關于發布醫療器械注冊單元劃分指導原則的通告2017年第187號[Z].
[10]國家藥品監督管理局.免于臨床評價醫療器械目錄:國家藥監局通告2023年第33號[Z].
[11]GB/T 42062,醫療器械 風險管理對醫療器械的應用[S].
[12]GB 4793.1,測量、控制和實驗室用電氣設備的安全要求 第1部分:通用要求[S].
[13]GB 4793.6,測量、控制和實驗室用電氣設備的安全要求 第6部分:實驗室用材料加熱設備的特殊要求[S].
[14]GB/T 14710,醫用電器環境要求及試驗方法[S].
[15]GB/T 18268.1,測量、控制和實驗室用的電設備 電磁兼容性要求 第1部分:通用要求[S].
[16]GB/T 18268.26,測量、控制和實驗室用的電設備 電磁兼容性要求 第26部分:特殊要求 體外診斷(IVD)醫療設備[S].
[17]YY 0648,測量、控制和實驗室用電氣設備的安全要求 第2-101部分:體外診斷(IVD)醫用設備的專用要求[S].
[18]YY/T 0466.1,醫療器械 用于醫療器械標簽、標記和提供信息的符號 第1部分:通用要求[S].
[19]YY/T 1460,血液流變儀[S].
[20]喻超,哈小琴,韓冉,叢玉隆. 錐板法檢測全血黏度標準化專家共識[J]. 中國醫藥導報, 2023, 20(22):4-7.
[21]Oguz K. Baskurt, Michel Boynard, Giles C.Cokelet, et al. New guidelines for hemorheological laboratory techniques[J]. Clinical Hemorheology and Microcirculation, 2009, 42:75-97.

站點聲明
本網站所提供的信息僅供參考之用,并不代表本網贊同其觀點,也不代表本網對其真實性負責。圖片版權歸原作者所有,如有侵權請聯系我們,我們立刻刪除。如有關于作品內容、版權或其它問題請于作品發表后的30日內與本站聯系,本網將迅速給您回應并做相關處理。
鄭州思途醫療科技有限公司專注于醫療器械產品政策與法規規事務服務,提供產品注冊備案申報代理、臨床試驗、體系建立輔導、分類界定、申請創新辦理服務。
為深入貫徹落實中共中央辦公廳、國務院辦公廳印發的《關于深化審評審批制度改革鼓勵藥品醫療器械創新的意見》(廳字〔2017〕42號),按照國家藥品監督管理局《關于擴大醫療器械
為規范醫療器械注冊人跨區域委托生產的監督管理,推進長江三角洲區域醫療器械跨區域監管,根據《中共中央辦公廳國務院辦公廳關于深化審評審批制度改革鼓勵藥品醫療器械創新的意見》《
附件:血液透析用水處理設備注冊審查指導原則(2024年修訂版)(2024年第19號).doc血液透析用水處理設備注冊審查指導原則(2024年修訂版)本指導原則旨在指導注冊申請人對血液透析用水處理設備注冊申報資料的準備及撰寫,同時也為技術審評部門提供參考。本指導原則是對血液透析用水處理設備的一般要求,注冊申請人依據產品的具體特性確定其中內容是否適用。若不適用,要具體闡述理由及相應的科學依據,并依據產
國家藥監局關于發布免于進行臨床評價醫療器械目錄的通告(2025年第19號)發布時間:2025-05-13為做好醫療器械注冊管理工作,根據《醫療器械注冊與備案管理
附件:一次性使用醫用沖洗器產品注冊審查指導原則(2022年第41號).doc一次性使用醫用沖洗器產品注冊審查指導原則本指導原則旨在指導注冊申請人對一次性使用醫用
附件:醫療器械監督管理條例(2025年修訂版).doc醫療器械監督管理條例(2000年1月4日中華人民共和國國務院令第276號公布 2014年2月12日國務院第
本指導原則旨在幫助和指導注冊申請人對一次性使用腹部穿刺器注冊申報資料進行準備,以滿足技術審評的基本要求。同時有助于審評機構對該類產品進行科學規范的審評,提高審評工
國家市場監督管理總局令 第47號 《醫療器械注冊與備案管理辦法》已經2021年7月22日市場監管總局第11次局務會議通過,現予公布,自2021年10月1日起施行。 附件: 醫療器械注冊與備案管
國家藥監局器審中心關于發布影像型超聲診斷設備(第三類)注冊審查指導原則(2023年修訂版)的通告(2024年第29號)發布時間:2024-10-14為進一步規范
國家藥監局藥審中心關于發布《抗腫瘤藥物臨床試驗中SUSAR分析與處理技術指導原則》的通告(2024年第42號) 發布日期:20241010
行業資訊
知識分享
十年
醫療器械服務經驗
聯系思途,免費獲得專屬《落地解決方案》及報價
咨詢相關問題或咨詢報價,可以直接與我們聯系
思途CRO——醫療器械注冊臨床第三方平臺
