長江三角洲區域醫療器械注冊人制度試點工作實施方案(試行)(滬藥監械管〔2019〕112號)
為深入貫徹落實中共中央辦公廳、國務院辦公廳印發的《關于深化審評審批制度改革鼓勵藥品醫療器械創新的意見》(廳字〔2017〕42號),按照國家藥品監督管理局《關于擴大醫療器械
來源:醫療器械注冊代辦 發布日期:2025-08-28 閱讀量:次
附件:基孔肯雅病毒核酸檢測試劑技術審評要點(試行)(2025年第17號).doc
本審評要點旨在指導注冊申請人開展基孔肯雅病毒核酸檢測試劑的設計開發工作,準備產品注冊申報資料,同時也為技術審評部門提供參考。
本審評要點是對基孔肯雅病毒核酸檢測試劑的一般要求,申請人應依據產品的具體特性確定其中內容是否適用。若不適用,需具體闡述理由及相應的科學依據,并依據產品的具體特性對注冊申報資料的內容進行充實和細化。
本審評要點適用于基孔肯雅病毒核酸檢測試劑注冊申請和變更注冊申請的情形,其他未盡事宜應當符合《關于公布體外診斷試劑注冊申報資料要求和批準證明文件格式的公告》(國家藥品監督管理局公告2021年第122號)等相關法規的要求,同時建議參考《定性檢測體外診斷試劑分析性能評估注冊審查指導原則》、《體外診斷試劑主要原材料研究注冊審查指導原則》等適用的技術文件要求。
(一)產品技術要求及檢驗報告
注冊申請人應當在原材料質量和生產工藝穩定的前提下,根據產品研制、前期評價等結果,依據國家標準(如有)、行業標準及有關文獻資料,結合產品特性,按照《醫療器械產品技術要求編寫指導原則》(2022年第8號)的要求編寫產品技術要求。該類產品作為第三類體外診斷試劑,應當以附錄形式明確主要原材料以及生產工藝要求。
基孔肯雅核酸檢測試劑如有國家標準品,技術要求中應體現國家標準品的相關要求,并使用國家標準品對三批產品進行檢驗。
基孔肯雅病毒核酸檢測試劑的檢出限水平應符合國家相關指南文件規定,申報產品對國家靈敏度標準品(如有)的檢測結果應與聲稱的檢出限水平相當。
如有適用的國家標準、行業標準,產品技術要求的相關內容應不低于相應的要求。
(二)分析性能研究
注冊申請人應采用在符合質量管理體系的環境下生產的試劑盒進行分析性能研究,提交具體研究方法、試驗方案、試驗數據、統計分析結果等詳細資料。
如申報產品適用不同的機型,需要提交采用不同機型進行性能評估的資料。如申報產品包含不同的包裝規格,需要對各包裝規格進行分析或驗證。
如果試劑同時適用于血清和血漿樣本類型,可選擇具有統計學意義數量的樣本進行不同樣本類型一致性的同源比對研究。
分析性能評估所用樣本的基本信息均需明確,例如樣本來源、樣本類型、采集和處理方式、稀釋方式、定值過程及數據等。
分析性能評估用樣本一般應為真實樣本,如需稀釋,應采用陰性樣本進行稀釋。
建議著重對以下分析性能進行研究。
1.樣本穩定性
2.核酸(RNA)提取/純化性能
在進行核酸檢測之前,建議有核酸提取/純化步驟。該步驟的目的除最大量分離出目的RNA外,還應有相應的純化作用,盡可能去除PCR抑制物。對配合使用的所有核酸提取試劑進行提取核酸純度、濃度、提取效率的研究,并與質量較好的核酸提取試劑進行平行比對。若產品適用兩種或以上核酸提取試劑,則每一種核酸提取試劑均需配合檢測試劑進行抗干擾、精密度和檢出限的驗證。
3.精密度
應對精密度指標,如標準差或變異系數等的評價標準做出合理要求。應考慮運行、時間、操作者、儀器、試劑批次和地點等影響精密度的條件,設計合理的精密度試驗方案進行評價。精密度評價試驗應包含核酸提取步驟。設定合理的精密度評價周期,例如為期至少20天的檢測。對檢測數據進行統計分析,獲得重復性、實驗室內精密度、實驗室間精密度、批間精密度等結果。
應至少包含3個水平:陰性樣本、臨界陽性樣本、中/強陽性樣本,并根據產品特性設定適當的精密度要求,例如:
陰性樣本:待測物濃度為零濃度,陰性檢出率應為100%(n≥20)。
臨界陽性樣本:待測物濃度略高于試劑盒的檢出限,陽性檢出率應≥95%(n≥20)。
中/強陽性樣本:待測物濃度呈中度到強陽性,陽性檢出率為100%且Ct值的CV≤5%(n≥20)。
4.分析特異性
4.1交叉反應
4.1.1生物信息學分析
分析應當包括人基因組和其他近緣病毒、引起發熱、關節疼痛、出疹等相似癥狀的病原體。
4.1.2樣本驗證
采用滅活的臨床樣本或添加了滅活病原體培養物的陰性臨床樣本進行驗證,樣本基質應與預期檢測樣本類型一致,交叉反應研究用樣本主要考慮以下幾方面:
4.1.2.1發熱伴出疹相關病原體
登革病毒(DENV-1~DENV-4)、辛德畢斯病毒、蓋塔病毒、黃熱病毒、寨卡病毒、麻疹病毒、風疹病毒、乙型腦炎病毒*、水痘-帶狀皰疹病毒*、單純皰疹病毒*、細小病毒B19*、人類皰疹病毒 6*、人類皰疹病毒 7*、肺炎衣原體*、志賀氏菌*、淋球菌*、溶血性鏈球菌*、立克次體*。
注:“*”項為選擇性驗證的病原體,可在其中選擇不少于9個進行驗證。
4.1.2.2可能在血液樣本中存在的其他常見病原體
乙型肝炎病毒、丙型肝炎病毒、EB病毒、人巨細胞病毒。
4.1.2.3高濃度人類基因組DNA
病毒培養液的濃度單位可采用TCID50或PFU/mL,細菌培養物濃度單位可采用CFU/mL。建議在病毒和細菌感染的醫學相關水平進行交叉反應的驗證。通常,細菌感染的水平為106 CFU/mL或更高,病毒為105 PFU/mL或更高,也可采用其他合理的方法對病原體濃度進行定值,提交相關依據。
申請人應提供所有用于交叉反應驗證的病毒和細菌的來源、種屬/型別信息和濃度確認等試驗資料。
4.2干擾
4.2.1干擾物質研究
應根據所采集樣本類型,針對可能存在的內源/外源物質干擾情況進行驗證,驗證推薦物質見表1。建議申請人在每種干擾物質的潛在最大濃度(“最差條件”)條件下進行試驗,檢測包含臨界陽性水平在內的基孔肯雅病毒樣本。對結果進行合理的統計分析,對比添加干擾物質前后的Ct值差異。檢測的潛在干擾物包括樣本中的原有物質及在樣本采集和處理期間引入的物質。

4.2.2病原體干擾研究
應充分考慮臨床上容易與基孔肯雅病毒合并感染的病原體(如登革病毒等)及“4.1.1”中經生物信息學分析顯示存在較高同源性的病原體,在高濃度的情況下對低濃度(例如檢出限濃度)基孔肯雅病毒核酸檢測的影響,進行干擾研究。
5.檢出限
5.1檢出限的確定
建議采用至少3個樣本系列稀釋于與適用樣本一致的基質中,進行檢出限的確定。每個濃度梯度重復檢測,記錄不同濃度檢出的結果,采用適當的模型(如Probit分析)和分析方法,將具有95%陽性檢出率的最低濃度水平作為確定的檢出限。
5.2檢出限的驗證
選擇另外3個不同來源的樣本在檢出限濃度水平進行驗證,應達到95%陽性檢出率。
如檢測試劑包括多個可單獨報告的檢測靶標,應分別進行檢出限研究。
6.包容性
6.1應當采用生物信息學分析方法對產品檢測的包容性進行研究,對所有已公布的基孔肯雅病毒核酸序列進行序列比對分析,并對靶標范圍內的序列差異是否影響申報產品檢出能力進行分析驗證。
6.2驗證至少10個不同來源的臨床陽性樣本。研究應包括檢出限和重復性的驗證。
6.3基因型覆蓋
應對基孔肯雅病毒主要基因型,包括西非型、東中南非型(包含印度洋分支)、亞洲型及其他流行變異株進行包容性研究。研究可采用毒株或臨床樣本,如果樣本難以獲得,亦可采用假病毒。
7.企業參考品驗證
根據主要原材料研究資料中的企業參考品設置情況,采用三批產品對企業參考品進行檢驗并提供詳細的試驗數據。
(三)主要原材料研究
1.應詳述引物和探針的設計原則,提供引物、探針核酸序列、模板核酸序列及兩者的對應情況。提供檢測靶標的詳細確定依據。
2.企業參考品制備
申請人應根據產品性能驗證的實際情況自行設定企業參考品,包括陽性參考品、陰性參考品、檢出限參考品、精密度參考品。企業參考品應采用臨床樣本或者使用病毒培養物加入陰性樣本制備,不宜采用質粒、假病毒、基因組提取/純化物等核酸制備。企業參考品的設置建議如下:
陽性參考品應包含不同濃度水平基孔肯雅病毒陽性滅活毒株或臨床樣本。
陰性參考品則主要涉及對特異性的驗證情況,建議至少包括登革病毒、麻疹病毒等相似癥狀病原體,生信分析顯示同源性較高的病原體和干擾樣本。
檢出限參考品應包含95%陽性檢出水平或略高于檢出限水平的陽性滅活毒株或臨床樣本,如100%陽性檢出水平。
精密度參考品應至少包含兩個濃度水平,其中包含弱陽性水平。
(四)其他
主要原材料研究的其他內容、生產工藝、反應體系、穩定性、陽性判斷值等研究資料,可參考其他病原體核酸檢測試劑指導原則進行研究。
(五)臨床評價
1.臨床試驗機構
建議申請人在相關流行病學多發區域選擇臨床試驗機構,應是經備案的醫療器械臨床試驗機構(包括各級疾病預防控制中心)。臨床試驗機構數量應不少于3家,且具有分子生物學方法檢測的優勢,實驗操作人員應有足夠的時間熟悉檢測系統的各環節(儀器、試劑、質控及操作程序等),熟悉評價方案。在整個試驗中,試驗體外診斷試劑和對比方法/試劑均應處于有效的質量控制下,最大限度保證試驗數據的準確性及可重復性。
2.臨床試驗設計
2.1 對于新的基孔肯雅病毒核酸檢測試劑
2.1.1 與臨床參考方法的比較
申請人可采用核酸序列測定方法(臨床參考方法)作為對比方法,驗證試驗體外診斷試劑檢測結果與核酸序列測定(如:一代測序)結果之間的一致性。
臨床試驗資料中應對測序方法進行詳細的介紹,并提交性能驗證數據,證明測序方法與試驗體外診斷試劑的可比性。同時,還應提交測序引物和測序所擴增區段的生信分析資料,以確定測序區段對于基孔肯雅病毒核酸序列的特異性。
如測序試驗委托其他機構完成,還應提交由臨床試驗機構委托第三方機構/實驗室開展相關試驗的測序服務合同/協議。受托機構/實驗室應具有相應檢測能力和資質。
2.1.2 與臨床參考標準的比較
除上述比對試驗外,還應考慮試驗體外診斷試劑與臨床參考標準進行對比。臨床參考標準即按照相關管理部門發布的《基孔肯雅熱防控技術指南(2025年版)》和《基孔肯雅熱診斷衛生行業標準(WS/T 590-2018)》文件進行病例診斷的方法。
2.2 對于已有同類產品上市的情形
如有已上市同類產品,臨床試驗可選擇已上市的同類產品作為對比試劑,對比試劑的選擇應考慮樣本類型、產品性能等方面與試驗體外診斷試劑具有良好的可比性。
申請人亦可以參照上述2.1部分進行臨床試驗設計。
3.臨床試驗入組人群
臨床試驗的入組人群應為產品的預期適用人群,該產品的適用人群為基孔肯雅熱的疑似病例,申請人在進行臨床試驗時應依據相關管理部門發布的《基孔肯雅熱防控技術指南(2025年版)》和《基孔肯雅熱診斷衛生行業標準(WS/T 590-2018)》文件中對“疑似病例”的定義入組病例。
另外,臨床試驗建議納入一定數量的弱陽性樣本。弱陽性樣本應采用合理方法確定,一般將Ct值小于cutoff值3~5個Ct值的樣本定義為弱陽性樣本,應采用對比試劑或臨床診療過程中所用的適當的方法確定弱陽性。
4.臨床試驗樣本類型
臨床樣本的采集建議按照《基孔肯雅熱防控技術指南(2025年版)》等文件進行。
該類試劑可能涉及的樣本類型包括血清和血漿。針對血清和血漿樣本,如非臨床研究數據證明兩種樣本類型之間幾乎不存在差異,則臨床試驗中可將兩種樣本類型進行匯總統計。
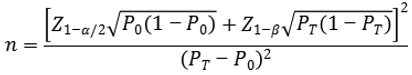
5.臨床試驗樣本量
與對比方法/試劑比較研究的臨床試驗樣本量應滿足統計學要求,可采用適當的統計學方法進行估算。臨床試驗可依據試驗體外診斷試劑相對于對比方法/試劑的陰陽性符合率分別估算最低陰陽性樣本例數。
臨床樣本量的估算建議采用如下樣本量公式計算,

公式中,n為樣本量;Z1-α/2、Z1-β為顯著性水平和把握度的標準正態分布的分數位,P0為評價指標的臨床可接受標準,PT為試驗體外診斷試劑評價指標預期值。
其中,陰陽性符合率的臨床可接受標準(P0)建議不低于90%。獲得臨床試驗數據后,證明產品相對于對比方法的陰陽性符合率(置信區間下限)不低于預設的臨床可接受標準(P0)。當評價指標P接近100%時,上述樣本量估算方法可能不適用,應考慮選擇更加適宜的方法進行樣本量估算和統計學分析,如精確概率法等。
與臨床參考標準的比較研究,建議參考與對比方法/試劑比較研究部分的樣本量估算方法,并設定合理的臨床可接受標準。
6.臨床試驗結果的統計分析
臨床試驗結果一般以四格表的形式進行總結,并據此計算試驗體外診斷試劑與臨床參考標準比較時的靈敏度和特異度及其95%置信區間,或與對比方法/試劑比較時的陽性/陰性符合率及其95%置信區間。應將試驗體外診斷試劑檢測結果與臨床參考標準的一致性、試驗體外診斷試劑與對比方法/試劑檢測結果一致性分別進行統計分析。
臨床試驗報告中應對入組受試者的基本情況進行分析,包括受試者年齡、性別的分布情況,以及臨床診斷背景等,確認入組樣本具有較好的代表性。
臨床試驗中所有不一致結果均應結合患者的流行病學背景、臨床癥狀、臨床診斷以及疾病治療、轉歸等信息進行充分的分析。臨床試驗結果應能夠證明產品臨床性能滿足臨床要求。
7. 境外臨床試驗數據的認可
境外臨床試驗數據應符合《接受醫療器械境外臨床試驗數據技術指導原則》和《使用體外診斷試劑境外臨床試驗數據的注冊審查指導原則》的相關要求。提交完整的臨床試驗方案、報告和倫理審查意見,以及該數據適用于中國患者人群的論證資料、境內外臨床試驗質量管理差異的對比資料和臨床試驗質量管理差異對于臨床試驗結果影響的論證資料。
注冊申請人應根據上述臨床試驗技術審評要求,論證境外臨床試驗數據的充分性。
8. 臨床證據的形式要求
申請人應按照《體外診斷試劑注冊與備案管理辦法》《關于公布體外診斷試劑注冊申報資料要求和批準證明文件格式的公告》等法規文件要求提交各機構倫理審查意見、臨床試驗方案、臨床試驗小結、臨床試驗報告以及臨床試驗數據庫。
臨床試驗數據匯總表作為臨床試驗小結的附件提交。數據表中應包括檢測病例的編號、年齡、性別、樣本類型、臨床診斷背景信息、試驗體外診斷試劑檢測結果(含各基因的Ct值)、對比方法/試劑的檢測結果(各基因的Ct值)和臨床診斷結果等。臨床應用的數據集中每一病例編號應能夠溯源。
(六)產品說明書
產品說明書格式應滿足《體外診斷試劑說明書編寫指導原則》的要求。產品說明書中技術內容應與注冊申報資料中的相關研究結果保持一致,如某些內容引用自參考文獻,應以規范格式進行標注,并單獨列明文獻的相關信息。其中,有關說明書的【預期用途】建議如下:
本試劑盒用于體外定性檢測基孔肯雅熱病疑似病例、其他需要進行基孔肯雅熱感染診斷或鑒別診斷者的xx樣本中基孔肯雅病毒核酸。
有關“疑似病例”等人群的定義參照《基孔肯雅熱防控技術指南》等文件執行。
該產品在使用上應當遵守《基孔肯雅熱防控技術指南》等文件的相關要求。
開展基孔肯雅病毒核酸檢測,應符合《基孔肯雅熱防控技術指南》等的要求,做好生物安全工作。
本試劑盒檢測結果僅供臨床參考,不得作為臨床診斷的唯一標準。建議結合患者臨床表現和其他實驗室檢測對病情進行綜合分析。

站點聲明
本網站所提供的信息僅供參考之用,并不代表本網贊同其觀點,也不代表本網對其真實性負責。圖片版權歸原作者所有,如有侵權請聯系我們,我們立刻刪除。如有關于作品內容、版權或其它問題請于作品發表后的30日內與本站聯系,本網將迅速給您回應并做相關處理。
鄭州思途醫療科技有限公司專注于醫療器械產品政策與法規規事務服務,提供產品注冊備案申報代理、臨床試驗、體系建立輔導、分類界定、申請創新辦理服務。
為深入貫徹落實中共中央辦公廳、國務院辦公廳印發的《關于深化審評審批制度改革鼓勵藥品醫療器械創新的意見》(廳字〔2017〕42號),按照國家藥品監督管理局《關于擴大醫療器械
為規范醫療器械注冊人跨區域委托生產的監督管理,推進長江三角洲區域醫療器械跨區域監管,根據《中共中央辦公廳國務院辦公廳關于深化審評審批制度改革鼓勵藥品醫療器械創新的意見》《
附件:血液透析用水處理設備注冊審查指導原則(2024年修訂版)(2024年第19號).doc血液透析用水處理設備注冊審查指導原則(2024年修訂版)本指導原則旨在指導注冊申請人對血液透析用水處理設備注冊申報資料的準備及撰寫,同時也為技術審評部門提供參考。本指導原則是對血液透析用水處理設備的一般要求,注冊申請人依據產品的具體特性確定其中內容是否適用。若不適用,要具體闡述理由及相應的科學依據,并依據產
國家藥監局關于發布免于進行臨床評價醫療器械目錄的通告(2025年第19號)發布時間:2025-05-13為做好醫療器械注冊管理工作,根據《醫療器械注冊與備案管理
附件:醫療器械監督管理條例(2025年修訂版).doc醫療器械監督管理條例(2000年1月4日中華人民共和國國務院令第276號公布 2014年2月12日國務院第
國家藥監局器審中心關于發布影像型超聲診斷設備(第三類)注冊審查指導原則(2023年修訂版)的通告(2024年第29號)發布時間:2024-10-14為進一步規范
附件:一次性使用引流管產品注冊審查指導原則(2024年修訂版)(2024年第21號).doc一次性使用引流管產品注冊審查指導原則(2024年修訂)本指導原則旨在幫助和指導注冊申請人對一次性使用引流管注冊申報資料的準備及撰寫,同時也為醫療器械技術審評部門對注冊申報資料的技術審評提供參考。本指導原則是對一次性使用引流管注冊申報資料的一般要求,注冊申請人應依據具體產品的特性對注冊申報資料的內容進行充分說
附件:大便隱血(FOB)檢測試劑盒(膠體金免疫層析法)注冊審查指導原則(2024年修訂版)(2024年第21號).doc大便隱血(FOB)檢測試劑盒(膠體金免疫層析法)注冊審查指導原則(2024年修訂版)本指導原則旨在指導注冊申請人對大便隱血(FOB)檢測試劑盒(膠體金免疫層析法)注冊申報資料的準備及撰寫,同時也為技術審評部門審評注冊申報資料提供參考。本指導原則是對大便隱血(FOB)檢測試劑盒(膠
附件:醫用霧化器注冊審查指導原則(2024修訂版)(2024年第19號).doc 醫用霧化器注冊審查指導原則(2024年修訂版) 本指導原則旨在指導注冊申請人提交醫用霧化器的注冊申報資料,同時也為技術審評部門審查注冊申報資料提供參考。 本指導原則是對醫用霧化器的一般性要求,注冊申請人應根據申報產品的特性提交注冊申報資料,判斷指導原則中的具體內容是否適用,不適用內容應闡述理
附件:生化分析儀注冊審查指導原則(2024年修訂版)(2024年第21號).doc 生化分析儀注冊審查指導原則(2024年修訂版) 本指導原則旨在為注冊申請人進行生化分析儀產品的注冊申報提供技術指導,同時也為醫療器械監督管理部門對注冊申報資料的審評提供技術參考。 本指導原則是對生化分析儀的一般要求,注冊申請人應依據產品的具體特性確定其中內容是否適用,若不適用,需具體闡述理
行業資訊
知識分享
八年
醫療器械服務經驗
聯系思途,免費獲得專屬《落地解決方案》及報價
咨詢相關問題或咨詢報價,可以直接與我們聯系
思途CRO——醫療器械注冊臨床第三方平臺
