山東省醫療器械工藝用水現場檢查指南(魯藥監械〔2021〕35號)
為規范醫療器械現場檢查,提升檢查員現場檢查能力,指導檢查員對醫療器械生產企業工藝用水控制情況的檢查,提高企業工藝用水質量安全保證水平,依據《醫療器械監督管理條例》
來源:醫療器械注冊代辦 發布日期:2021-04-15 閱讀量:次
附件:人細小病毒B19 IgM/IgG抗體檢測試劑注冊技術審查指導原則(2021年第24號).doc
本指導原則旨在指導注冊申請人對人細小病毒B19 IgM/IgG抗體檢測試劑注冊申報資料的準備及撰寫,同時也為技術審評部門審評注冊申報資料提供依據。
本指導原則是對人細小病毒B19 IgM/IgG抗體檢測試劑的一般要求,申請人應依據產品的具體特性確定其中內容是否適用,若不適用,需具體闡述理由及相應的科學依據,并依據產品的具體特性對注冊申報資料的內容進行充實和細化。
本指導原則是對申請人和審查人員的指導性文件,但不包括注冊審批所涉及的行政事項,亦不作為法規強制執行,如果有能夠滿足相關法規要求的其他方法,也可以采用,但需要提供詳細的研究資料和驗證資料,相關人員應在遵循相關法規的前提下使用本指導原則。
本指導原則是在現行法規、標準體系及當前認知水平下制定的,隨著法規、標準的不斷完善和科學技術的不斷發展,本指導原則相關內容也將適時進行調整。
人細小病毒B19 IgM/IgG抗體檢測試劑是指基于抗原抗體反應原理,采用免疫層析法、酶聯免疫法和化學發光法等檢測技術,對來源于血清或血漿等人體樣本中的B19 IgM/IgG抗體進行體外定性檢測的試劑。其臨床預期用途為:結合臨床表現和其他實驗室指標,可用于急性及慢性人細小病毒B19感染的輔助診斷及免疫狀態的評估和急性及慢性感染患者抗體的血清學轉換的判定。
人細小病毒B19(parvovirus B19,簡稱B19病毒)屬于細小病毒科(Parvoviridaefamily),紅病毒屬(Erythrovirusgenus),無包膜,是單鏈線狀DNA病毒。可以被分為1、2、3三種基因型,其中1型和3型又各自分為兩種亞型。B19病毒感染在人群中普遍存在,可通過呼吸道、血液、胎盤等進行傳播,并且可在各年齡段中發生,尤其在孕婦和兒童中多見。易感人群還包括免疫功能缺陷或者不全的患者及貧血患者。兒童感染后最常引發傳染性紅斑;免疫力正常人群感染后一般為輕型自限性癥狀;孕婦感染可造成胎兒水腫和貧血,嚴重時導致胎兒死亡;先天免疫缺陷患者、獲得性免疫缺陷患者、腫瘤或器官移植手術后進行化療的患者感染會導致慢性貧血癥;鐮狀細胞貧血癥等血液系統疾病患者感染會發生一過性再生障礙性危象而導致急性貧血;部分感染患者會出現關節疼痛等癥狀,隨后演變為多發性關節炎。
病毒血癥的后期階段,特異性IgM抗體開始出現。IgM抗體出現后可持續約5個月或者更久,對B19病毒特異IgM進行檢測可用于近期感染和疾病的早期診斷。B19病毒感染后約第15天,開始出現特異性IgG抗體,持續數月甚至終生。B19病毒有兩種衣殼蛋白VP1和VP2,一個非結構蛋白NS1。其中VP1和VP2組成衣殼包裹在B19病毒DNA表面,構成B19病毒的抗原性。針對結構蛋白VP1和VP2構象性表位的IgG抗體可維持高滴度數月,并長期存在體內,對該類IgG抗體進行檢測可用于既往感染的診斷和流行病學調查研究。
不同人群感染B19病毒后產生不同強度的免疫應答反應。健康成年人感染B19病毒后抗體反應非常強,能檢測到高滴度的特異性IgM抗體。B19病毒感染后在免疫功能正常兒童可產生特異性抗體,發病后數日可檢出IgM,持續數月。當患有溶血性貧血兒童感染B19病毒并發生再障危象時,IgM抗體反應特別強。此外,慢性血液病患者、免疫缺陷或抑制患者,有時缺乏可檢測到的抗體反應。
B19病毒感染檢測的常用方法有血清學抗體檢測、核酸檢測以及抗原檢測,其中B19病毒血清學抗體檢測是目前B19病毒感染臨床輔助診斷和流行病學調查研究的主要方法,用于對傳染性紅斑患者、或有B19病毒感染者接觸史、不明原因發熱、關節痛癥狀的高危對象進行檢測。血清學抗體檢測常應用于母體出現B19病毒感染臨床癥狀、有可疑或確診的B19病毒感染暴露史以及發現胎兒貧血后的情況。如懷疑孕婦有B19病毒接觸史以及發現胎兒存在貧血的癥狀,建議盡早對母體血液中B19病毒的IgM和IgG抗體進行檢測,聯合使用B19病毒DNA檢測、超聲檢查以及持續觀察有無胎兒水腫或貧血等手段,用于妊娠期B19病毒感染的輔助診斷以及免疫狀態的評價。
鑒于母體感染細小病毒B19不能作為胎兒感染的證據,并且大多數妊娠期急性細小病毒B19感染無不良妊娠結局的發生,本類試劑不用于孕期B19病毒感染的產前篩查。即該類產品不用于對母體以及胎兒無細小病毒B19相關癥狀的人群進行檢測。
(一)綜述資料
綜述資料主要包括產品預期用途、產品描述、有關生物安全性的說明、研究結果的總結評價以及同類產品上市情況介紹等內容。建議申請人對以下幾方面內容進行著重介紹:
1.臨床適應癥背景情況
描述B19病毒的生物學特征、流行病學特征、抗體的分布情況(濃度水平、產生和消失的時間等)、易感人群、感染后的臨床表現和相關疾病、現有的臨床診斷方法或其他實驗室檢查方法等。
2.同類產品上市情況
從技術方法及預期用途等方面寫明申報產品與現行臨床診斷方法以及目前市場上已獲批準的同類產品之間的主要異同點。
(二)主要原材料研究資料
由于B19病毒不同的抗原(VP1或VP2)以及表位(線性或構象)類型對于IgM/IgG抗體的檢出能力不同;因此在選擇產品原料時,應注重上述抗原以及表位的選擇,避免抗原或者表位的差異造成的假陰性。原材料研究資料中應詳述此方面的考慮。另外,建議加入產品校準品。
1.試劑盒所用病原體抗原
首先應詳述確定該抗原作為主要原材料的依據,此外應提交抗原來源、制備、篩選、鑒定及質量標準(蛋白純度、濃度、功能性試驗等)等詳細試驗資料。
主要包括以下兩種情況:
1.1企業自制抗原
如為天然抗原,則應對B19病毒毒株選擇、培養、抗原提取、純化、鑒定等實驗過程予以詳述。如為重組抗原,則應提交有關特定基因選擇、序列信息,克隆構建及轉化,抗原表達及純化、鑒定等詳細資料。
1.2企業外購抗原
應詳述抗原的名稱,抗原生物學來源,供應商名稱,提交供應商選擇的研究資料及供應商出具的抗原性能檢驗報告。
2.其他主要原輔料
應提交各種原輔料的選擇及驗證資料,如固相載體、硝酸纖維素膜、化學發光劑、反應緩沖液等,應詳述確定該原輔料作為主要原輔料的依據,說明每一原輔料的供應商名稱,提交供應商出具的每一原輔料性能指標及檢驗報告,詳述申請人對每一原輔料技術指標要求并提交檢驗數據。免疫層析方法學的產品如適用于全血,應介紹血細胞去除方式及相關原材料,并驗證去除效果。
3.試劑盒質控品(如有)
應包括原料來源、質控品制備、陰陽性確認等研究資料。質控品至少包含陰性和弱陽性兩個水平,陽性質控品可選擇臨床陽性樣本,陰性質控品可選擇臨床陰性樣本或樣本稀釋液。免疫層析方法學應詳述質控線相關原材料(例如羊抗鼠IgG多克隆抗體)的選擇依據和質量標準。
4.企業參考品
應提交企業參考品的原料選擇、制備、陰陽性及濃度/滴度確認等相關驗證資料,說明參考品陰陽性及濃度/滴度確認的方法或試劑(建議采用國內已上市的、臨床上普遍認為質量較好的同類試劑)。B19病毒 IgG 抗體的量值單位可以IU/ml表示。企業參考品的基質應與待測樣本相同。對于同時檢測IgM和IgG抗體的試劑,應對IgM和IgG抗體分別設置企業參考品。建議如下:
4.1陽性參考品和陰性參考品
陽性參考品應考慮B19病毒 IgM/IgG 抗體檢出能力的驗證,可選擇多份確認為陽性的臨床樣本,并設置不同滴度水平。陰性參考品應考慮檢測特異性的評價,納入類風濕因子、ToRCH病原體(弓形蟲、風疹病毒、巨細胞病毒及單純皰疹病毒)以及人類免疫缺陷病毒特異性抗體陽性樣本。
4.2檢測限參考品
可為參考物質或臨床陽性樣本的系列稀釋樣本,其中應包含檢測限水平。
4.3精密度參考品
至少包括弱陽性水平參考品。
(三)主要生產工藝及反應體系的研究資料
1.主要生產工藝介紹,可用流程圖方式表示,并簡要說明主要生產工藝的確定依據。
2.產品基本反應原理介紹。
3.包被工藝研究,申請人應考慮如包被液量、濃度、時間等指標對產品性能的影響,通過試驗確定上述指標的最佳組合。
4.顯色(發光)系統、酶作用底物等的介紹。
5.實驗體系反應條件確定:申請人應考慮反應時間、反應溫度、洗滌次數等條件對產品性能的影響,通過試驗確定上述條件的最佳組合。
6.酶催化底物(發光或變色)的最適條件研究。
7.體系中樣品加樣方式及加樣量確定:申請人應考慮樣品加樣方式、加樣量對產品檢測結果的影響,通過實驗確定最佳的加樣方式及加樣量。如樣本需采取稀釋或其他必要的方法進行處理后方可用于最終檢測,申請人還應對可用于樣本稀釋的基質或處理方法進行研究,通過試驗確定最終選擇的用于樣本稀釋的基質或處理方法。
8.對于IgM抗體檢測試劑,如采用間接法,建議考慮高濃度特異性IgG對結果的影響,合理設置IgG去除相關樣本處理步驟(例如采用含有IgG吸附劑的樣本稀釋液等),或者詳述產品設計中采用的避免IgG對IgM檢測結果造成影響的合理措施。
(四)分析性能評估資料
企業應提交在產品研制或成品驗證階段對試劑盒進行的所有性能驗證的研究資料,包括具體研究方法、驗收標準、試驗數據、統計分析方法等詳細資料。對于本類產品建議著重對以下分析性能進行研究。IgM抗體、IgG抗體應分別研究。
1.適用的樣本類型
如果試劑適用于多種樣本類型,應采用合理方法評價每個樣本類型的適用性。對于可比樣本(如血清、血漿),可采用同源比對的方法進行驗證;對于不可比樣本,應對每個樣本類型分別進行性能評估。
2.最低檢測限
確定:建議選取特定滴度的特異性抗體陽性樣本梯度稀釋進行最低檢測限確定。建議設置多個濃度梯度,每個濃度重復檢測不少于3次,以100%可檢出的最低濃度水平作為預設檢測限。在此濃度附近制備若干濃度梯度樣品,每個濃度至少重復檢測20次,將具有95%陽性檢出率的最低濃度作為最低檢測限。
驗證:選擇具有時間和區域特征性的至少3個臨床樣本(與最低檢測限確定不同樣本)在最低檢測限濃度水平進行驗證,應達到95%陽性檢出率。
采用的稀釋液應與適用樣本類型的基質一致,可采用陰性樣本進行稀釋。同時應提供詳細的抗體類型和滴度的確認方法及驗證結果。
3.包容性驗證
選擇中國境內來源于不同地域、不同人群的不少于30份B19病毒抗體弱陽性的患者樣本進行研究。制備方式可為臨床陰性樣本作為基質稀釋陽性樣本,樣本性質的確認方法可為臨床診斷結果或已上市同類產品檢測結果。如有條件,盡量納入不同B19病毒基因型的患者樣本進行驗證。
4.分析特異性
4.1交叉反應
4.1.1用于B19病毒交叉反應驗證的病原體種類主要考慮以下幾方面:抗原結構具有同源性(如在分類學上的近緣病毒)、易引起相同或相似的臨床癥狀、易并發感染的其他微生物(見表1),以及高濃度病原體特異性IgG抗體與特異性IgM抗體的交叉反應驗證。

4.1.2如果檢測試劑采用基因重組抗原,應增加對重組基因導入微生物特異性抗體的交叉反應評價。例如,如果采用大腸桿菌作為宿主菌,建議考慮大腸桿菌自身蛋白或載體骨架編碼的蛋白產生的抗體與被測物之間可能產生的交叉反應。
其中用于交叉反應研究用的抗體類型應與待測目的抗體類型相同,如申報兩種抗體類型,用于交叉反應研究的病原體的IgM抗體、IgG抗體應分別進行驗證。應提交所有用于交叉反應驗證的病原體抗體樣本來源、陰陽性、種屬確認等相關信息。
4.2干擾實驗
4.2.1內源性及外源性干擾
應對樣本中可能存在的內源性及外源性干擾物質(見表2)進行研究。建議對B19病毒抗體弱陽性、陽性的臨床樣本,使用潛在最大濃度的干擾物質分別進行添加,確定是否產生干擾。如有干擾,梯度稀釋干擾物并進一步確定可接受的干擾物質的最高濃度水平,或產生干擾的濃度水平。應使用多份臨床樣本,每個樣本重復檢測不少于3次。申請人應描述干擾物質的種類,說明樣本的制備方法及待測物的水平,以及不產生干擾的驗收標準。

4.2.2抗凝劑的干擾
如果試劑盒適用樣本類型包括血漿和/或全血樣本,可采用一定數量血清、血漿、全血同源樣本進行對比實驗研究,以驗證不同抗凝劑的適用性。
4.2.3 B19病毒IgM抗體檢測特異性驗證
對于IgM抗體檢測試劑,可采用對至少10份含有B19病毒特異性IgM抗體的樣本進行IgM破壞實驗研究,方法為采用特定的化學制劑(如2-巰基乙醇或二硫蘇糖醇)處理樣本后,重新進行檢測,IgM檢測結果應為陰性;或者選用其他合理的方法進行驗證。
5.精密度
具體試驗方法可以參考相關的美國臨床實驗室標準化協會批準指南(CLSI-EP)文件或國內有關體外診斷產品性能評估的文件。企業應對每項精密度指標的驗收標準做出合理要求,如標準差或變異系數的范圍等。
5.1影響精密度的條件包括:操作者、測量儀器、測量程序、試劑批次、校準(校準品批次,校準周期)、運行、時間、地點、環境條件等。除申報試劑本身外,還應對以上可能影響檢測精密度的主要變量進行驗證。
5.2設定合理的精密度評價周期。
5.3用于精密度評價的樣本應使用臨床樣本。至少包括三個水平:陰性、弱陽性以及中等陽性的樣本。
6.鉤狀(HOOK)效應
建議采用高滴度的B19病毒抗體陽性臨床樣本進行梯度稀釋后分別檢測,每個梯度重復3至5次,將顯色深度或檢測值隨滴度升高反而變淺或降低時的滴度作為出現鉤狀效應時B19病毒抗體的最低滴度。
7.企業參考品的驗證(如適用):
根據主要原材料研究資料中企業參考品的設置情況,采用三批產品對企業參考品進行檢驗并提供詳細的實驗數據。
(五)陽性判斷值確定資料
陽性判斷值反映區分受試者目標狀態的特征。申請人應考慮不同地理區域流行病學背景以及產生不同強度免疫應答反應的人群(如免疫缺陷/抑制人群)與正常人群之間的差異,選擇具有代表性的樣本建立陽性判斷值,注意應納入一定數量的弱陽性樣本。
建議采用受試者工作特征曲線(ROC)的方法確定陽性判斷值。如采用其他研究方法,應說明其合理性。若試驗結果存在灰區,建議申請人從臨床意義的角度出發,合理設定灰區范圍并提供灰區的確定資料。
試驗所用樣本來源應考慮到年齡(成人或兒童)、不同的感染階段(早期和晚期)和生理狀態(是否妊娠)等因素的影響。另外,建議申請人考慮建立陽性判斷值時使用的受試者樣本對于目標人群的代表性,通過臨床試驗進一步確認陽性判斷值的準確性。
(六)穩定性研究資料
穩定性研究資料主要涉及兩部分內容,申報試劑的穩定性和適用樣本的穩定性研究。前者主要包括實時穩定性、運輸穩定性、開瓶穩定性(如涉及)及凍融穩定性(如涉及)等研究,申請人可根據實際需要選擇合理的穩定性研究方案。穩定性研究資料應包括研究方法的確定依據、具體的實施方案、詳細的研究數據以及結論。對于實時穩定性研究,應提供至少三批樣品在實際儲存條件下保存至成品有效期后的研究資料。
樣本穩定性一般包括樣本各種實際運輸及儲存(常溫、冷藏和冷凍)條件下的保存期限驗證,以確認樣本的保存條件及效期(短期、長期)。需要冷凍保存的樣本同時應對凍融次數進行合理驗證。某些用于防腐、冷凍用途或起穩定保護作用的添加劑可能會對檢測造成影響,如涉及,請對該添加劑的影響進行合理驗證。
試劑穩定性和樣本穩定性兩部分內容的研究結果應在說明書【儲存條件及有效期】和【樣本要求】兩項中進行詳細說明。
(七)臨床試驗資料
臨床試驗的開展、方案的制定以及報告的撰寫等均應符合相關法規及《體外診斷試劑臨床試驗技術指導原則》(原國家食品藥品監督管理總局通告2014年第16號)的要求,如相關法規、文件有更新,臨床試驗應符合更新后的要求。
1.試驗方法
臨床試驗可采用試驗用體外診斷試劑與臨床普遍認為質量較好的已上市同類產品進行比較研究試驗,證明兩者等效,從而間接證明試驗用體外診斷試劑臨床性能滿足預期用途的要求。對比試劑在預期用途、適用人群、樣本類型、檢測性能等方面應與試驗用體外診斷試劑具有較好的可比性。臨床試驗方案中應針對對比試劑的選擇及依據進行詳細描述。
對于B19病毒IgM檢測試劑,申請人還應選擇感染急性期患者采集的樣本進行申報試劑與感染急性期判斷的方法的一致性研究,以評價申報試劑的檢測性能。用于評價的樣本可選擇處于感染急性期患者的采集樣本(不少于30例);或者選擇商業血清轉化盤(不少于5套)。可采用的用于感染急性期判斷的方法,例如:B19病毒特異性IgG抗體的血清學轉換(動態監測2份或以上的血清IgG,恢復期與急性期比較IgG呈4倍以上升高)、核酸檢測等方法,對于B19病毒感染急性期的判斷應密切結合患者的臨床診斷綜合進行。
2.受試者選擇及樣本收集
臨床試驗方案中應根據試驗用體外診斷試劑的預期用途、適用人群和檢測要求等合理確定臨床試驗受試者選擇要求,包括:受試者入組/排除標準、樣本收集的前瞻性和回顧性設計等,并在臨床試驗過程中嚴格遵循。
臨床試驗的入組人群應為產品的預期適用人群,包括各種可能接受B19病毒感染檢查的人群,例如具有疑似B19病毒感染癥狀的人群。
入組人群應包含不同年齡段、不同性別人群,以及一定數量的孕婦、免疫功能受損、接受免疫抑制治療的人群,應盡量覆蓋各類適用人群。
建議臨床試驗采用前瞻性收集的樣本進行研究,同時,在嚴格控制偏倚的前提下,允許入組部分符合要求的回顧性樣本。
另外,建議根據流行病學證據納入不同地區的患者/人群,以研究本產品的臨床檢出能力。
3.臨床試驗機構數量及要求
該類產品臨床試驗應在三家及以上符合要求的臨床試驗機構開展。申辦者應根據產品特點及其預期用途,綜合流行病學背景,選擇具有一定地域代表性的機構開展臨床試驗。原則上應具有相關學科的優勢,實驗操作人員有足夠的時間熟悉檢測系統的各環節,熟悉評價方案。
4.樣本類型
B19病毒抗體檢測試劑的樣本類型通常涉及血清、血漿等。如血清與血漿樣本之間經研究不存在性能差異,可以在各具有一定數量陰/陽性樣本的前提下,通過合并統計的方式證明兩種樣本類型的適用性。
臨床樣本的采集、處理、保存等應分別滿足臨床試驗中所涉及各產品說明書相關要求。
5.臨床試驗樣本量估算
適當的樣本量是保證申報產品臨床性能得到準確評價的必要條件。臨床試驗樣本量應滿足統計學要求,可采用適當的統計學方法進行估算。
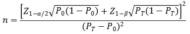
當采用申報產品與已上市同類產品進行對比試驗時,可采用單組目標值法樣本量公式估算最低樣本量。

公式中,n為樣本量;Z1-α/2、Z1-β為顯著性水平和把握度的標準正態分布的分數位,P0為評價指標的臨床可接受標準,PT為試驗用體外診斷試劑評價指標預期值。
對于B19病毒抗體檢測試劑的臨床陰/陽性符合率,基于目前的科學認識,建議P0不低于90%。當選定的產品的符合率預期值(PT)遠高于預期目標值時,應采用其他的方法進行樣本類的估算。當評價指標P接近100%時,上述樣本量估算方法可能不適用,應考慮選擇更加適宜的方法進行樣本量估算,如精確概率法等。
臨床試驗樣本量除需滿足上述統計學估算的最低樣本量要求外,還應保證入組病例覆蓋受試者的各種特征;臨床試驗樣本應包含一定數量的醫學決定水平附近樣本或灰區樣本。
6.臨床評價指標的選擇與統計學分析
臨床評價指標應在臨床試驗的設計階段確定,并在臨床試驗方案中予以明確。
對于此類檢測試劑的比較研究試驗,臨床評價指標主要包括試驗用體外診斷試劑與已上市同類產品相比的陽性符合率、陰性符合率等。統計分析一般以2×2表的形式總結兩種分析方法的檢測結果,并據此計算陽性符合率、陰性符合率、總符合率等指標及其95%可信區間。除此之外,還應同時進行假設檢驗評價兩種分析方法的一致性。結果不符樣本的復核結果不應納入上述統計。
7.結果不符的樣本
對于比較研究試驗中申報產品與對比產品檢測不一致的結果,應進行合理的分析。如采用實驗室參考方法或第三方檢測試劑進行確認,結果不應用于修訂原有統計結果。
(八)產品技術要求
申請人應當在原材料質量和生產工藝穩定的前提下,根據申請人產品研制以及前期性能評價的結果,依據國家標準、行業標準及相關文獻,按照《醫療器械產品技術要求編寫指導原則》(原國家食品藥品監督管理總局通告2014年第9號)的有關要求,編寫產品技術要求。
B19病毒IgM/IgG抗體檢測試劑的產品性能指標應主要包括:陰/陽性參考品符合率、最低檢測限、精密度等。
如果申報試劑已有適用的國家標準品、參考品發布,則申請人應在產品技術要求中提出符合性的要求。
按照《體外診斷試劑注冊管理辦法》的規定,此類產品為第三類體外診斷試劑,申請人應按照《醫療器械產品技術要求編寫指導原則》的要求,以附錄形式明確主要原材料、生產工藝及半成品要求,附錄的編制應符合相關編寫規范的要求。
(九)產品檢驗報告
根據《體外診斷試劑注冊管理辦法》的要求,申請注冊的第三類體外診斷試劑產品應在具有相應醫療器械檢驗資質和承檢范圍的醫療器械檢驗機構進行連續3個生產批次樣品的產品檢驗。
對于已經有國家參考品的項目,應提供產品能夠符合國家標準品、參考品要求的產品檢驗報告。對于目前尚無國家參考品的項目,提供產品能夠符合企業參考品要求的產品檢驗報告。
(十)產品說明書
1.【預期用途】
產品預期用途的描述應符合現行的疾病診療指南、專家共識。應至少包括以下內容:
1.1該產品用于體外定性檢測人體血清或血漿等樣本中的人細小病毒B19lgM/lgG抗體。
適用樣本類型應結合申報產品臨床性能的確認情況進行描述。
1.2病毒特征以及臨床適應癥背景:簡要描述B19病毒生物學特征及致病性,感染后臨床表現,相關的臨床或實驗室診斷方法等。人群中B19病毒特異性抗體的陽性率,不同類型B19病毒抗體的產生、持續時間、臨床提示作用及與B19病毒感染診斷的其他方法的關聯等。
1.3目標人群:依據臨床試驗的入組人群進行編寫。
1.4產品功能:結合目標人群的臨床表現和其他診斷指標,用于B19病毒感染的輔助診斷。
1.5明確B19病毒抗體檢測不得用于無癥狀人群的產前篩查;不得將本試劑的檢測結果單獨作為終止妊娠的依據。
2.【主要組成成分】
2.1說明試劑盒包含組分的名稱、數量、比例或濃度等信息,質控品應明確具體基質成分。對于膠體金試劑應描述試劑條/卡結構組成。校準品應明確溯源性,質控品應提交靶值單。明確不同批次組分能否混用。
2.2介紹檢測中使用的抗原/抗體信息及標記物信息,包括抗原的性質(如純化的天然抗原、重組抗原等)、抗體的動物源性、抗體的性質(單克隆或多克隆)、標記物種類等。
2.3試劑盒中不包含但對該項檢測必須的組分,企業應列出相關試劑的名稱、注冊證號/備案號(如有)、貨號等其他相關信息。
3.【儲存條件及有效期】
詳細介紹試劑盒的效期穩定性、開封穩定性、運輸穩定性等信息。
4.【適用機型】
對于采用酶聯免疫吸附法的檢測試劑應明確適用酶標儀的波長要求,其他方法學的檢測試劑應明確具體的適用機型型號。
5.【樣本要求】重點明確以下內容
5.1樣本采集前的要求:如采集時間、采集量,是否受臨床癥狀、用藥情況等因素的影響。
5.2樣本采集:說明采集方法及樣本類型,對于血漿樣本,應注明對抗凝劑的要求。
5.3干擾物的影響:明確常見干擾物對實驗結果是否產生影響,明確可接受的最大干擾物濃度。
5.4樣本處理及保存:樣本處理方法、保存條件(如冷藏、冷凍等)及不同保存條件下的保存時限和運輸條件等。冷藏、冷凍樣本檢測前是否需要恢復室溫,冷凍樣本的凍融次數限制等。
6.【檢驗方法】
詳細說明試驗操作的各個步驟:
6.1實驗環境:檢測試劑及樣本的復溫要求等。
6.2試劑配制方法,試劑開封后使用方法等。
6.3高濃度樣本稀釋的方法。
6.4試驗條件:操作步驟、溫度、時間、儀器波長等。
6.5定標(如適用):標準曲線的制定,對需要進行重新定標情況的說明及對定標周期的建議。
6.6質量控制:操作步驟,質控結果的要求(試驗有效性的判斷),質控結果不符合要求的處理方式。
6.7對于膠體金法檢測試劑可以圖示形式顯示正確的檢驗操作方法、程序及注意事項等。特別注意應強調操作溫度及濕度條件、讀取結果的時間。
6.8特別說明檢驗操作過程中的注意事項。
7.【檢驗結果的解釋】
詳細描述檢測結果的判定標準。
建議參考相關臨床診療指南進行描述,包括所有可能出現的B19IgM/IgG結果組合及相應的解釋,后續的處理措施等。如有灰區判定,應詳細說明灰區樣本的處理方式。
8.【檢驗方法局限性】
結合產品的預期用途、臨床適應癥背景、檢測方法及適用人群等,對可能出現的局限性進行相關說明。
9.【產品性能指標】
詳述以下性能指標:
9.1對相應國家參考品(如有)檢測的符合情況。
9.2企業內部陽性和陰性參考品符合率。
9.3最低檢測限:簡要介紹評價方法、所用樣本以及評價結果。
9.4分析特異性
9.4.1交叉反應:詳述交叉反應驗證的病原體種類,及有/無交叉反應的濃度水平。
9.4.2干擾物質:說明驗證的干擾物質種類及有/無干擾反應的濃度水平。
9.5精密度:簡要介紹評價方法、所用樣本以及評價結果。
9.6鉤狀(HOOK)效應:對鉤狀效應的驗證情況進行總結。
9.7包容性驗證:簡要介紹樣本來源和結論。
10.【注意事項】
應至少包括以下內容:
10.1有關試劑盒內人源組分(如有)生物安全性的警告。如:試劑盒內對照品(質控品)或其他可能含有人源物質的組分,雖已經通過了乙型肝炎病毒表面抗原(HBs-Ag)、人類免疫缺陷病毒1/2型抗體(HIV1/2-Ab)、丙型肝炎病毒抗體(HCV-Ab)等項目的檢測,結果為陰性,但截至目前,沒有任何一項檢測可以確保絕對安全,故仍應將這些組分作為潛在傳染源對待。
10.2有關實驗操作、樣本保存及處理等其他注意事項。
1.賈俊婷等.人細小病毒B19 檢測技術. J Clin Transfus Lab Med,August.2015,Vol 17,No.5
2.陳軍等.人類細小病毒感染研究進展.J Diagn Concepts Pract 2008,Vo1.7,No.4
3.張國成.兒童微小病毒B19感染的診斷與治療.臨床兒科雜志第26卷第6期2008年6月
4.章錦曼等. TORCH 感染篩查、診斷與干預原則和工作流程專家共識.中國實用婦科與產科雜志2016年6月第32卷第6期
5.周海衛等.人細小病毒B19 IgG 抗體檢測試劑國家參考品的建立及應用.Labeled Immunoassays & Clin Med,Feb.2018,Vol.25,No.2
6.羅青清等.“妊娠期微小病毒B19感染的臨床實踐指南”解讀.中國實用婦科與產科雜志2016年6月第32卷第6期
7.王穎等.妊娠期微小病毒B19感染的診斷與處理.實用婦產科雜志2018年12月第34卷第12期
國家藥品監督管理局醫療器械技術審評中心。

站點聲明
本網站所提供的信息僅供參考之用,并不代表本網贊同其觀點,也不代表本網對其真實性負責。圖片版權歸原作者所有,如有侵權請聯系我們,我們立刻刪除。如有關于作品內容、版權或其它問題請于作品發表后的30日內與本站聯系,本網將迅速給您回應并做相關處理。
鄭州思途醫療科技有限公司專注于醫療器械產品政策與法規規事務服務,提供產品注冊備案申報代理、臨床試驗、體系建立輔導、分類界定、申請創新辦理服務。
為規范醫療器械現場檢查,提升檢查員現場檢查能力,指導檢查員對醫療器械生產企業工藝用水控制情況的檢查,提高企業工藝用水質量安全保證水平,依據《醫療器械監督管理條例》
2024年10月19日,在第 75 屆世界醫學會全體大會上正式通過了《赫爾辛基宣言》的最新修訂版本;《赫爾辛基宣言》作為人類參與者的醫學研究倫理
附件:血液透析用水處理設備注冊審查指導原則(2024年修訂版)(2024年第19號).doc血液透析用水處理設備注冊審查指導原則(2024年修訂版)本指導原則旨在指導注冊申請人對血液透析用水處理設備注冊申報資料的準備及撰寫,同時也為技術審評部門提供參考。本指導原則是對血液透析用水處理設備的一般要求,注冊申請人依據產品的具體特性確定其中內容是否適用。若不適用,要具體闡述理由及相應的科學依據,并依據產
本指導原則旨在幫助和指導注冊申請人對一次性使用腹部穿刺器注冊申報資料進行準備,以滿足技術審評的基本要求。同時有助于審評機構對該類產品進行科學規范的審評,提高審評工
附件:一次性使用醫用沖洗器產品注冊審查指導原則(2022年第41號).doc一次性使用醫用沖洗器產品注冊審查指導原則本指導原則旨在指導注冊申請人對一次性使用醫用
附件:重組膠原蛋白創面敷料注冊審查指導原則(2023年第16號).doc重組膠原蛋白創面敷料注冊審查指導原則本指導原則旨在指導注冊申請人準備及撰寫重組膠原蛋白創
國家藥監局器審中心關于發布影像型超聲診斷設備(第三類)注冊審查指導原則(2023年修訂版)的通告(2024年第29號)發布時間:2024-10-14為進一步規范
國家藥監局藥審中心關于發布《抗腫瘤藥物臨床試驗中SUSAR分析與處理技術指導原則》的通告(2024年第42號) 發布日期:20241010
國家藥監局關于發布免于臨床試驗的體外診斷試劑臨床評價技術指導原則的通告(2021年第74號)發布時間:2021-09-24為指導體外診斷試劑的臨床評價工作,根據
附件:醫用透明質酸鈉創面敷料注冊審查指導原則(2024年第21號).doc醫用透明質酸鈉創面敷料注冊審查指導原則本指導原則旨在指導注冊申請人準備及撰寫醫用透明質酸鈉創面敷料注冊申報資料,同時也為技術審評部門審查注冊申報資料提供參考。本指導原則是對醫用透明質酸鈉創面敷料產品的一般要求,注冊申請人應依據產品的具體特性確定其中內容是否適用,若不適用,需具體闡述理由及相應的科學依據,并依據產品的具體特性對
行業資訊
知識分享
八年
醫療器械服務經驗
聯系思途,免費獲得專屬《落地解決方案》及報價
咨詢相關問題或咨詢報價,可以直接與我們聯系
思途CRO——醫療器械注冊臨床第三方平臺
