山東省醫療器械工藝用水現場檢查指南(魯藥監械〔2021〕35號)
為規范醫療器械現場檢查,提升檢查員現場檢查能力,指導檢查員對醫療器械生產企業工藝用水控制情況的檢查,提高企業工藝用水質量安全保證水平,依據《醫療器械監督管理條例》
來源:醫療器械注冊代辦 發布日期:2021-04-15 閱讀量:次
附件:B群鏈球菌核酸檢測試劑注冊技術審查指導原則(2021年第24號).doc
本指導原則旨在指導注冊申請人對B群鏈球菌核酸檢測試劑注冊申報資料的準備及撰寫,同時也為技術審評部門對注冊申報資料的技術審評提供參考。
本指導原則是針對B群鏈球菌核酸檢測試劑的一般要求,申請人應依據產品的具體特性確定其中內容是否適用,若不適用,需具體闡述理由及相應的科學依據,并依據產品的具體特性對注冊申報資料的內容進行充實和細化。
本指導原則是對申請人和審查人員的指導性文件,但不包括注冊審批所涉及的行政事項,亦不作為法規強制執行,如果有能夠滿足相關法規要求的其他方法,也可以采用,但需要詳細闡明理由,并對其科學合理性進行驗證,提供詳細的研究資料和驗證資料,相關人員應在遵循相關法規的前提下使用本指導原則。
本指導原則是在現行法規和標準體系以及當前認知水平下制定的,隨著法規和標準的不斷完善,以及科學技術的不斷發展,本指導原則相關內容也將適時進行調整。
無乳鏈球菌(Streptococcus agalactiae)在蘭氏抗原分類中屬于B群,B群目前只發現這一種細菌,所以一般也稱為B群鏈球菌(Group B Streptococcus,GBS)。GBS為一種β溶血的革蘭陽性球菌,成對或呈短鏈狀排列,根據細菌的莢膜多糖不同,GBS可分為Ia、Ib、Ic、II、III、IV、V、VI、VII、VIII和IX等。GBS是圍產期和新生兒感染疾病的致病菌,引起孕產婦的絨毛膜羊膜炎,導致流產、胎膜早破及宮內感染,也可導致新生兒發生肺炎、腦膜炎、敗血癥等。2018年孕前和孕期保健指南中提到對高危因素的孕婦妊娠35~37周進行GBS篩查。
本指導原則所述GBS核酸檢測試劑指基于分子生物學相關方法的核酸檢測技術,以GBS核酸序列為檢測靶標,對來自人體樣本(如孕婦陰道拭子、直腸拭子、陰道和直腸聯合拭子)或經增菌培養后人體樣本中的GBS進行體外定性檢測的試劑。結合臨床表現和其他實驗室指標,用于GBS感染實驗室診斷及臨床應用。
本指導原則適用于基于實時熒光PCR(Real-time polymerase chain reaction)檢測方法的GBS核酸檢測試劑。對于其他方法,可能部分要求不完全適用或本文所述內容不夠全面,申請人可以根據產品特性對適用部分進行評價或補充其他的評價資料進行相應性能的驗證,但需闡述不適用的理由,并說明替代方法的科學合理性。
(一)綜述資料
綜述資料主要包括產品預期用途、產品描述、有關生物安全性的說明、研究結果的總結評價以及同類產品上市情況介紹等內容。其中同類產品上市情況介紹部分應著重從方法學、不同臨床型別檢出能力、樣本類型、樣本采集與制備方式等方面寫明擬申報產品與目前市場上已獲批準的同類產品之間的主要區別。
(二)主要原材料的研究資料
提供主要原材料如引物、探針、酶、陰性對照、陽性對照、內對照(內標)以及企業參考品等的選擇與來源、制備過程、質量分析和質量控制標準等的研究資料。詳細說明基因位點選擇的依據,并提供能夠覆蓋臨床型別的證據。若主要原材料為企業自己生產,其生產工藝必須相對穩定,并提供其詳細制備過程;如主要原材料購自其他供貨商,應提供的資料包括:供貨商提供的質量標準、出廠檢定報告或性能指標證書,以及該原材料到貨后的質量檢驗資料。
申報試劑的質控體系通過設置陽性、陰性、內對照(內標)等各種對照來實現,需考慮對樣本核酸提取/純化、配液及加樣、試劑及儀器性能、擴增反應抑制物(管內抑制)、交叉污染、靶核酸降解等因素可能造成的假陰性或假陽性結果的質量控制。企業應對各種對照的Ct值或相應判斷數值做出明確的范圍要求。
1.內對照(內標)
內對照可對實驗過程可能存在的擴增反應抑制物、儀器、試劑和操作等所導致的假陰性結果進行質量控制。申請人應對內對照的引物、探針和模板濃度做精確的驗證,既要保證內標熒光通道呈明顯的陽性曲線又要盡量降低對靶核酸序列檢測造成的抑制而導致假陰性。
2.陽性對照
陽性對照可對實驗過程進行質控。陽性對照建議采用含有靶核酸序列的GBS菌株或者人工構建的質粒等,企業應對陽性對照的Ct值做出明確的范圍要求。
3.陰性對照
陰性對照對可能存在的交叉污染產生的假陽性結果或擴增反應中背景值進行質量控制。陰性對照應參與樣本處理和檢測的全過程。建議采用與實際檢測樣本具有相同或相似性狀的基質溶液作為陰性對照,不推薦采用水作為陰性對照。
4.PCR組分的主要材料(包括脫氧三磷酸核苷、引物和探針、各種酶等主要原料)的選擇、制備、質量控制標準及實驗研究資料,主要包括以下內容:
4.1脫氧三磷酸核苷(dNTP)
核酸的組成成分,包括:dATP、dUTP、dGTP、dCTP和dTTP,對純度、濃度、保存穩定性等詳細驗證資料。
4.2引物和探針:
應詳述引物和探針的設計原則,提供引物、探針核酸序列、模板核酸序列及兩者的對應情況。建議設計兩套或多套引物、探針以供篩選,針對所有預期適用型別進行檢出能力和特異性(如交叉反應)的評價,選擇最佳組合,并提交篩選的研究數據。
如為外購,引物和探針應提供合成機構出具的質檢證明,如純度(應達到電泳級或HPLC級)、序列準確性等,申請人應對引物和探針核酸序列準確性、純度、濃度、探針標記的熒光素或化學發光物等進行核實,同時申請人應進行功能性驗證,并提供相關資料。
4.3 PCR反應所需酶
DNA聚合酶,應具有DNA聚合酶活性,無核酸內切酶活性,具熱穩定性,如:94℃保溫1小時后仍保持50%活性;尿嘧啶糖基化酶(UNG),具有尿嘧啶糖基化活性,無核酸外切酶及核酸內切酶活性,應對酶活性有合理驗證;應提供有關保存穩定性、活性及功能性實驗等驗證資料。
5.企業參考品
申請人應提供企業參考品的詳細制備過程,包括組成、來源、菌株特性(如名稱、型別、靶核酸的拷貝數/細菌濃度等)信息。企業參考品的項目應包括:陰性參考品、陽性參考品、最低檢測限參考品、精密度參考品等。陽性參考品、最低檢出限參考品應能覆蓋臨床常見型別,至少包括Ia、Ib、III、V等。陽性參考品、最低檢測限參考品、精密度參考品等建議采用滅活的菌株。陰性參考品應至少包含分析性能研究資料中交叉反應必須驗證的微生物。
(三)主要生產工藝及反應體系的研究資料
1.介紹產品主要生產工藝,可以圖表方式表示,并說明主要生產工藝的確定依據。
2.反應原理介紹。
3.詳述樣本采集、樣本處理方式的選擇(如對樣本采集拭子和保存液的驗證,樣本類型為增菌后的人體樣本,需驗證配套的增菌培養基),提供相關的研究資料。
4.核酸提取/純化方法確定的研究資料。
5.確定最佳PCR反應體系的研究資料,包括酶濃度、引物/探針濃度、dNTP濃度、陽離子濃度、樣本量及反應體積等以及PCR各階段溫度、時間及循環數的研究資料。
6.不同適用機型的反應條件的對比分析,如果有差異應分別詳述。
(四)分析性能研究資料
申請人應提交生產者在產品研制或成品驗證階段對試劑盒進行的所有性能驗證的研究資料,對于每項分析性能的評價都應包括具體研究目的、實驗設計、研究方法、可接受標準、實驗數據、統計方法等詳細資料。有關分析性能驗證的背景信息也應在申報資料中有所體現,包括實驗地點(實驗室)、適用儀器、試劑規格、批號、臨床樣本來源等。分析性能評價的實驗方法可以參考相關的美國臨床實驗室標準化協會批準指南(CLSI-EP)文件或國內有關體外診斷產品性能評估的指導原則進行,建議著重對以下分析性能進行研究。
1.GBS DNA提取
細菌DNA提取主要有以下目的:富集目的基因濃度、保證目的基因序列的完整性、增加PCR模板溶液均一性、去除PCR抑制物,是決定PCR成敗的關鍵環節。因此,無論申報產品是否含有DNA分離/純化的組分,企業都應對核酸提取的環節做詳細的驗證。臨床標本中可能含有各式各樣的PCR抑制物,因此,對于DNA提取試劑的選擇,除最大量分離出目的DNA外,還應有純化步驟,盡可能去除PCR抑制物。目前常見的DNA分離純化方法和改良方法各有優勢和不足,申請人應結合申報產品的特性,合理選擇DNA分離/純化試劑,并提供詳細的驗證資料。
2.最低檢出限
2.1最低檢測限的確定
建議使用GBS菌株的梯度稀釋液來確定最低檢測限。每個梯度進行不少于20次的重復檢測,將具有95%陽性檢出率的最低菌株濃度作為最低檢測限。應明確每份菌株的來源、濃度、制備方法等信息。
2.2最低檢測限的驗證
建議使用最低檢測限水平的菌株濃度,對不同來源的GBS菌株或真實臨床樣本進行至少20次的重復驗證,陽性檢出率不低于95%。注冊申請人應能夠提供用于最低檢測限驗證的各個菌株或臨床樣本的來源、制備方法及濃度等信息。最低檢測限建議采用菌落形成單位(CFU)和靶核酸的拷貝數兩種方法分別進行研究。
最低檢測限的確定和驗證需要覆蓋臨床常見型別,至少包括Ia、Ib、III、V等。
3.反應性(包容性)
建議使用具有時間和區域特征性的不同來源的臨床樣本進行驗證,至少包括GBS臨床常見型別,如Ia、Ib、III、V等。建議在略高于最低檢測限濃度進行研究,并提供樣本的來源、濃度、菌株型別的確認方法等信息。
4.精密度
注冊申請人應對精密度指標,如標準差或變異系數等評價標準做出合理要求。精密度研究需要覆蓋臨床常見臨床型別,至少包括Ia、Ib、III、V等。精密度評價試驗應包含核酸分離/純化步驟。針對本類產品的精密度評價主要包括以下要求。
4.1對可能影響檢測精密度的主要變量進行驗證,除檢測試劑(包括核酸分離/純化組分)本身的影響外,還應對分析儀、操作者、地點、檢測輪次等要素進行相關的驗證。
4.2設定合理的精密度評價周期,例如:為期至少20天的檢測,具體方案可參考EP文件進行。從而對批內/批間、日內/日間以及不同操作者之間的精密度進行綜合評價。
4.3用于精密度評價的菌株或臨床樣本均應至少包含3個水平:陰性樣品、臨界陽性樣品、(中或強)陽性樣品,并根據產品特性設定適當的精密度要求,臨床樣本精密度評價中的每一次檢測均應從核酸提取開始。
4.3.1陰性樣本:待測物濃度低于最低檢測限或為零濃度,陰性檢出率為100%(n≥20);
4.3.2臨界陽性樣本:待測物濃度略高于試劑盒的最低檢測限,陽性檢出率為100%(n≥20);
4.3.3中/強陽性樣本:待測物濃度呈中度到強陽性,陽性檢出率為100%且CV≤5%(n≥20)。
5.特異性
5.1交叉反應
5.1.1用于GBS檢測試劑交叉反應驗證的病原體種類主要考慮以下幾方面:近緣菌、易引起相同或相似的臨床癥狀微生物、感染部位的定植菌等(推薦種類見表1)。
5.1.2建議在病毒和細菌感染的醫學相關水平進行交叉反應的驗證。通常,細菌感染的水平為106 CFU/mL或更高,病毒為105 PFU/mL或更高。
5.1.3申請人應提供所有用于交叉反應驗證的病毒和細菌的來源、種屬/型別和濃度確認等試驗資料。有關交叉反應驗證的信息應以列表的方式在產品說明書的【產品性能指標】項中有所體現。


5.2干擾物質
建議注冊申請人根據所采集的樣本類型,針對可能存在的干擾情況進行驗證。建議在每種干擾物質的潛在最大濃度(“最差條件”)進行評價,并在GBS臨界陽性水平進行檢測。潛在干擾物質的選取應至少包括:血紅蛋白、白細胞、宮頸粘液、女性衛生用品、陰道用抗真菌藥物等。
6.提供企業參考品驗證資料:根據主要原材料研究資料中的企業參考品設置情況,采用三批產品對企業參考品進行檢驗并提供詳細的實驗數據(如適用)。
7.其他需注意問題
對于適用多個機型的產品,應提供如產品說明書【適用儀器】項中所列的所有型號儀器的性能評估資料。如適用于不同樣本類型,應針對不同樣本類型分別驗證。
(五)陽性判斷值研究資料
陽性判斷值確定資料主要指對申報產品核酸檢測的Ct值,即結果判斷的臨界值進行確認的資料。陽性判斷值研究資料樣本來源應考慮不同年齡、地域等因素,盡可能考慮樣本來源的多樣性、代表性。如存在判定值灰區,應提供灰區的確認資料。建議申請人采用受試者工作特征(ROC)曲線的方式確定申報試劑用于結果判斷的臨界值。有關ROC曲線分析的細節,請參考國內外相關的文件。如采用其他方法對陽性判斷值進行確認研究,應說明其合理性。提供內標值的確定方法和研究資料。閾值設置應科學合理。
另外,考慮建立陽性判斷值時使用的臨床樣本對于目標人群的代表性,建議通過臨床評價進一步驗證和確認陽性判斷值的準確性。
(六)穩定性研究資料
穩定性研究資料主要涉及兩部分內容,申報試劑的穩定性和適用樣本的穩定性研究。前者主要包括實時穩定性(有效期)、運輸穩定性、開瓶穩定性及凍融次數限制等研究,申請人可根據實際需要選擇合理的穩定性研究方案。穩定性研究資料應包括研究方法的確定依據、具體的實施方案、詳細的研究數據以及結論。對于實時穩定性研究,應提供至少三批樣品在實際儲存條件下保存至成品有效期后的研究資料。
應對樣本穩定性進行研究,主要包括室溫保存、冷藏和冷凍條件下的有效期驗證,可以在合理的溫度范圍內選擇溫度點(溫度范圍),每間隔一定的時間段即對儲存樣本進行分析驗證,從而確認不同類型樣本的穩定性。適于冷凍保存的樣本還應對凍融次數進行評價。
試劑穩定性和樣本穩定性兩部分內容的研究結果均應在說明書【儲存條件及有效期】和【樣本要求】兩項中進行詳細說明。
(七)臨床評價資料
臨床試驗的開展、方案的制定以及報告的撰寫等均應符合相關法規及《體外診斷試劑臨床試驗技術指導原則》(原國家食品藥品監督管理總局通告2014年第16號)的要求,如相關法規、文件有更新,臨床試驗應符合更新后的要求。
1.臨床試驗方法
該產品可選擇境內已批準上市的同類產品作為對比試劑或選擇病原體增菌培養鑒定作為臨床參考標準,采用試驗用體外診斷試劑(以下稱考核試劑)與之進行對比試驗研究,評價考核試劑的臨床性能。對比試劑的選擇應從預期用途、樣本要求、檢測性能等方面,確認其與考核試劑具有較好的可比性。
若選擇境內已上市產品作為對比試劑,除與同類產品的對比試驗之外,應再選擇一定量的樣本與病原體增菌培養鑒定比對評價考核試劑的臨床靈敏度和特異性。
2.受試者選擇和樣本例數
2.1受試者選擇:臨床試驗受試者應根據產品聲稱的適用人群進行選擇,受試人群應能夠代表目標人群的特征,包括各種可能的干擾樣本、交叉反應樣本(其它病原體陽性)等。
2.2樣本例數
臨床試驗樣本量應滿足統計學要求,可采用適當的統計學方法進行估算,同時應滿足法規最低樣本量的要求。根據相應臨床試驗設計,本臨床試驗可依據考核試劑相對于對比試劑的陰、陽性符合率或相對于臨床參考標準的靈敏度和特異度分別估算最低陰、陽性樣本例數。
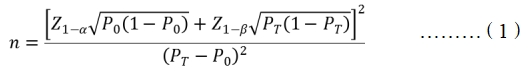
以已上市同類產品作為對比試劑的比較研究中,臨床樣本量的估算建議采用公式(1)計算,陰陽性符合率的臨床可接受標準(P0)建議不低于95%。當評價指標P接近100%時,該樣本量估算方法可能不適用,應考慮選擇更加適宜的方法進行樣本量估算和統計學分析,如精確概率法等。

公式中,n為樣本量;Z1-α、Z1-β為顯著性水平和把握度的標準正態分布的分數位,P0為評價指標的臨床可接受標準,PT為考核試劑評價指標預期值。
以病原體增菌培養鑒定作為對比方法,臨床陽性樣本量的估算建議采用公式(1)計算,臨床靈敏度可接受標準(P0)建議不低于90%。陰性樣本量的估算可不采用目標值法,建議根據預實驗獲得的特異度的預期值P采用公式(2)計算,Δ的取值建議不大于0.03,P和Δ的取值應有充分依據,當預期值P更高時應考慮更優的精度。

公式中n為樣本量,Z1-α/2為置信度標準正態分布的分位數,P為評價指標預期值,Δ為P的允許誤差大小。
對于選擇境內已上市產品作為對比試劑,除同類產品比對試驗之外,應再選擇一定量的樣本與病原體增菌培養鑒定比對評價考核試劑的臨床靈敏度和特異性,該部分試驗陰、陽性樣本量的估計建議采用公式(2)進行估算,其中Δ的常用取值為0.05,當預期值更高時應考慮更優的精度。
臨床試驗總體樣本量確定時應在上述陰、陽性樣本最低樣本量估算的基礎上,同時考慮其他可能造成受試者脫落的情況以及可能需要納入的干擾樣本、交叉反應樣本等情況適當增加入組樣本量。
此類產品的檢測樣本類型一般為直腸拭子、陰道拭子或直腸/陰道混合拭子,如果樣本類型同時包括直腸拭子和陰道拭子,鑒于同一病例其陰道和直腸感染狀態可能存在差異,因此對于這兩種拭子應分別和對比試劑或臨床參考標準比對進行驗證,不同拭子樣本量均應分別滿足統計學要求,不宜使用同源比對的方法進行評價。
3.臨床研究單位的選擇
應選擇不少于3家(含3家)已備案的臨床試驗機構,按照相關法規、指導原則的要求開展臨床試驗。臨床試驗機構的選擇應充分考慮擬申報產品的特點和預期用途,綜合流行病學背景,鑒于不同地區及醫療機構中GBS血清型的差異,建議選擇不同地區的臨床試驗機構開展臨床試驗,使臨床試驗機構和受試者的選擇具有一定的地域代表性。且臨床試驗機構應具有分子生物學方法和微生物培養檢測的優勢,實驗操作人員應有足夠的時間熟悉檢測系統的各環節,熟悉臨床試驗方案。
4.統計學分析
應選擇合適的統計方法對臨床試驗結果進行統計分析,對于考核試劑與對比試劑/參考方法的一致性評價,常選擇交叉四格表形式總結兩種試劑的檢測結果,評價指標一般包括臨床靈敏度、臨床特異度、陽性符合率、陰性符合率,kappa值等,對于不一致樣本,應進行可能的原因分析,如臨床試驗方案規定采用其他方法進行確認,則確認結果不應納入統計分析。
5.倫理學要求
臨床試驗必須符合赫爾辛基宣言的倫理學準則。研究者應考慮臨床試驗用樣本的獲得和試驗結果對受試者的風險,提請倫理委員會審查,并獲得倫理委員會的同意。注冊申報時應提交倫理委員會的審查意見。
6.臨床試驗方案
臨床試驗實施前,研究人員應從流行病學、統計學、臨床醫學、檢驗醫學等多方面考慮,設計科學合理的臨床試驗方案。各臨床試驗機構應執行統一的臨床試驗方案,且保證在整個臨床試驗過程中遵循預定的方案實施,不可隨意改動。整個試驗過程應在臨床試驗機構的實驗室內并由本實驗室的技術人員操作完成,申報單位的技術人員除進行必要的技術指導外,不得隨意干涉實驗進程,尤其是數據收集過程。
試驗方案中應確定嚴格的病例納入/排除標準,任何已經入選的病例再被排除出臨床試驗都應記錄在案并明確說明原因。在試驗操作過程中和判定試驗結果時應采用盲法以保證試驗結果的客觀性。
7.質量控制
臨床試驗開始前,建議進行臨床試驗的預試驗,以熟悉并掌握相關試驗方法的操作、儀器、技術性能等,最大限度控制試驗誤差。整個試驗過程都應處于有效的質量控制下,最大限度保證試驗數據的準確性及精密度。
8.臨床試驗報告撰寫
臨床試驗報告應該對試驗的整體設計及各個關鍵點給予清晰、完整的闡述,應該對整個臨床試驗實施過程、結果分析、結論等進行條理分明的描述,并應包括必要的基礎數據和統計分析方法,最后得出臨床試驗結論。臨床試驗報告的撰寫參考《體外診斷試劑臨床試驗技術指導原則》的相關要求。
(八)產品技術要求
申請人應當在原材料質量和生產工藝穩定的前提下,根據申請人產品研制、前期評價等結果,依據國家標準、行業標準及相關文獻,按照《醫療器械產品技術要求編寫指導原則》(原國家食品藥品監督管理總局通告2014年第9號)的有關要求,編寫產品技術要求。產品技術要求還應當以附錄形式明確主要原材料、生產工藝及半成品要求。
如申報試劑已有適用的國家標準品、參考品發布,則申請人應在產品技術要求中提出檢驗要求。
(九)注冊檢驗
根據《體外診斷試劑注冊管理辦法》要求,首次申請注冊的第三類產品應在具有相應醫療器械檢驗資質和承檢范圍的醫療器械檢驗機構進行連續三個生產批次樣品的注冊檢測。如申報試劑有適用的國家參考品,應采用國家參考品進行注冊檢驗,并符合國家參考品的相關要求。
(十)產品說明書
說明書承載了產品預期用途、樣本采集及處理、檢驗方法、檢驗結果解釋以及注意事項等重要信息,是指導實驗室工作人員正確操作、臨床醫生針對檢驗結果給出合理醫學解釋的重要依據。產品說明書的格式應符合《體外診斷試劑說明書編寫指導原則》(原國家食品藥品監督管理總局通告2014年第17號)的要求,進口體外診斷試劑的中文說明書除格式要求外,其內容應盡量保持與原文說明書的一致性,翻譯力求準確且符合中文表達習慣。產品說明書中相關技術內容均應與申請人提交的注冊申報資料中的相關研究結果保持一致,如某些內容引用自參考文獻,則應以規范格式對此內容進行標注,并單獨列明文獻的相關信息。
下面對B群鏈球菌核酸檢測試劑說明書的重點內容進行詳細說明。
1.【預期用途】
應至少包括以下內容:
1.1試劑盒用于對來自人體樣本(如孕婦陰道拭子、直腸拭子、陰道和直腸聯合拭子)或經增菌培養后人體樣本中的GBS進行體外定性檢測。適用樣本類型應依據申報產品的分析性能評估和臨床研究情況進行確認。
1.2目標物的特征:簡要描述病原體生物學特征及致病性,感染后臨床表現,相關的實驗室診斷方法等。
1.3目標人群:例如妊娠35~37周高危因素的孕婦(如合并糖尿病、前次妊娠出生的新生兒有B群鏈球菌感染等),有胎膜早破、先兆早產等臨床癥狀醫生認為有必要進行GBS檢測的其他孕周數孕婦等,不建議使用該試劑盒對無癥狀的孕早、中期孕婦進行篩查。
1.4產品功能:結合目標人群的臨床表現和其他診斷指標,可用于B群鏈球菌感染的輔助診斷。
2.【檢驗原理】
2.1描述試劑盒檢測能夠覆蓋的目標基因序列特征,引物及探針的設計,反應體系(管)組合形式,內對照(內標)和陰陽質控品的設置及熒光信號標記等。
2.2描述核酸提取純化的方法、原理等。
2.3描述試劑盒的技術原理,可結合圖示進行說明。如反應體系中添加了相關的防止擴增產物污染組分(如尿嘧啶糖基化酶),也應介紹其作用機理。
3.【主要組成成分】
3.1詳細說明試劑盒內各組分的名稱、數量、成分、濃度等信息,如含有生物源性物質,應說明其生物學來源、活性及其他特性。說明不同批號試劑盒中各組分是否可以互換。
3.2如果試劑盒中不包含用于核酸分離/純化的試劑組分,應在此明確經驗證后推薦配合使用的核酸分離/純化試劑盒的生產企業、產品名稱、備案號以及配合使用的儀器等信息。
3.3試劑盒中不包含但對該項檢測必需的組分,應列出相關試劑的生產企業、產品名稱以及備案憑證號或注冊證號(如有)等信息。
4.【儲存條件及有效期】
說明試劑盒的效期穩定性、開封穩定性、復溶穩定性、運輸穩定性、凍融次數要求等,應標明具體的儲存條件及效期。
5.【適用儀器】
注明所有適用的儀器型號,并提供與儀器有關的重要信息以指導用戶操作。
6.【樣本要求】
6.1樣本收集要求:結合臨床公認推薦的采樣要求。建議注明配套驗證的拭子種類或生產廠家。
6.2樣本處理、運送及保存:如果使用增菌培養后的人體樣本建議注明配套使用的增菌培養基。核酸提取前的預處理、保存條件及時間、運輸條件等。冷藏/冷凍樣本檢測前是否須恢復室溫,凍融次數限制等。
7.【檢驗方法】
詳細說明操作的各個步驟,例如:
7.1試劑準備及配制方法、注意事項。
7.2詳細描述待測樣本、質控品的核酸提取/純化方法,包括條件、步驟及注意事項。
7.3擴增反應前準備:加樣體積、順序等。
7.4 PCR各階段的溫度、時間設置、循環設置及注意事項。
7.5儀器設置:特殊參數、結合探針的熒光素標記情況設置目標基因及內標的熒光通道。
7.6基線、循環閾值(Ct值)的選擇方法。
7.7質量控制方法:試劑盒內陰/陽性質控品、內對照(內標)的Ct值范圍要求。
8.【檢驗結果的解釋】
結合陽性對照、陰性對照、內對照(內標)以及目標基因的檢測結果,以列表形式詳細描述所有可能出現的結果組合及相應的解釋,可用Ct值表示。如存在灰區,應同時說明對灰區結果的處理方式,包括在何種情況下需要進行重復檢測,重復檢測的方法,對樣本可能采取的優化條件(如采集要求或采集方法)等。如適用,也可結合擴增結果的S形曲線對灰區結果進行判定。
9.【檢驗方法局限性】
9.1本試劑盒的檢測結果應結合患者的癥狀/體征、病史、其他實驗室診斷結果等情況進行綜合分析以及解釋,不得作為患者臨床診治或管理的唯一依據。
9.2導致假陰性/假陽性結果的可能性分析:
9.2.1不合理的樣本采集、處理、運輸及保存條件,樣本中目標物濃度過低;
9.2.2 B群鏈球菌核酸目標基因序列的變異或其他原因導致的序列改變;
9.2.3同一患者不同時間、不同部位或者多次采集樣本會降低假陰性結果的可能性;
9.2.4未經驗證的其他干擾,如內源性或外源引入樣本的物質;
9.2.5樣本間的交叉污染;
9.2.6未經驗證的其他交叉反應物質。
10.【產品性能指標】詳述以下性能指標:
10.1最低檢出限:說明試劑的最低檢出濃度,簡單介紹最低檢出限的確定及驗證方法。
10.2企業陽性/陰性參考品符合率:簡單介紹陽性/陰性參考品組成、來源以及濃度等信息。
10.3精密度:說明不同類型樣本的重復性和再現性評價結果。
10.4分析特異性:包括交叉反應和干擾物質
10.4.1可能產生交叉反應的其他病原體的驗證情況,建議以列表的方式描述病原體名稱、型別、濃度等信息;
10.4.2樣本中常見干擾物質對檢測結果的影響,應注明可接受的最高限值。
10.5臨床試驗:簡要介紹試驗方法、受試者及樣本、試驗結果和結論等。
11.【注意事項】應至少包括以下內容:
11.1有關人源組分(如有)的警告,如:試劑盒內質控品或其他可能含有人源物質的組分,雖已通過乙型肝炎表面抗原(HBsAg)、人類免疫缺陷病毒抗體(抗-HIV1/2)、丙型肝炎抗體(抗-HCV)等項目的檢測為陰性,但截至目前,沒有任何一項檢測可以確保絕對安全,故仍應將這些組分作為潛在傳染源對待。
11.2臨床實驗室應嚴格按照《臨床基因擴增實驗室工作規范》配備設備及操作人員,應嚴格按照說明書要求進行操作。
1.《體外診斷試劑注冊管理辦法》(原國家食品藥品監督管理總局令第5號).2014年7月
2.《體外診斷試劑臨床試驗技術指導原則》,(原國家食品藥品監督管理總局公告2014年第16號).2014年9月
3.《體外診斷試劑說明書編寫指導原則》,(原國家食品藥品監督管理總局公告2014年第17號).2014年9月
4.《關于公布體外診斷試劑注冊申報資料要求和批準證明文件格式的公告》(原國家食品藥品監管總局公告2014年第44號).2014年9月
5.中華醫學會婦產科學分會產科學組,孕前和孕期保健指南(2018),中華圍產醫學雜志,2018年3月第21卷第3期:145-152.
國家藥品監督管理局醫療器械技術審評中心

站點聲明
本網站所提供的信息僅供參考之用,并不代表本網贊同其觀點,也不代表本網對其真實性負責。圖片版權歸原作者所有,如有侵權請聯系我們,我們立刻刪除。如有關于作品內容、版權或其它問題請于作品發表后的30日內與本站聯系,本網將迅速給您回應并做相關處理。
鄭州思途醫療科技有限公司專注于醫療器械產品政策與法規規事務服務,提供產品注冊備案申報代理、臨床試驗、體系建立輔導、分類界定、申請創新辦理服務。
為規范醫療器械現場檢查,提升檢查員現場檢查能力,指導檢查員對醫療器械生產企業工藝用水控制情況的檢查,提高企業工藝用水質量安全保證水平,依據《醫療器械監督管理條例》
2024年10月19日,在第 75 屆世界醫學會全體大會上正式通過了《赫爾辛基宣言》的最新修訂版本;《赫爾辛基宣言》作為人類參與者的醫學研究倫理
附件:血液透析用水處理設備注冊審查指導原則(2024年修訂版)(2024年第19號).doc血液透析用水處理設備注冊審查指導原則(2024年修訂版)本指導原則旨在指導注冊申請人對血液透析用水處理設備注冊申報資料的準備及撰寫,同時也為技術審評部門提供參考。本指導原則是對血液透析用水處理設備的一般要求,注冊申請人依據產品的具體特性確定其中內容是否適用。若不適用,要具體闡述理由及相應的科學依據,并依據產
本指導原則旨在幫助和指導注冊申請人對一次性使用腹部穿刺器注冊申報資料進行準備,以滿足技術審評的基本要求。同時有助于審評機構對該類產品進行科學規范的審評,提高審評工
附件:重組膠原蛋白創面敷料注冊審查指導原則(2023年第16號).doc重組膠原蛋白創面敷料注冊審查指導原則本指導原則旨在指導注冊申請人準備及撰寫重組膠原蛋白創
國家藥監局關于發布免于臨床試驗的體外診斷試劑臨床評價技術指導原則的通告(2021年第74號)發布時間:2021-09-24為指導體外診斷試劑的臨床評價工作,根據
國家藥監局藥審中心關于發布《抗腫瘤藥物臨床試驗中SUSAR分析與處理技術指導原則》的通告(2024年第42號) 發布日期:20241010
國家藥監局器審中心關于發布影像型超聲診斷設備(第三類)注冊審查指導原則(2023年修訂版)的通告(2024年第29號)發布時間:2024-10-14為進一步規范
附件:一次性使用醫用沖洗器產品注冊審查指導原則(2022年第41號).doc一次性使用醫用沖洗器產品注冊審查指導原則本指導原則旨在指導注冊申請人對一次性使用醫用
附件:醫用透明質酸鈉創面敷料注冊審查指導原則(2024年第21號).doc醫用透明質酸鈉創面敷料注冊審查指導原則本指導原則旨在指導注冊申請人準備及撰寫醫用透明質酸鈉創面敷料注冊申報資料,同時也為技術審評部門審查注冊申報資料提供參考。本指導原則是對醫用透明質酸鈉創面敷料產品的一般要求,注冊申請人應依據產品的具體特性確定其中內容是否適用,若不適用,需具體闡述理由及相應的科學依據,并依據產品的具體特性對
行業資訊
知識分享
八年
醫療器械服務經驗
聯系思途,免費獲得專屬《落地解決方案》及報價
咨詢相關問題或咨詢報價,可以直接與我們聯系
思途CRO——醫療器械注冊臨床第三方平臺
