血液透析用水處理設備注冊審查指導原則(2024年修訂版)(2024年第19號)
附件:血液透析用水處理設備注冊審查指導原則(2024年修訂版)(2024年第19號).doc血液透析用水處理設備注冊審查指導原則(2024年修訂版)本指導原則旨在指導注冊申請人對血液透析用水處理設備注冊申報資料的準備及撰寫,同時也為技術審評部門提供參考。本指導原則是對血液透析用水處理設備的一般要求,注冊申請人依據產品的具體特性確定其中內容是否適用。若不適用,要具體闡述理由及相應的科學依據,并依據產
來源:醫療器械注冊代辦 發布日期:2024-01-04 閱讀量:次
附件:弓形蟲、風疹病毒、巨細胞病毒、單純皰疹病毒抗體及G型免疫球蛋白抗體親合力檢測試劑注冊審查指導原則(2023年修訂版)(2024年第2號).doc
本指導原則旨在指導注冊申請人對弓形蟲、風疹病毒、巨細胞病毒、單純皰疹病毒抗體及G型免疫球蛋白(Immunoglobulin G, IgG)抗體親合力檢測試劑注冊申報資料的準備及撰寫,同時也為技術審評部門提供參考。
本指導原則是對弓形蟲、風疹病毒、巨細胞病毒、單純皰疹病毒抗體及IgG抗體親合力檢測試劑的一般要求,申請人應依據產品的具體特性確定其中內容是否適用,若不適用,需具體闡述理由及相應的科學依據,并依據產品的具體特性對注冊申報資料的內容進行充實和細化。
本指導原則是供注冊申請人和技術審評人員使用的指導性文件,但不包括審評審批所涉及的行政事項,亦不作為法規強制執行,應在遵循相關法規的前提下使用本指導原則。如果有能夠滿足相關法規要求的其他方法,也可以采用,但是需要提供詳細的研究資料和驗證資料。
本指導原則是在現行法規和標準體系以及當前認知水平下制定的,隨著法規和標準的不斷完善,以及科學技術的不斷發展,本指導原則相關內容也將適時進行調整。
弓形蟲(Toxoplasma, TOXO) 、風疹病毒(Rubella virus, RV) 、巨細胞病毒(Cytomegalovirus, CMV) 及單純皰疹病毒 (Herpes simplex virus, HSV) 四種病原體(以下簡稱“ToRCH”)已引起圍產醫學家和優生優育學家的關注,如何應用應基于大量的研究及相關學科的診療指南。
本指導原則適用于采用免疫學方法,如酶聯免疫法、化學發光法、免疫層析法等,對人體血清、血漿、靜脈全血樣本中的ToRCH特異性抗體進行體外定性和/或半定量和/或定量檢測的試劑。結合臨床表現和其他實驗室指標,可用于ToRCH感染輔助診斷。同時也適用于對ToRCH特異性IgG抗體陽性的人血清和/或血漿和/或靜脈全血樣本中ToRCH特異性IgG親合力進行體外定性檢測的試劑,用于輔助判斷感染時間,排除近期原發性感染。本類試劑尚不用作產前篩查。對基于其他方法學的試劑,可能部分要求不完全適用或本文所述內容不夠全面,申請人可以參照本指導原則,根據產品特性對適用部分進行評價或補充其他的評價資料進行相應驗證。
本指導原則適用于弓形蟲、風疹病毒、巨細胞病毒、單純皰疹病毒抗體及G型免疫球蛋白抗體親合力檢測試劑注冊申請和變更注冊申請的情形。本指導原則針對相關產品注冊申報資料中的部分內容進行撰寫,其他未盡事宜應當符合相關法規要求。
(一)監管信息
1.產品名稱及分類編碼
產品名稱應符合相關法規的要求。根據《體外診斷試劑分類規則》,該產品按照第三類體外診斷試劑管理,分類編碼為6840。
2.其他信息還包括產品列表、關聯文件、申報前與監管機構的聯系情況和溝通記錄以及符合性聲明等文件。
(二)綜述資料
綜述資料主要包括概述、產品描述、預期用途、申報產品上市歷史及其他需說明的內容。其中,產品描述應詳述技術原理、產品主要研究結果的總結和評價、與同類和/或前代產品的比較等。與同類和/或前代產品的比較應著重從技術原理、特異性抗原等主要組成成分、預期用途、性能指標、臨床應用情況等方面寫明擬申報產品與目前市場上已獲批準的同類產品之間的主要區別。
另外,建議申請人對以下幾方面內容進行著重介紹:
1.特定病原體的生物學特性,包括形態與結構、抵抗力、感染過程等。
2.特定病原體感染的傳播途徑、潛伏期、不同人群感染的臨床癥狀、流行病學以及易感人群的說明。
3.ToRCH特異性抗體及特異性IgG抗體親合力動力學。
(三)非臨床資料
1.產品技術要求及檢驗報告
注冊申請人應當在原材料質量和生產工藝穩定的前提下,根據產品研制、前期評價等結果,依據國家標準、行業標準及有關文獻資料,結合產品特性按照《醫療器械產品技術要求編寫指導原則》的要求編寫。該類產品作為第三類體外診斷試劑,應當以附錄形式明確主要原材料以及生產工藝要求。
第三類體外診斷試劑應當提供三個不同生產批次產品的檢驗報告。如該項目已有國家標準品,技術要求中應體現國家標準品的相關要求,并使用國家標準品進行檢驗。
可提交以下任一形式的檢驗報告:
(1)申請人出具的自檢報告。
(2)委托有資質的醫療器械檢驗機構出具的檢驗報告。
如果擬申報試劑已有相應的國家/行業標準發布,則性能指標要求不得低于上述標準要求。
2.分析性能評估資料
注冊申請人應提交在符合質量管理體系的環境下生產的試劑盒進行的所有分析性能評估資料,包括具體研究方法、試驗方案、試驗數據、統計分析等詳細資料。有關分析性能評估的背景信息也應在申報資料中進行描述,包括試驗地點,采用的試劑名稱、規格和批號,儀器名稱和型號,樣本類型和來源等。分析性能評估的試驗方法可以參考國際或國內有關體外診斷試劑性能評估的指導原則進行,對于本類產品建議著重對以下分析性能進行研究。
2.1樣本穩定性
樣本穩定性一般包括樣本各種實際運輸及儲存(常溫、冷藏和冷凍)條件下的保存期限驗證,以確認樣本的保存條件及保存時間。可以在合理的溫度范圍內,每間隔一定的時間段即對儲存樣本進行驗證,從而確認不同類型樣本的穩定性。需要冷凍保存的樣本應對凍融次數進行合理的驗證。如果需對采集后的樣本進行處理再進行檢測,需提供樣本處理前后的穩定性的研究。
2.2適用樣本類型
如果試劑適用于多種樣本類型,應采用合理方法評價每種樣本類型的適用性。對具有可比性的樣本類型(如血清和血漿),可采用同源比對研究,對源自同一患者的不同類型的樣本進行檢測,以驗證檢測結果的一致性,樣本量應具有統計學意義,建議不低于50例;對于不具有可比性的樣本類型,應對每種樣本類型分別進行分析性能評估。
如果試劑盒的樣本類型(如:血漿、全血樣本)適用多種抗凝劑,可采用一定數量同源樣本通過比對試驗的方法,驗證各種抗凝劑的適用性。
2.3校準品的量值溯源和質控品的賦值
如包含校準品,需提供校準品的量值溯源研究資料。
描述質控品的賦值(如適用)。需至少進行三批產品分別在不同適用機型的賦值研究。
2.4準確度/正確度
可采用申報試劑與對比方法(如:已上市產品)同時對一定數量的臨床樣本進行方法學比對研究,評價檢測結果的一致性;也可以通過檢測參考品(盤)分析申報產品檢測結果與經確認結果的符合情況,評價申報產品的準確度,參考品(盤)應經診斷準確度標準/其他成熟方法檢測確認過或有準確臨床診斷信息;對于有參考物質(國際參考物質、國家標準品)的定量項目,也可使用參考物質評估試劑檢測結果的偏倚。
2.5精密度
應對精密度指標的評價標準做出合理要求,如標準差、變異系數或顯色強度等,針對本類產品的精密度評價主要包括以下要求。
2.5.1對可能影響檢測精密度的主要變量進行驗證,包括不同時間、地點、操作者、檢測輪次、試劑批次、適用儀器(如適用)等。
2.5.2設定合理的精密度評價周期,例如:為期至少20天的檢測,每天至少由2人完成不少于2次的完整檢測,并對批內/批間、日內/日間以及不同操作者之間的精密度進行綜合評價。
2.5.3用于精密度評價的臨床樣本應至少包含陰性樣本、檢出限陽性樣本以及中/強陽性樣本三個水平。
2.6空白限、檢出限和定量限
2.6.1 ToRCH特異性抗體定性檢測項目
建議采用已明確ToRCH特異性抗體滴度的臨床陽性樣本,通過系列稀釋,進行檢出限的建立和驗證。應采用合理方法確認臨床樣本的抗體類型和滴度,提供詳細的確認方法及結果。
選取至少3份臨床陽性樣本,系列稀釋獲得多個濃度梯度,每個濃度重復檢測不少于3次,以100%可檢出的最低濃度水平作為預設檢出限。在此濃度附近制備若干濃度梯度樣品,每個濃度至少重復檢測20次,將具有95%(n≥20)陽性檢出率的最低濃度作為檢出限。另選取與上述不同的3份臨床樣本,稀釋到檢出限濃度水平進行驗證,應達到95%(n≥20)陽性檢出率。
可給出連續量值信號的ToRCH特異性抗體定性檢測項目,如基于酶聯免疫吸附技術的檢測試劑采用吸光度響應區別“有反應”和“無反應”結果。對于此類檢測檢測項目,也可參考以下內容設定空白限和檢出限。
2.6.2 ToRCH特異性抗體定量或半定量檢測項目
對于可溯源至有量值的國際或國家標準品的定量檢測項目和半定量檢測項目,可參考國內外相關文件對空白限、檢出限以及定量限進行建立及驗證。
空白限、檢出限和定量限的建立及驗證應分別選擇多份樣本在多天內對樣本進行重復測量,需綜合各種影響因素進行試驗設計并選擇合適的方法對數據進行分析。
建立和驗證采用的臨床樣本不應重復。如有其他科學合理的評價方法,也可進行選擇。
2.7抗體滴度變化(適用于半定量和/或定量檢測項目)和診斷靈敏度
2.7.1 ToRCH抗體檢測試劑
介紹血清轉換盤的組成和來源。檢測血清轉換盤,用于評價檢測試劑的診斷靈敏度及監測抗體滴度變化趨勢的能力。對于TOXO、RV等已有商業化血清轉換盤的檢測項目,建議選用商業化血清轉換盤進行研究;對于部分無商業化血清轉換盤的檢測項目,可選擇合理的方法,如將標化的血清樣本稀釋等,對抗體滴度變化及診斷靈敏度進行評價。
2.7.2 ToRCH IgG抗體親合力檢測試劑
對急性感染(3~4個月內)和既往感染樣本進行研究,樣本可來自于血清轉化盤或基于臨床診斷的臨床樣本,以評價臨床診斷靈敏度。
2.8分析特異性
2.8.1交叉反應
應對ToRCH的近緣病原體、易引起相同或相似的臨床癥狀及易合并感染的病原體(見表1)感染病人的高水平特異性抗體樣本進行交叉反應研究。此外,還應對高濃度病原體特異性IgG抗體與特異性IgM抗體的交叉反應進行驗證。
如果檢測試劑采用基因重組抗原,應增加對重組基因導入微生物特異性抗體的交叉反應評價。例如,采用大腸埃希菌作為宿主菌進行重組抗原的表達,建議考慮大腸埃希菌宿主自身蛋白以及載體骨架編碼的蛋白與被測物之間可能產生的交叉反應。
交叉反應用臨床樣本中相關病原體抗體滴度水平應較高,并且抗體類型(IgM、IgG)應與申報試劑檢測抗體類型一致,如檢測ToRCH IgG抗體,則應研究其與相關病原體特異性IgG抗體的交叉反應。申請人應提交所有用于交叉反應驗證的病原體抗體陽性樣本的來源、陰陽性和滴度確認等信息。

2.8.2干擾研究
應根據所采集樣本類型,選擇適用的干擾物質進行研究。說明樣本的制備方法及干擾研究的評價標準,確定可接受的干擾物質的極限濃度。
建議在每種干擾物質的潛在最大濃度(“最差條件”)下,采用待測抗體為弱陽性和陰性水平的多例樣本進行試驗,應至少包括下列可能的干擾物質。
2.8.2.1內源性干擾物質:總IgG、總IgM、膽紅素、血紅蛋白、甘油三酯、自身免疫性抗體(抗核抗體、類風濕因子、抗線粒體抗體等)、異嗜性抗體(如:HAMA)、高濃度ToRCH特異性IgG抗體與特異性IgM抗體的干擾。
2.8.2.2常見治療性藥物:請依據檢測項目選擇合適的治療藥物進行干擾研究。對于CMV抗體檢測試劑建議納入更昔洛韋、纈更昔洛韋等藥物進行干擾研究;對于弓形蟲抗體檢測試劑建議評價乙酰螺旋霉素、乙胺嘧啶、磺胺嘧啶、甲酰四氫葉酸等常見治療藥物的影響;對于單純皰疹病毒抗體檢測試劑建議納入阿昔洛韋、伐昔洛韋等干擾物質評價。
2.8.2.3如適用全血樣本,應評價紅細胞壓積對檢測結果的影響。
2.9 ToRCH IgM抗體破壞試驗
可采用對至少5份含有ToRCH特異性IgM抗體的樣本進行IgM破壞試驗研究,方法為采用特定的化學制劑(如2-巰基乙醇或二硫蘇糖醇)處理樣本后,重新進行檢測,IgM檢測結果應為陰性。
2.10鉤狀(HOOK)效應
須采用多份高滴度的ToRCH特異性抗體樣本進行梯度稀釋后由低濃度至高濃度開始檢測,每個梯度的稀釋液重復3~5次,對鉤狀效應進行合理的驗證。
2.11包容性
應選擇來源于不同時間、不同地域的多份經合理方法確定的ToRCH特異性抗體陽性臨床樣本進行檢測,檢測項目如存在不同型別(如:HSVⅠ型和Ⅱ型),建議對所有型別進行驗證,驗證內容應包括重復性、檢出限等,檢測結果應滿足接收標準,需提供樣本性質、型別及濃度的確認方法、試驗數據等支持性資料。
2.12線性區間及可報告區間(適用于半定量和定量項目)
線性區間的研究,需采用高濃度樣本和陰性樣本/低濃度樣本配制一系列不同濃度的樣本。當建立試劑的線性區間時,需配制較預期線性區間更寬的9個左右不同濃度的樣本(不包括陰性樣本),每個樣本進行多次重復檢測,根據可接受線性偏差和各濃度的重復性,確定檢測次數。采用重復檢測均值和預期值進行回歸分析。當驗證試劑的線性區間時,需配制覆蓋整個線性區間的至少5個不同濃度的樣本,每個樣本至少重復檢測2次。建議采用加權最小二乘回歸等方法對檢測結果進行回歸分析,提供散點圖、線性回歸方程、相關系數及線性偏差等,結果應滿足可接收標準。
測量區間,也稱分析測量區間,在該區間內,臨床樣本在未經稀釋、濃縮,或非常規測量程序中步驟的其他前處理情況下,檢測結果的線性偏差、不精密度和偏倚均在可接受范圍內。測量區間下限為定量限,線性區間包含測量區間。
如對超出測量區間的樣本可進行稀釋后檢測,應采用合適的方法確定試劑的稀釋倍數和稀釋液(如適用),從而確定試劑的可報告區間。稀釋倍數的研究可采用多份高濃度臨床樣本進行梯度稀釋,計算稀釋樣本的濃度并與稀釋系數相乘以計算未稀釋樣本的濃度,比較計算所得抗體濃度與已知值之間的差異。
2.13反應體系研究
2.13.1反應條件確定
申請人應考慮反應時間、反應溫度、洗滌液體積和洗滌次數、判讀時間(如適用)等條件對產品性能的影響,通過試驗確定上述條件的最佳組合。
2.13.2反應體系中樣品加樣方式及加樣量確定
通過試驗確定最佳的加樣方式及加樣量。如樣本需采取稀釋或其他必要的方法進行處理后方可用于最終檢測,申請人還應對樣本稀釋液及其用量、其他必要的處理方法等進行研究。對于IgM抗體檢測試劑,如采用間接法,建議考慮高濃度特異性IgG對結果的影響,合理設置IgG去除相關樣本處理步驟,以降低特異性IgG可能造成的假陰性和假陽性。
應對樣本是否可以滅活,以及可采用的滅活方式、滅活時間進行研究確定。
3.穩定性研究資料
申請人可根據實際需要選擇合理的穩定性研究方案。穩定性研究資料應包括研究方法的確定依據、具體的實施方案、詳細的研究數據以及結論。
3.1實時穩定性研究
提交至少三批申報產品在實際儲存條件下保存至成品有效期后的研究資料。明確儲存的環境條件(如溫度、濕度和光照)及有效期。
3.2使用穩定性
提交申報產品實際使用期間穩定性的研究資料,應包括所有組成成分的開封穩定性。適用時提交復溶穩定性、機載穩定性及凍融次數研究資料等。如涉及校準品,還應提交校準頻率或校準穩定性研究資料。明確產品使用的溫度、濕度條件等。
3.3運輸穩定性
提交申報產品可在特定或者預期的條件下運輸的研究資料,應說明產品正確運輸的環境條件(如溫度、濕度、光照和機械保護等)。同時說明產品的包裝方式以及暴露的最差運輸條件。注意應考察經過運輸條件后實時穩定性。
4.陽性判斷值研究
提交對申報試劑陰性/灰區/陽性等結果判斷的陽性判斷值(cut-off,CO)確定的研究資料,應包括具體的試驗方案、人群及樣本選擇、評價標準、統計學分析和研究數據等。建立CO值的樣本選擇應考慮到地域性、季節、不同的感染階段和生理狀態等因素的影響,并納入一定數量的弱陽性樣本。
建議采用受試者工作特征曲線(receiver operating characteristic curve, ROC)的分析方式來選擇確定合理的CO值,如試驗結果分析存在灰區(equivocal zone),則應明確灰區建立的基礎。
對于采用酶聯免疫分析技術的檢測試劑,在各檢測條件固定的情況下,申請人也可以采用確定臨界值的常用方法,通過:①確定CO值中的n數值(CO值=陰性樣品平均A值+n×標準偏差);②確定陰性樣品A值的標準差;③臨床樣本CO值的驗證;這三個步驟檢測并計算確定試劑盒的CO值。
如產品適用多個樣本類型,應明確CO值在不同的樣本類型是否存在差異,如有差異,應分別進行CO值的確定。
5.其他資料
5.1主要原材料研究資料
此類產品的主要原材料一般包括抗原、抗體、質控品和/或校準品、企業參考品等。應提供主要原材料的選擇與來源、制備過程、質量控制標準等相關研究資料。如主要原材料為企業自制,應提供其詳細的制備、鑒定和質量控制過程;如主要原材料源于外購,應提供資料包括:選擇該原材料的依據及對比篩選試驗資料、供應商提供的質量標準、出廠檢測報告以及該原材料到貨后的入廠檢驗報告。
5.1.1抗原
應注重抗原選擇,詳細描述抗原的名稱、生物學來源、天然/重組表達信息及選擇該抗原的依據。提交抗原來源、制備過程、篩選及質量標準(外觀、蛋白濃度、純度、分子量、功能性試驗等)等詳細試驗資料。
如抗原為企業自制,需提供以下資料:如為天然抗原,則應對病原體毒株選擇、病原體培養、抗原提取及純化、鑒定等試驗過程予以詳述并提供相應研究資料;如為重組抗原,則應提交有關特定基因選擇、基因序列、克隆構建及轉化、抗原表達及純化、鑒定等詳細試驗資料,重組抗原應明確與天然抗原結構的異同。
5.1.2抗體
詳述抗體的選擇過程,提交抗體的名稱、生物學來源、免疫原及質量標準(外觀、蛋白濃度、純度、分子量、效價、功能性試驗等)等詳細試驗資料。
如抗體為企業自制,需提供以下資料:如使用天然抗原作為免疫原則應明確該天然抗原的來源;如使用重組抗原或其他人工合成抗原作為免疫原,應提供相應的核酸組分及重組抗原的序列信息。
5.1.3其他主要原材料
除上述主要原材料外,產品中包含的其他原料,如固相載體、化學發光劑、樣本緩沖液等,均應提交原料的選擇及驗證資料。明確原料的供應商和質量控制標準。免疫層析方法學的產品如適用于全血,應介紹血細胞去除方式及相關原材料,并驗證去除效果。
5.1.4質控和/或校準品
校準品應溯源至現行的國家或國際參考品(如有),質控品應至少包含陰性和陽性兩個水平。校準品和質控品基質應與待測樣本相同或相似。應提交相關原料的來源、選擇和陰、陽性確認等相關研究資料,詳述質控品和/或校準品的制備過程,明確供應商和質量控制標準。企業應對質控品的檢測結果做出明確的范圍要求(試驗有效性的判斷)。
免疫層析方法學的產品應設置質控線,詳述質控線相關原材料(例如羊抗鼠IgG多克隆抗體)的選擇依據和質量標準。
5.1.5企業參考品
應提交企業參考品的原料來源、選擇、制備、陰陽性及濃度/滴度確認方法或試劑(建議采用國內已上市的、臨床上普遍認為質量較好的同類試劑)等相關研究資料并對企業參考品進行充分驗證。企業參考品的基質應與待測樣本相同。
該類產品的企業參考品一般包括:陽性參考品、陰性參考品、檢出限參考品、重復性參考品、親合力參考品等,申請人應根據產品特性及適用情況科學設置。其中陽性參考品重在評估產品的包容性,應選擇不同來源的臨床樣本,并設置不同滴度水平。陰性參考品應可評價產品的特異性,除設置正常人血清/血漿樣本外,還應包含可能的干擾(溶血、脂血、黃疸及自身免疫性疾病樣本)和交叉樣本,對于檢測ToRCH IgM抗體的試劑,陰性參考品中建議包括ToRCH IgG抗體陽性樣本。檢出限參考品可設置臨床陽性樣本的系列稀釋樣本,其中應包含最低檢出限水平。重復性參考品可設置至少兩個水平的臨床陽性樣本,包括最低檢出限附近濃度。親合力參考品一般包括高濃度親合力參考品、低濃度親合力參考品等,對于同時檢測ToRCH IgM和IgG抗體的試劑,企業參考品需對IgM抗體和IgG抗體分別設置。
5.2生產工藝研究資料
5.2.1產品基本反應原理介紹。
5.2.2主要生產工藝介紹,可用流程圖方式表示,并簡要說明主要生產工藝的確定依據。
5.2.3包被/標記工藝研究,申請人應考慮如包被/標記液量、濃度、時間、條件等指標對產品性能的影響,通過試驗確定上述指標的最佳組合。
5.2.4顯色(發光)系統、酶作用底物等的介紹以及最適條件研究。
(四)臨床評價資料
對于免于進行臨床試驗的臨床評價檢測項目,臨床評價可參照《免于臨床試驗的體外診斷試劑臨床評價技術指導原則》相關內容開展研究,如相關法規、文件有更新,臨床評價應符合更新后的要求。
對于未在《免于臨床試驗體外診斷試劑目錄》的產品,應進行臨床試驗。其臨床試驗的開展、方案的制定以及報告的撰寫等均應符合相關法規及《體外診斷試劑臨床試驗技術指導原則》的要求,如相關法規、文件有更新,臨床試驗應符合更新后的要求。
1.臨床試驗方法
臨床試驗可采用試驗體外診斷試劑與臨床普遍認為質量較好的已上市同類產品進行比較研究試驗,證明兩者等效,從而間接證明試驗用體外診斷試劑臨床性能滿足預期用途的要求。對比試劑在預期用途、適用人群、樣本類型、檢測性能等方面應與試驗用體外診斷試劑具有較好的可比性。臨床試驗方案中應針對對比試劑的選擇及依據進行詳細描述。
2.受試者選擇及樣本收集
臨床試驗方案中應根據試驗體外診斷試劑的預期用途、適用人群和檢測要求等合理確定臨床試驗受試者選擇要求,包括:受試者入組/排除標準等。
根據產品臨床驗證的目的,入組人群應選擇具有ToRCH感染癥狀/體征的人群、與傳染源有密切接觸史的人群、育齡婦女及孕婦作為研究對象。
應適當納入感染癥狀相似、易混淆的其他病原體感染患者及自身免疫性疾病患者。
臨床樣本的采集、處理、保存等應分別滿足臨床試驗中所涉及各產品說明書相關要求。
對于CMV等ToRCH病原體IgG抗體親合力檢測,其臨床適用人群應為疑似原發性感染的人群。入組方式可選擇ToRCH特異性IgM和ToRCH特異性IgG抗體同時為陽性的樣本作為親合力檢測的入組樣本。建議在臨床報告的試驗設計和研究結果中對入組樣本的篩選入組過程進行詳細描述。
3.臨床試驗機構數量及要求
該類產品臨床試驗應在三家及以上符合要求的臨床試驗機構開展。申請人應根據產品特點及其預期用途,綜合流行病學背景,選擇具有一定地域代表性的機構開展臨床試驗。
4.樣本類型
ToRCH抗體及G型免疫球蛋白抗體親合力檢測試劑適用的樣本類型一般包括血清、血漿和靜脈全血。
如申報產品所適用的樣本類型同時包含血清、血漿,且臨床前研究證實檢測性能沒有差異(如血清、血漿),則臨床試驗中可匯總統計。對于靜脈全血樣本類型,建議進行同源比對。
5.臨床試驗樣本量估算
適當的樣本量是保證申報產品臨床性能得到準確評價的必要條件。臨床試驗樣本量應滿足統計學要求,可采用適當的統計學方法進行估算。
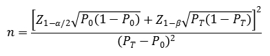
當采用申報產品與已上市同類產品進行對比試驗時,可采用單組目標值法樣本量公式估算最低樣本量。

公式中,n為樣本量;Z1-α/2、Z1-β為顯著性水平和把握度的標準正態分布的分數位,P0為評價指標的臨床可接受標準,PT為試驗用體外診斷試劑評價指標預期值。
對于ToRCH病原體抗體檢測試劑的臨床陰/陽性符合率,基于目前的科學認識,建議P0不低于90%。當選定的產品的符合率預期值(PT)遠高于預期目標值時,應采用其他的方法進行樣本類的估算。當評價指標P接近100%時,上述樣本量估算方法可能不適用,應考慮選擇更加適宜的方法進行樣本量估算,如精確概率法等。
對于ToRCH病原體G型免疫球蛋白抗體親合力檢測試劑的臨床高/低親和性符合率,基于目前的科學認識,建議P0不低于90%。當選定的產品的符合率預期值(PT)遠高于預期目標值時,應采用其他的方法進行樣本類的估算。當評價指標P接近100%時,上述樣本量估算方法可能不適用,應考慮選擇更加適宜的方法進行樣本量估算。
對于ToRCH特異性IgG定量檢測試劑,樣本待測物濃度應覆蓋檢測范圍,并在各個濃度水平均應有一定量的樣本例數。
臨床試驗樣本量除需滿足上述統計學估算的最低樣本量要求外,還應保證入組病例覆蓋受試者的各種特征;臨床試驗樣本應包含一定數量的醫學決定水平附近樣本或灰區樣本。
6.臨床評價指標的選擇與統計分析
臨床評價指標應在臨床試驗的設計階段確定,并在臨床試驗方案中予以明確。
對于ToRCH抗體檢測試劑,臨床評價指標主要包括試驗體外診斷試劑與已上市同類產品相比的陽性符合率、陰性符合率等。統計分析一般以2×2四格表的形式總結兩種分析方法的檢測結果,并據此計算陽性符合率、陰性符合率、總符合率、Kappa值等指標及其95%置信區間。結果不符樣本的復核結果不應納入上述統計。對于申請半定量意義的檢測試劑,其對比試驗的等效性研究,應在上述統計分析的基礎上,根據臨床試驗數據分布特點,采用Pearson相關系數等統計方法對考核試劑檢測值與對比試劑檢測值線性相關關系進行分析。申請定量意義的IgG檢測試劑,比如風疹病毒IgG檢測試劑,評價指標通常還包括回歸分析的回歸系數、截距、相關系數和決定系數等。根據臨床試驗數據繪制散點圖,并進行相關性分析。并采用Bland-Altman法,計算一致性限度,評價兩種檢測結果的一致性。一致性限度應在臨床所能接受的界值范圍內。還應采用回歸分析對兩種檢測方法的一致性進行評價。根據數據分布特點等因素選擇適用的回歸分析方法,回歸分析應重點觀察回歸方程的回歸系數和截距等指標,計算回歸系數和截距的置信區間。同時對相關評價指標進行假設檢驗。
對于ToRCH病原體G型免疫球蛋白抗體親合力檢測試劑,臨床評價指標主要包括試驗體外診斷試劑與已上市同類產品相比的高親和性符合率、低親和性符合率等。統計分析一般以2×2四格表的形式總結兩種分析方法的檢測結果,并據此計算高親和性符合率、低親和性符合率、總符合率、Kappa值等指標及其95%置信區間。
7.結果不符的樣本
對于比較研究試驗中申報產品與對比產品結果檢測不一致以及量值差異較大的情況,應進行合理的分析。如采用實驗室參考方法或第三方檢測試劑進行確認,結果不應用于修訂原有統計結果。
(五)產品說明書和標簽樣稿
產品說明書格式應符合《體外診斷試劑說明書編寫指導原則》的要求,境外試劑的中文說明書除格式要求外,其內容應盡量保持與原文說明書的一致性,翻譯力求準確且符合中文表達習慣。產品說明書的技術內容應與注冊申報資料中的相關研究結果保持一致,如某些內容引用自參考文獻,則應以規范格式對此內容進行標注,并單獨注明文獻的相關信息。
ToRCH特異性抗體和IgG抗體親合力檢測試劑說明書編寫應重點關注以下內容:
1.【預期用途】應至少包括以下幾部分內容:
1.1試劑盒用于體外定性和/或半定量和/或定量,檢測人血清和/或血漿和/或靜脈全血樣本中xx的特異性IgG或IgM抗體。用于ToRCH病原體感染的輔助診斷。
1.2試劑盒用于體外定性檢測人體血清和/或血漿和/或靜脈全血樣本中xx的特異性IgG親合力。作為ToRCH抗體檢測的一種補充,用于輔助判斷感染時間,排除近期原發性感染。
1.3簡單介紹病原體的特征,如特定病原體的生物學特征、流行病學、潛伏期、易感人群、不同人群感染后的臨床表現等臨床背景相關的信息介紹;適用人群的介紹,如具有何種癥狀/體征的患者、相關的密切接觸者、相關疾病流行情況、地域要求等。
1.4人群中ToRCH特異性抗體的陽性率、ToRCH特異性抗體的產生、持續時間、臨床提示作用及與ToRCH核酸和抗體親合力等其他檢測指標的關聯。
1.5明確說明ToRCH特異性IgM抗體檢測不得用于無癥狀人群的產前篩查;不得將本試劑的檢測結果單獨作為終止妊娠的依據。
1.6特異性IgG抗體的親合力檢測試劑還應介紹親合力動力學,親合力高低與感染時間的關系,并明確不得將本試劑IgG抗體的低親合力結果單獨作為近期急性感染判斷的依據。
1.7關于預期用途的幾點考慮:
1.7.1 ToRCH抗體檢測試劑作為病原體抗體檢測試劑,目前的臨床意義僅限于抗體陰陽性及IgG抗體親合力高低的判斷和病原體特異性IgG抗體滴度變化趨勢的觀察。
1.7.2定量檢測試劑可溯源至國家或國際標準品如WHO標準品等標準品。鑒于現在國際標準品的情況和臨床需求,建議ToRCH IgM檢測試劑的預期用途定義為定性檢測。
1.7.3抗體親合力檢測項目的確定,應建立在明確的臨床意義和技術可行性基礎上。
2.【適用儀器】
對于采用酶聯免疫吸附法的檢測試劑應明確適用酶標儀的波長要求,其他方法學檢測試劑應明確具體的適用儀器型號。
3.【樣本要求】重點明確以下內容:
3.1對于ToRCH病原體IgM抗體檢測試劑,如果檢測系統含有某種IgG抗體的去除技術(IgG吸附劑),如抗人IgG抗體等,則應包括IgG吸附劑使用相關的注意事項。例如:經IgG吸附劑處理的樣本不能用于IgG類抗體的檢測;在檢測IgM類抗體的同時,檢測處理過的混合物中的IgG類抗體,以證實對IgG和類風濕因子(RF)等去除的有效性。
3.2對于IgG抗體親合力檢測試劑應明確適用的特異性IgG抗體陽性樣本的濃度范圍或信號值范圍。
4.【檢驗方法】詳細說明試驗操作的各個步驟:
4.1檢測試劑及樣本的復溫要求及相關注意事項。例如:凍存樣本在復融后應經過充分的混勻再行檢測。
4.2試劑配制方法、注意事項,試劑開封后使用方法及注意事項等。
4.3高濃度樣本稀釋的方法及注意事項。
4.4試驗條件:操作步驟、溫度、時間、儀器波長以及試驗過程中的注意事項等。
4.5定標(如適用):標準曲線的制定,對需要進行重新定標情況的說明及對定標周期的建議。
4.6質量控制:操作步驟,質控結果的要求(試驗有效性的判斷),質控結果不符合要求的處理方式。如果質控品和病人樣本的使用方法不同,生產商應注明必要的指導和解釋。建議在質控品結果解釋環節注明以下字樣:“如果質控結果與預期不符,實驗室不應出具檢測報告”。
5.【檢驗結果的解釋】
詳細描述檢測結果的判定標準或計算方法。對陰陽性及血清轉換或親合力高低臨床意義的說明,對后續試驗的建議。例:對于巨細胞病毒IgG抗體檢測灰區樣本,建議另外進行巨細胞病毒IgM抗體檢測或于2周后進行重復檢測;對于IgG抗體親合力灰區樣本,應于2周后進行重復檢測。對于半定量和定量的特異性IgG抗體檢測試劑,還應明確抗體滴度變化的意義。由于ToRCH IgM假陽性結果可能造成不良后果,建議提示臨床醫生對所有ToRCH IgM陽性結果應結合臨床病史及其他的檢測結果綜合判斷,不得作為ToRCH急性感染診斷的唯一依據。
對于ToRCH IgG定量檢測試劑,由于抗體的檢測結果與檢測方法及量值的溯源性相關,不同檢測系統間的結果可能不一致。建議企業給予相關提示。
對于IgG抗體親合力檢測試劑,還應明確指出應配合相應的ToRCH IgG和IgM抗體檢測試劑結果進行分析。應提示:臨床醫生檢測的低親合力結果不得作為近期急性感染判斷的依據。
6.【檢驗方法局限性】
綜合產品的預期用途、臨床背景、檢測方法及適用范圍等信息,對可能出現的局限性進行相關說明,主要包括以下描述,請申請人選擇適用的條款在產品說明書中予以闡述。
6.1本產品檢測結果僅供臨床參考,不應作為臨床診治的唯一依據,對患者的臨床診斷應結合其癥狀/體征、病史、流行病學、其他實驗室檢查(如病原學檢測)等信息綜合考慮。
6.2感染初期,ToRCH特異性抗體未產生或低于檢出限,會導致陰性結果,如懷疑有病原體感染,應提示患者在一段時間內復查,如2周以上,抽取第二份樣本,并在與第一份樣本同條件下時進行檢測,以確定是否有初次感染的血清轉化或ToRCH特異性IgM或IgG抗體明顯升高。(企業應注明第一份樣本的保存條件,并提交相應的支持資料)
6.3ToRCH特異性IgG陰性,可能出現于疾病急性感染的早期,陰性結果應結合臨床癥狀或病原接觸情況,并結合其他診斷檢測方法加以解釋。
6.4對于采用間接法的ToRCH IgM抗體檢測試劑,高滴度ToRCH特異性IgG抗體會與特異性IgM抗體競爭抗原結合部位,會使檢測的敏感性降低,特異性IgM抗體結果可能會出現假性低值或陰性結果。
6.5由于孕婦ToRCH IgM抗體的實驗室檢查存在較高的假陽性風險,不能可靠地鑒定胎兒患病的風險,故不建議對無癥狀孕婦的ToRCH IgM抗體進行篩查。不得將本試劑的檢測結果單獨作為終止妊娠的依據。
6.6免疫功能受損或接受免疫抑制治療的患者,如人類免疫缺陷病毒(HIV)感染患者或器官移植后接受免疫抑制治療的患者,其抗體及抗體親合力檢測的參考價值有限,可能會導致錯誤的醫學解釋。
6.7在近幾個月內接受過輸血或其他血液制品治療的人群,對其陽性檢測結果的分析應慎重。
6.8部分ToRCH(如風疹病毒)特異性IgM抗體不僅出現于初次感染,當二次感染和復發感染時也可能出現。個別個體的ToRCH特異性IgM抗體,在初次感染較長時間后仍能檢出,因此對特異性IgM抗體陽性在判斷初次感染時間的解釋中應慎重。
6.9當處于低流行率地區的無癥狀人群或已接種過特定ToRCH疫苗的個體檢出ToRCH IgM陽性結果時,應警惕可能出現的假陽性結果。同時建議臨床醫生結合其癥狀/體征、病史、流行病學、其他實驗室檢查(如IgG抗體親合力和病原學檢測)進行判斷。建議對申報試劑臨床研究中的病例人群特征進行說明,并對適用人群的年齡、地域等特征進行明示。
6.10人血清中的異嗜性抗體可能與試劑中的免疫球蛋白結合干擾試驗結果,對于經常接觸動物或動物血清制品的人群,應警惕可能出現的異常干擾結果。
6.11接受過小鼠單克隆抗體治療的患者樣本中,可能含有人抗小鼠抗體(HAMA)。對于試劑盒組成成份中含有小鼠源性抗體的檢測試劑,若待測樣本中含有HAMA,會影響檢測結果的準確性。
6.12體內存在的高濃度的鏈霉親合素(親合素)抗體和發光標志物抗體可能會影響檢測結果。
6.13由于ToRCH IgG抗體親合力成熟過程存在個體差異,個別個體在初次感染較長時間后仍呈現ToRCH IgG抗體低親合力,因此不得將本試劑IgG抗體的低親合力結果單獨作為近期急性感染判斷的依據。
7.【產品性能指標】 請依據研究資料詳述各性能指標,應注意以下方面:
7.1最低檢出限:說明試劑的最低檢出濃度或滴度,簡單介紹最低檢出限的確定方法。
7.2 分析特異性
7.2.1交叉反應:對易產生交叉反應的其他病原體的高水平抗體、高濃度ToRCH特異性IgG抗體等的驗證情況。
7.2.2干擾物質:樣本中常見干擾物質對檢測結果的影響,如溶血、脂血、黃疸等干擾因子研究(結果應量化表示,禁用輕度、嚴重等模糊表述),有關高濃度總IgM和總IgG抗體、自身性免疫抗體(抗核抗體、類風濕因子)等的干擾驗證。
7.3抗體滴度變化(適用于半定量和/或定量檢測試劑)和診斷靈敏度:介紹血清轉換盤的來源,將檢測結果以圖或表的形式列出。
8.【注意事項】應至少包括以下內容:有關試劑盒內人源組分(如有)生物安全性的警告。如:試劑盒內對照品(質控品)或其他可能含有人源物質的組分,雖已經通過了乙型肝炎病毒表面抗原(HBs-Ag)、人類免疫缺陷病毒1/2型抗體(HIV1/2-Ab)、丙型肝炎病毒抗體(HCV-Ab)等項目的檢測,但截至目前,沒有任何一項檢測可以確保絕對安全,故仍應將這些組分作為潛在傳染源對待。
(六)質量管理體系文件
申請人應當在申請注冊時提交與產品研制、生產有關的質量管理體系相關資料。詳述產品的生產過程,提供生產工藝流程圖。明確申報產品反應及檢測原理和過程,標明主要控制點與項目及主要原材料、采購件的來源及質量控制方法。
如適用,應當提供擬核查產品與既往已通過核查產品在生產條件、生產工藝等方面的對比說明。
[1] 國家市場監督管理總局.體外診斷試劑注冊與備案管理辦法: 國家市場監督管理總局令第48號[Z].
[2] 國家藥品監督管理局.體外診斷試劑注冊申報資料要求和批準證明文件格式: 國家藥品監督管理局2021年第122號公告[Z].
[3] 國家藥品監督管理局醫療器械技術審評中心.定性檢測體外診斷試劑分析性能評估注冊審查指導原則:國家藥品監督管理局醫療器械技術審評中心2022年第36號通告[Z].
[4] 國家藥品監督管理局.體外診斷試劑臨床試驗技術指導原則:國家藥品監督管理局2021年第72號通告 [Z].
[5]Review Criteria for In Vitro Diagnostic Devices for Detection of IgM Antibodies to Viral Agents, CDRH FDA, USA February 27, 1997[Z].
[6]National Committee for Clinical Laboratory Standards. Specifications for immunological testing for infectious diseases; Approved guideline, LA18-A2, 2001[Z].
[7]王玉蘭,吳建民.臨床免疫學與檢驗(第4版)[M].北京:人民衛生出版社,2007.
[8] 李衛.醫療器械臨床試驗統計方法(第一版)[M].北京:人民軍醫出版社,2012.
[9] 陳敬賢.診斷病原體學(第一版)[M].北京:人民衛生出版社,2008.
[10]馮仁豐.臨床檢驗質量管理技術基礎(第二版)[M].上海:上海科學技術文獻出版社,2007.
[11]Class II Special Controls Guidance Document: Herpes Simplex Virus Types 1 and 2 Serological Assays, CDRH FDA, August 9, 2011[Z].
[12]National Committee for Clinical Laboratory Standards. Clinical use and interpretation of serologic tests for toxoplasma gondii; Approved guideline, M36-A, 2004[Z].
[13]焦奎,張書圣.酶聯免疫分析技術及應用(第一版)[M].北京:化學工業出版社,2004.
[14] 國家藥品監督管理局.免于臨床試驗的體外診斷試劑臨床評價技術指導原則:國家藥品監督管理局2021年第74號通告[Z].
[15]EP17-A2:Evaluation of Detection Capability for Clinical Laboratory Measurement Procedures; Approved Guideline-Second Edition [Z].
[16]EP34:Establishing and Verifying an Extended Measuring Interval Through Specimen Dilution and Spiking [Z].

站點聲明
本網站所提供的信息僅供參考之用,并不代表本網贊同其觀點,也不代表本網對其真實性負責。圖片版權歸原作者所有,如有侵權請聯系我們,我們立刻刪除。如有關于作品內容、版權或其它問題請于作品發表后的30日內與本站聯系,本網將迅速給您回應并做相關處理。
鄭州思途醫療科技有限公司專注于醫療器械產品政策與法規規事務服務,提供產品注冊備案申報代理、臨床試驗、體系建立輔導、分類界定、申請創新辦理服務。
附件:血液透析用水處理設備注冊審查指導原則(2024年修訂版)(2024年第19號).doc血液透析用水處理設備注冊審查指導原則(2024年修訂版)本指導原則旨在指導注冊申請人對血液透析用水處理設備注冊申報資料的準備及撰寫,同時也為技術審評部門提供參考。本指導原則是對血液透析用水處理設備的一般要求,注冊申請人依據產品的具體特性確定其中內容是否適用。若不適用,要具體闡述理由及相應的科學依據,并依據產
附件:醫療器械監督管理條例(2025年修訂版).doc醫療器械監督管理條例(2000年1月4日中華人民共和國國務院令第276號公布 2014年2月12日國務院第
本指導原則旨在幫助和指導注冊申請人對一次性使用腹部穿刺器注冊申報資料進行準備,以滿足技術審評的基本要求。同時有助于審評機構對該類產品進行科學規范的審評,提高審評工
附件:一次性使用醫用沖洗器產品注冊審查指導原則(2022年第41號).doc一次性使用醫用沖洗器產品注冊審查指導原則本指導原則旨在指導注冊申請人對一次性使用醫用
附件:重組膠原蛋白創面敷料注冊審查指導原則(2023年第16號).doc重組膠原蛋白創面敷料注冊審查指導原則本指導原則旨在指導注冊申請人準備及撰寫重組膠原蛋白創
國家藥監局藥審中心關于發布《抗腫瘤藥物臨床試驗中SUSAR分析與處理技術指導原則》的通告(2024年第42號) 發布日期:20241010
國家藥監局器審中心關于發布影像型超聲診斷設備(第三類)注冊審查指導原則(2023年修訂版)的通告(2024年第29號)發布時間:2024-10-14為進一步規范
國家藥監局關于發布免于臨床試驗的體外診斷試劑臨床評價技術指導原則的通告(2021年第74號)發布時間:2021-09-24為指導體外診斷試劑的臨床評價工作,根據
附件:醫用透明質酸鈉創面敷料注冊審查指導原則(2024年第21號).doc醫用透明質酸鈉創面敷料注冊審查指導原則本指導原則旨在指導注冊申請人準備及撰寫醫用透明質酸鈉創面敷料注冊申報資料,同時也為技術審評部門審查注冊申報資料提供參考。本指導原則是對醫用透明質酸鈉創面敷料產品的一般要求,注冊申請人應依據產品的具體特性確定其中內容是否適用,若不適用,需具體闡述理由及相應的科學依據,并依據產品的具體特性對
為提高醫療器械技術審評的規范性和科學性,指導醫療器械注冊人/備案人編寫產品技術要求,根據《醫療器械監督管理條例》及《醫療器械注冊與備案管理辦法》《體外診斷試劑注冊與
行業資訊
知識分享
八年
醫療器械服務經驗
聯系思途,免費獲得專屬《落地解決方案》及報價
咨詢相關問題或咨詢報價,可以直接與我們聯系
思途CRO——醫療器械注冊臨床第三方平臺
