赫爾辛基宣言(2024版)
2024年10月19日,在第 75 屆世界醫學會全體大會上正式通過了《赫爾辛基宣言》的最新修訂版本;《赫爾辛基宣言》作為人類參與者的醫學研究倫理
來源:醫療器械注冊代辦 發布日期:2024-01-04 閱讀量:次
附件:單純皰疹病毒(HSV)核酸檢測及分型試劑注冊審查指導原則(2024年第2號).doc
本指導原則旨在指導注冊申請人對單純皰疹病毒核酸檢測及分型試劑注冊申報資料的準備及撰寫,同時也為技術審評部門提供參考。
本指導原則是對單純皰疹病毒核酸檢測及分型試劑的一般要求,注冊申請人應依據產品的具體特性確定其中內容是否適用。若不適用,需具體闡述理由及相應的科學依據,并依據產品的具體特性對注冊申報資料的內容進行充實和細化。
本指導原則是供注冊申請人和技術審評人員使用的指導性文件,但不包括審評審批所涉及的行政事項,亦不作為法規強制執行,應在遵循相關法規的前提下使用本指導原則。如果有能夠滿足相關法規要求的其他方法,也可以采用,但是需要提供詳細的研究和驗證資料。
本指導原則是在現行法規和標準體系以及當前認知水平下制定,隨著法規和標準的不斷完善,以及科學技術的不斷發展,相關內容也將適時進行調整。
本指導原則適用于利用基于實時熒光PCR(Real-Time PCR)的核酸檢測技術,以特定的單純皰疹病毒1型(Herpes simplex virus type 1,HSV-1)和/或單純皰疹病毒2型(Herpes simplex virus type 2,HSV-2)基因序列為檢測目標,對來源于人體樣本中的單純皰疹病毒DNA進行體外定性檢測或分型檢測的試劑,臨床主要應用于生殖器皰疹中單純皰疹病毒感染的輔助診斷。如應用于其他部位,應另行設計合理的臨床試驗進行驗證。
臨床用于檢測單純皰疹病毒的檢測試劑,可根據不同的適應證選擇適用的樣本類型,生殖器皰疹的主要樣本類型為生殖器皮膚黏膜皮損標本(如潰瘍面滲液拭子,皰液等)、人泌尿生殖道拭子(如女性的宮頸拭子或陰道拭子、男性的尿道拭子)。當應用于中樞神經系統感染時,可能涉及腦脊液樣本。
對于采用其他方法學(如等溫擴增、測序方法及其他方法等)、或者采用其他樣本類型(如腦脊液等)的HSV核酸檢測或分型試劑,可能部分要求不完全適用或本文所述內容不夠全面,注冊申請人應參照本指導原則,根據產品特性對適用部分進行評價,并補充其他的評價。
本指導原則適用于HSV核酸檢測及分型試劑進行產品注冊和變更注冊的情形。本指導原則針對注冊申報資料中的部分內容進行撰寫,其他未盡事宜應當符合《關于公布體外診斷試劑注冊申報資料要求和批準證明文件格式的公告》等相關法規要求,同時建議參考《定性檢測試劑分析性能評估注冊審查指導原則》等適用的技術文件要求。
(一)監管信息
1.產品名稱及分類編碼
產品名稱應符合《體外診斷試劑注冊與備案管理辦法》及相關法規的要求,如單純皰疹病毒1型(HSV-1)核酸檢測試劑盒(PCR-熒光探針法)、單純皰疹病毒2型(HSV-2)核酸檢測試劑盒(PCR-熒光探針法)等。按照《體外診斷試劑分類規則》,該產品按照第三類體外診斷試劑管理,分類編碼為6840。
2.注冊申請人還需提交產品列表、關聯文件、申報前與監管機構的聯系情況和溝通記錄及符合性聲明等文件。
(二)綜述資料
綜述資料主要包括概述、產品描述、預期用途、申報產品上市歷史及其他需說明的內容。其中,需注意以下內容:
1. 檢驗原理應詳細說明產品所采用的技術原理及檢測流程,明確產品檢測的靶基因及靶序列,需選擇保守性和特異性相對較高的基因和靶序列,同時還應考慮擴增效率。提供引物和探針的設計依據。提供核酸提取(手工和自動提取方式應分別明確)和PCR擴增的時間,提供不同適用機型的檢測通量(如適用)。
2. 預期用途需明確可檢測的型別、靶基因、樣本類型、采樣部位、適用人群、臨床適應證等。
3. 與已上市同類和/或前代產品的比較部分應著重包括方法學、檢驗原理、樣本類型、采樣部位及采樣方式、檢測靶基因、組成成分、內標、質控品、判讀規則、不同HSV分型檢出能力、預期用途、適用人群、分析性能和臨床性能等方面。
(三)非臨床資料
1.產品技術要求及檢驗報告
按照《醫療器械產品技術要求編寫指導原則》的要求編寫產品技術要求,并提交三個不同批次符合產品技術要求的全項目檢驗報告。提交資料應符合《體外診斷試劑注冊申報資料要求及說明》《醫療器械注冊自檢管理規定》等相關文件的要求。
2.分析性能研究
注冊申請人應當在原材料和生產工藝經過選擇和確認、質量管理體系得到有效控制并且保證產品質量穩定的基礎上,采用完整、確定的檢測系統進行分析性能評估。
對于每項分析性能的評價都應包括具體研究目的、研究方法、試驗方案、試驗數據、統計分析等詳細資料。有關分析性能驗證的背景信息也應在申報資料中有所體現,包括試驗地點、采用的試劑名稱、規格和批號,儀器名稱和型號,樣本類型和來源等。分析性能評估的試驗方法可以參考國際或國內有關體外診斷試劑性能評估的指導原則進行。
分析性能評估所用樣本的基本信息均需明確,例如樣本來源、樣本類型、樣本采集和處理方式、稀釋方式、濃度或滴度(定值)確定過程及數據等。研究中采用的HSV-1和/或HSV-2陽性樣本,應采用科學合理的方法確定其型別、陰陽性和濃度水平,提交具體的試驗資料。建議研究樣本濃度溯源到國際標準品。分析性能評估用樣本一般應為真實樣本,不建議采用質粒、假病毒等進行分析性能評估,如涉及稀釋后檢測,應采用與適用樣本類型一致的陰性基質進行稀釋。對于各項性能中采用的樣本,在下述各項性能研究資料中分別提供樣本信息列表。檢出限和包容性研究中所用樣本應相互獨立。
針對適用的不同樣本類型分別進行分析性能研究,應包含常見的采樣部位。
如試劑用于不同適用機型,需要在不同機型上分別進行性能評估。如申報產品包含不同的包裝規格,需要對各包裝規格進行分析或驗證。
建議著重對以下分析性能進行研究。
2.1樣本穩定性
應充分考慮實際使用過程中樣本采集、處理、運輸及保存等各個階段的條件,對不同樣本類型的樣本穩定性分別進行研究。如有不同的樣本采集處理方法(如不同采樣拭子、采樣過程、采集后未經處理的樣本、加入不同裂解液/消化液的樣本等)、不同的樣本保存介質(樣本保存液及保存容器)、不同的樣本運輸和保存條件(如涉及),則需分別完成穩定性研究。一般包括樣本各種實際運輸及保存條件下的保存期限驗證。可冷凍保存的樣本還應對凍融次數進行合理驗證。
如核酸提取液可不立即進行檢測,還需對核酸提取液的保存條件和保存時間進行研究。
2.2適用的樣本類型
結合產品的適用人群、預期用途及HSV分型,列明產品適用的樣本類型、采樣部位、樣本采集方法(包括收集/保存介質)及添加劑,采用合理方法評價其適用性。
如申報產品包含多個樣本類型,如皰液或潰瘍面滲液拭子、男性尿道拭子、女性宮頸或陰道拭子作為不同的樣本類型需分別進行分析性能研究。研究樣本應包含常見的采樣部位(如外生殖器或肛直腸皮膚粘膜、女性陰道、宮頸、男性尿道等)。如產品適用于其他樣本類型,應對其他所有樣本類型進行全性能評估。
如采用不同樣本采集器、不同樣本保存液/稀釋液 、不同處理方法等,需分別進行分析性能研究。
對于難獲得的樣本類型,如皰液,可部分采用與臨床陰性基質具有一致性的人工制備陰性基質進行最低檢測限的確定,注冊申請人需充分考慮基質效應的影響,保證人工制備樣本與預期適用樣本的檢測結果無顯著偏差,并提交研究資料。
2.3企業參考品驗證
根據主要原材料研究資料中的企業參考品設置情況,采用至少三批產品對企業參考品進行檢驗并提供詳細的試驗數據。
2.4準確度
可采用申報試劑與已明確型別和濃度樣本或與已上市產品同時檢測臨床樣本比較檢測結果之間的一致性程度。研究應納入一定數量的陰性和陽性樣本,并注意包含一定數量的陽性判斷值附近的樣本和混合感染樣本。
不同的樣本類型應分別進行準確度評價。
2.5精密度
注冊申請人根據試劑盒檢測范圍選擇相應的HSV型別進行精密度驗證。對于HSV-1和HSV-2通用及分型檢測的試劑,注冊申請人需針對HSV-1和HSV-2檢測靶標分別進行精密度評價,檢測樣本均需包含HSV-1和HSV-2的不同水平,對于分型試劑,每個樣本需分別提供HSV-1和HSV-2的分析結果。
注冊申請人應對精密度指標的評價標準做出合理要求,如相應型別的陰陽性符合率,Ct值標準差或變異系數的范圍等。應對可能影響檢測精密度的主要變量設計合理的試驗方案進行精密度評價,包括運行、時間、操作者、儀器、試劑批次和地點等影響精密度的條件等。注冊申請人應對檢測數據進行統計分析,獲得重復性、實驗室內精密度、實驗室間精密度、批間精密度等結果。
精密度評價試驗應包含核酸提取步驟。應設定合理的精密度評價周期,例如為期至少20天的檢測。可采用可溯源的病毒株、臨床分離培養物、臨床樣本進行試驗,至少采用3個濃度水平。具體要求如下:
陰性樣本:待測物濃度低于最低檢測限,陰性檢出率應為100%(n≥20)。
檢出限樣本:待測物濃度為檢出限濃度,陽性檢出率應大于95%(n≥20)。
中/強陽性樣本:待測物濃度呈中度到強陽性,陽性檢出率為100%,且Ct值的CV≤5%(n≥20)。
2.6檢出限
注冊申請人根據試劑盒檢測范圍選擇相應的HSV型別進行檢出限驗證。對于HSV-1和HSV-2通用及分型檢測的試劑,應分別針對HSV-1和HSV-2進行最低檢出限的確定和驗證。使用已明確HSV分型和濃度/滴度的多例病毒株/臨床分離培養物,采用與適用樣本類型及樣本保存液一致的陰性基質進行系列稀釋,進行最低檢測限的建立和驗證。應提供上述病毒株或臨床分離培養物的來源、制備方法、型別確認及量值確認等試驗信息。
2.6.1檢出限確定
每個型別選取至少3種不同病毒株/臨床分離培養物,分別進行系列稀釋獲得多個濃度梯度,每個濃度梯度重復檢測不少于3次,記錄每個濃度梯度的定性檢測結果以及Ct值,以100%可檢出的最低濃度水平作為預設檢測限。在此濃度附近制備若干濃度梯度樣品,每個濃度至少重復檢測20次,將具有95%陽性檢出率的最低濃度作為最低檢測限。也可采用適當的模型(如Probit分析)和分析方法將具有95%陽性檢出率的最低濃度水平作為確定的檢出限。
2.6.2檢出限驗證
分別選擇與2.6.1不同來源的HSV-1和HSV-2樣本,至少各3例在檢出限濃度水平進行驗證,采用臨床陰性基質稀釋到最低檢測限濃度水平重復20次檢測,陽性檢出率應不低于95%。
注冊申請人應能夠提供用于最低檢出限驗證的病毒株的來源、濃度及型別確認試驗等信息。應對不同樣本類型及不同樣本保存液(如涉及)分別評價最低檢出限。
2.7包容性
2.7.1采用生物信息學方法對產品檢測的包容性進行分析,應覆蓋已公布的單純皰疹病毒核酸序列。
2.7.2根據試劑盒檢測范圍選擇具有時間和區域特征性的不同來源的HSV-1和/或HSV-2陽性臨床樣本或分型及濃度明確的HSV-1及HSV-2病毒株各不少于5例進行包容性研究。研究內容應包括重復性、檢出限等。注冊申請人應能夠提供用于包容性驗證的樣本來源、樣本類型、型別及確認方法、濃度或滴度及其確定方法、試驗數據等詳細信息。對于檢出限濃度附近樣本未能檢出的樣本,應逐步提高濃度進行分析以確定其最低檢出限。包容性驗證所用臨床樣本或病毒株與最低檢測限研究的樣本不能重復使用。
2.8分析特異性
2.8.1交叉反應
注冊申請人首先應針對被檢測靶序列與人基因組及可能存在于生殖器皮膚粘膜、人類泌尿、生殖道的微生物基因組進行基因序列比對,并提交比對結果,如有同源性序列則應進行交叉反應驗證。
建議使用相應病原體陽性的臨床樣本或添加了病原體培養物的陰性臨床樣本進行交叉反應研究。樣本基質應與預期檢測樣本類型一致,應對每種適用的樣本類型進行交叉反應研究。
交叉反應驗證主要考慮下述的可能性:人基因組DNA、采樣部位可能存在的定植菌、可經性傳播的其他病原體、易引起相同或相似臨床癥狀的其他病原體、核酸序列具有同源性的病原體及需要驗證的其他常見病原體等,以及臨床需進行鑒別診斷的其他情形。
需驗證多例高濃度人類基因組DNA和適用樣本類型可能存在的相關微生物的交叉反應。建議對以下微生物進行交叉反應研究(“*”表示必做項目, “/”表示選擇其中一種,括號中“、”表示相應型別均需要驗證):
病毒類:常見高危型人乳頭瘤病毒(16、18、52、58)*、單純皰疹病毒1型*、單純皰疹病毒2型*、水痘-帶狀皰疹病毒*、EB病毒*、巨細胞病毒*、傳染性軟疣病毒*、人類免疫缺陷病毒*、腸道病毒(70、71)*、腺病毒(3、7型)*、人皰疹病毒6型、人類皰疹病毒7型、人類皰疹病毒8型*、柯薩奇病毒、腮腺炎病毒、風疹病毒、人雙埃可病毒。
細菌類:淋病奈瑟菌*、B群鏈球菌*、杜克雷嗜血桿菌*、肉芽腫莢膜桿菌*、陰道加德納菌*、厭氧菌*(消化球菌屬/消化鏈球菌屬)、卷曲乳桿菌/惰性乳桿菌/克氏動彎桿菌/陰道陌生菌/普雷沃菌屬/纖毛菌屬*、大腸埃希菌*、干酪乳桿菌*、嗜酸乳桿菌*、表皮葡萄球菌/腐生葡萄球菌*、糞腸球菌*、屎腸球菌*、金黃色葡萄球菌*、陰道棒狀桿菌、短小棒狀桿菌、鮑曼不動桿菌、恥垢分枝桿菌、脆弱類桿菌、陰溝腸桿菌、甲型鏈球菌。
真菌類:白色念珠菌*、光滑念珠菌*。
其他:人型支原體*、生殖支原體*、解脲脲原體*、沙眼衣原體沙眼生物變種*、沙眼衣原體性病淋巴肉芽腫變種*、梅毒螺旋體蒼白亞種*、陰道毛滴蟲*、剛地弓形蟲。
建議在病毒和細菌感染的醫學相關水平進行交叉反應的驗證,通常細菌感染的水平為106 CFU/mL或更高,病毒為105 PFU/mL或更高,也可采用其他合理方法定值的濃度,例如核酸濃度107 copies/mL。
注冊申請人應提供所有用于交叉反應驗證微生物的來源、組成、種屬/型別和濃度確認等試驗資料。
2.8.2微生物干擾
注冊申請人應充分考慮臨床上容易與HSV1或HSV2合并感染的病原體,在高濃度的情況下對低濃度(例如檢出限濃度)HSV1或HSV2核酸檢測的影響。(如HSV-1/2對HSV-2/1的干擾,HIV、HPV對HSV-1和/或HSV-2的干擾及其他可能共感染的病原體對HSV的干擾)。建議注冊申請人結合申報試劑的反應模式,采用可能混合感染的高濃度病原體對最低檢測限濃度附近的HSV-1或HSV-2分別進行微生物干擾研究。
2.8.3競爭性干擾
競爭性干擾研究的病原體組合建議為同一反應體系內病原體、常見重癥感染病原體及常見混合感染病原體。對于HSV1和HSV2的多重核酸檢測,注冊申請人應驗證HSV-1及HSV-2相互之間的競爭性干擾。
2.8.4其他干擾試驗
應針對不同樣本類型,分別評價可能存在的干擾情況。建議采用單純皰疹病毒臨界陽性樣本和陰性樣本,在每種干擾物質的潛在最大濃度(“最差條件”)條件下進行干擾試驗。HSV-1和HSV-2需分別進行干擾性研究。提供干擾性研究的試驗方案、分析方法、無干擾的接受標準,對結果進行合理的統計分析,對比添加干擾物質前后的Ct值差異。潛在的干擾物質包括內源性、外源性、在樣本采集和處理期間引入的物質及其他已報道的干擾物質。
泌尿生殖道拭子樣本應至少選取全血(或血紅蛋白和白細胞)、人白蛋白、膽紅素、宮頸粘液等進行研究。
常用藥物的干擾:四環素、阿奇霉素、螺旋霉素、羅紅霉素、米諾環素、磺胺嘧啶、氫化可的松、地塞米松、阿昔洛韋、更昔洛韋、抗逆轉錄病毒藥物等抗病毒藥物、陰道常用藥物(如避孕藥物、抗真菌藥物,陰道炎治療相關藥物,激素類藥物)、女性衛生用品、陰道栓劑、陰道潤滑劑、陰道清洗劑以及可引發采樣部位藥疹的常見藥物。
其他樣本類型的干擾性研究應根據適用樣本類型可能含有的干擾物質進行相應研究,需提供干擾物及濃度選擇依據。注冊申請人應對采用的不同核酸提取試劑、樣本采集器(包括采樣拭子、采樣管、樣本保存液等)等樣本采樣處理過程可能引入的對檢測系統的干擾物質進行充分的干擾性研究。
2.9 HSV核酸DNA提取
在進行核酸檢測之前,建議有核酸(DNA)提取/純化步驟。該步驟的目的除最大量分離出目標DNA外,還應有相應的純化作用,盡可能去除PCR抑制物。無論申報產品是否含有DNA分離/純化的組分,注冊申請人都應對配合使用的所有核酸提取試劑進行提取核酸純度、濃度、提取效率的研究,并與質量較好的核酸提取試劑進行平行比對。若產品適用兩種或以上核酸提取試劑,則每一種核酸提取試劑均需配合檢測試劑進行抗干擾、精密度和檢出限的驗證。如果配套核酸提取試劑提取原理存在差異,還需額外進行檢出限的建立研究。
2.10反應體系
2.10.1樣本采集和處理
2.10.1.1詳述樣本采集部位、采集方式、樣本處理方式的選擇,提供相關的研究資料。包括對樣本的收集、制備或處理、運輸(如涉及)和儲存的方式進行驗證,必要時進行選擇和確認并提供相關的研究資料。不同類型的樣本應分別進行研究。
2.10.1.2詳述采樣拭子及樣本保存液的選擇:如對樣本采集拭子的適用性驗證,拭子對樣本的洗脫效率。提供詳細的保存液或裂解液的成分、濃度、使用量的要求及適用性驗證資料等。配套的不同保存液或裂解液需驗證檢出限和重復性。
2.10.2核酸提取和反應體系
研究確定最佳核酸提取和反應體系,包括核酸提取用的樣本體積、洗脫體積和PCR反應加樣體積、各種酶濃度、引物/探針濃度、dNTPs濃度、dUTP濃度(如有)、陽離子濃度及反應各階段溫度、時間、循環數、熒光采集條件及反應體積等。建議在保證核酸提取質量的情況下盡量擴大總反應體系和加樣量,以提高檢測靈敏度。
提交不同適用機型基線和閾值循環數的確定資料。
不同適用機型的反應條件如果有差異應分別詳述,并提交驗證資料。
2.11提交攜帶污染研究資料(如適用)。采用合理的檢測順序對多組高濃度陽性樣本和陰性樣本交替檢測評估攜帶污染。
3.穩定性研究資料
申報試劑的穩定性主要包括實時穩定性、運輸穩定性、開瓶穩定性、機載穩定性(如適用)及凍融次數限制等研究,注冊申請人可根據實際需要選擇合理的穩定性研究方案。穩定性研究資料應包括研究方法的確定依據、具體的實施方案、詳細的研究數據以及結論。對于實時穩定性研究,應提供至少三批樣品在實際儲存條件下保存至成品有效期后的研究資料。對于開瓶穩定性研究應模擬真實使用情形,包括開瓶穩定性的開瓶頻次和開瓶時間等。
4.陽性判斷值研究資料
陽性判斷值確定資料主要指對申報產品用于結果判斷的核酸檢測的Ct值和/或核酸濃度臨界值進行確認的資料。包括確定基線、閾值、閾值循環數(Ct)、核酸濃度(如適用)等的研究資料等。如判定值存在灰區,應提供灰區的確認資料。
陽性判斷值研究樣本來源應為預期人群,并考慮不同性別、年齡、地域、種族等因素,盡可能考慮樣本來源的多樣性、代表性,納入申報產品覆蓋的樣本類型、皮損部位(如適用),盡量納入較多弱陽性的樣本。對HSV-1和HSV-2應分別進行統計分析,對于僅申報檢測一種亞型的試劑,注冊申請人應納入另一種亞型作為陰性樣本進行統計分析。提交陽性判斷值研究所用樣本的背景信息列表,至少包括性別、年齡、樣本類型、皮損部位(如適用)、臨床診斷信息、樣本來源機構、檢測結果等信息。如采用其他研究方法,應說明其合理性。
另外,建議注冊申請人考慮建立陽性判斷值時使用的受試者樣本對于目標人群的代表性,,通過臨床評價進一步驗證和確認陽性判斷值的準確性。
如果產品適用不同樣本類型,應對各樣本類型進行陽性判斷值的驗證。
提供內標檢測結果范圍的確定方法和研究資料。
5.其他資料
5.1主要原材料研究資料
此類產品的主要原材料包括引物、探針、酶、dNTP、核酸分離/純化組分(如有)、企業參考品、對照品、質控品等。應提供主要原材料的來源、選擇、制備方法的研究資料,質量分析證書,主要原材料質量標準的制定和檢驗資料。如主要原材料為企業自制,應提供其詳細的制備、鑒定和質量控制過程,其制備工藝必須相對穩定;如主要原材料源于外購,應提供資料包括:選擇該原材料的依據及對比篩選試驗資料、選定的供應商名稱,供應商提供的質量標準、原材料檢驗報告(質量證書),以及該原材料到貨后的入廠檢驗報告,供應商應為原材料的生產商,不得隨意更換。注冊申請人應對各主要原材料均明確質量控制標準。
5.1.1核酸分離/純化組分(如有)的主要組成、原理介紹及相關的驗證資料。
5.1.2引物和探針
應詳述引物和探針的設計原則,包括對包容性和特異性的考慮情況。提供引物、探針核酸序列、模板核酸序列及兩者的對應情況。建議每種病毒設計兩套或多套引物、探針以供篩選,針對所有預期適用的基因型別進行檢出能力和特異性(如交叉反應)的評價,選擇最佳組合,并提交篩選的研究數據。引物、探針的質量標準應至少包括序列準確性、純度、濃度、探針標記的熒光素及功能性試驗等。注冊申請人應提供驗證資料或合成機構出具的質檢證明,如PAGE電泳結果或高效液相色譜法(HPLC)分析圖譜等。
5.1.3脫氧三磷酸核苷(dNTPs)
包括:dATP、dUTP、dGTP、dCTP和dTTP,應提交對其純度、濃度、保存穩定性等的驗證資料。
5.1.4酶
需要的酶主要包括DNA聚合酶、尿嘧啶DNA糖基化酶(如有)等,應分別對酶活性、功能性等進行評價和驗證。
DNA聚合酶,應具有DNA聚合酶活性,無核酸內切酶活性,具熱穩定性,如:94℃保溫1小時后仍保持50%活性。根據酶的特性明確其外切酶活性。
尿嘧啶DNA糖基化酶(UDG/UNG),具有水解尿嘧啶糖苷鍵的活性,無核酸外切酶及核酸內切酶活性。應對酶活性及熱穩定性進行合理驗證。
5.1.5核酸類檢測試劑的包裝材料和耗材應無脫氧核糖核酸酶(DNase)和核糖核酸酶(RNase)污染。
5.1.6企業參考品:
如適用,應提交企業參考品的原料來源、組成、選擇、制備、毒株特性(如名稱、型別)、陰/陽性及濃度/滴度確認方法或試劑等相關驗證資料(溯源及定值資料等信息)。企業參考品的核酸性質應與產品預期檢測的靶物質一致。企業參考品的基質與臨床樣本收集/保存介質一致。建議采用病毒株、臨床分離培養物、臨床樣本建立參考品,不宜使用質粒、假病毒、基因組提取/純化物等。
企業參考品的項目應包括:陽性參考品、陰性參考品、最低檢測限參考品、精密度參考品等。
陽性參考品的設置應著重考慮檢出能力的驗證,建議采用多個不同病例來源的HSV陽性樣本進行制備,并設置不同滴度水平。無論試劑盒能否進行HSV分型,陽性參考品均應針對所有適用的HSV分型分別設置。
陰性參考品應考慮分析特異性的評價,應納入正常臨床樣本、含干擾因素的樣本、不在試劑盒檢測范圍內的HSV分型樣本、易引發相似癥狀的、易共感染的其他病原體陽性樣品。
最低檢測限參考品:注冊申請人應明確檢測限參考品中病毒核酸濃度的確定方法,明確檢測限參考品中病毒核酸濃度的確定依據,檢測限參考品中HSV核酸濃度應為申報產品檢測限濃度或略高于檢測限濃度。
精密度參考品應至少包含兩個濃度水平,其中包含弱陽性水平。
5.1.7內對照(內標)、質控品
內對照(內標)設置應合理,陰/陽性質控品宜采用混合臨床樣本或病毒株或假病毒制備。
內標以對管內抑制可能造成的假陰性結果進行質控。注冊申請人應對內標的引物、探針和模板的濃度做精確驗證,保證內標熒光通道呈明顯的陽性曲線,不應對目的基因的檢測造成競爭性抑制而導致假陰性,對內標的Ct應有明確的范圍要求。
陰/陽性質控品應參與樣本核酸的平行提取,以對整個PCR反應過程、試劑/設備、交叉污染等環節進行合理質量控制。注冊申請人應對各種質控品的Ct做出明確的范圍要求。
5.2生產工藝研究資料
介紹產品主要生產工藝,明確關鍵質量控制點,可用流程圖結合文字的方式表述,提交主要生產工藝的確定及優化研究資料。
(四)臨床試驗
臨床試驗的開展、方案的制定以及報告的撰寫等均應符合相關法規及《體外診斷試劑臨床試驗技術指導原則》的要求。下面僅說明該類產品臨床試驗中應關注的重點問題。
1.研究方法
對于已有同類產品上市的試劑的臨床研究,選擇境內已批準上市、臨床普遍認為質量較好的同類產品作為對比試劑,采用試驗體外診斷試劑與之進行對比試驗研究,評價本產品的臨床性能。
2.適用人群
臨床試驗受試者應包括各種可能有單純皰疹病毒感染的人群,具有單純皰疹病毒感染疑似癥狀的患者,如生殖器皰疹、丘皰疹、疼痛性丘疹等。男性和女性受試者應盡量均勻分布。
3.臨床試驗病例數
適當的樣本量是保證試驗體外診斷試劑臨床性能得到準確評價的必要條件。臨床試驗樣本量應滿足統計學要求,可采用適當的統計學方法進行估算。根據相應臨床試驗設計,可選擇陰性符合率/特異度和陽性符合率/靈敏度,分別估算最低陰性樣本例數和陽性樣本例數。
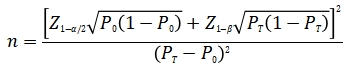
對于泌尿生殖道拭子(如女性宮頸拭子或陰道拭子、男性尿道拭子),如臨床試驗采用試驗體外診斷試劑與已上市同類產品進行比對的試驗設計,可采用單組目標值法樣本量公式估算最低樣本量。

公式中,n為樣本量;Z1-α/2、Z1-β為顯著性水平和把握度的標準正態分布的分位數,P0為評價指標的臨床可接受標準,PT為試驗體外診斷試劑評價指標預期值。
基于現有認知,評價指標的臨床可接受標準(P0)即HSV-1/HSV-2核酸試劑陽性符合率和陰性符合率原則上建議不低于95%。當評價指標P接近100%時,上述樣本量估算方法可能不適用,應考慮選擇更加適宜的方法進行樣本量估算,如精確概率法等。如臨床試驗研究有更合理的樣本量估算方式,在說明其合理性后亦可采用。
樣本量估算過程中需要考慮臨床試驗中病例的脫落剔除率,一般而言,病例脫落剔除率不應高于10%。此外,臨床試驗應納入一定數量的弱陽性樣本。
對于生殖器皰疹皮膚黏膜皮損標本(如潰瘍面滲液拭子,皰液),臨床試驗樣本量應采用適當的統計學方法進行估算,并詳細描述所使用統計方法及各個參數的確定依據。
如申報產品具有多種適用的樣本類型,不同樣本類型之間存在較大差異,例如:分析性能不同、臨床性能不同、適用人群不同、適應證不同、陽性判斷值不同等,則可能需要分別進行臨床試驗設計,包括分別進行樣本量估算和統計學分析。
如申請產品適用于腦炎/腦膜炎等其他相關適應證,應根據產品預期用途,綜合考慮產品風險進行科學的臨床試驗設計。
4.臨床研究單位的選擇
應選擇不少于3家(含3家)臨床試驗機構,按照相關法規、指導原則的要求開展臨床試驗。臨床試驗機構的選擇應盡量考慮試驗體外診斷試劑的特點和預期用途,綜合流行病學背景,受試者的選擇具有一定的地域代表性。且臨床試驗機構應具有分子生物學方法檢測的優勢,試驗操作人員應有足夠的時間熟悉檢測系統的各環節,熟悉評價方案。
5.臨床試驗數據統計分析
應選擇合適的統計方法對臨床試驗結果進行統計分析,對于試驗體外診斷試劑與對比試劑/方法的一致性評價,一般選擇2×2表的形式總結兩種試劑/方法的檢測結果,并據此計算陽性符合率/靈敏度、陰性符合率/特異度、總符合率、Kappa值等指標及其置信區間。
對于不一致樣本,應進行原因分析。如臨床試驗方案規定采用其他方法進行確認,則確認結果不應納入統計分析。
6.倫理學要求
臨床試驗必須符合赫爾辛基宣言的倫理學準則,必須獲得臨床試驗機構倫理委員會的同意。研究者應充分考慮臨床試驗用樣本的獲得和試驗結果對受試者的風險性,應提交倫理委員會的審查意見。
7.質量控制
臨床試驗開始前,建議進行臨床試驗的培訓,以熟悉并掌握相關試驗方法的操作、儀器、技術性能等,最大限度控制試驗誤差。整個試驗過程都應處于有效的質量控制下,最大限度保證試驗數據的準確性及可重復性。
8.臨床試驗方案
體外診斷試劑臨床試驗應按照同一臨床試驗方案在多家臨床試驗機構開展,且保證在整個臨床試驗過程中遵循預定的方案,不可隨意改動。整個試驗過程應在臨床試驗機構的實驗室內并由該實驗室的技術人員操作完成,申報單位的技術人員除進行必要的技術指導外,不得隨意干涉實驗進程。
試驗方案應確定嚴格的入選/排除標準,任何已入選的樣本被排除出臨床試驗都應記錄在案并明確說明原因。在試驗操作過程和結果判定時,應采用盲法以保證試驗結果的客觀性。各臨床試驗機構選用的對比試劑/方法應保持一致,以便進行合理的統計學分析。另外,應考慮試驗體外診斷試劑樣本類型與對比試劑/方法樣本類型的可比性;如有差異,需提供充分的驗證。
9.臨床試驗報告
應對試驗的整體設計及各個關鍵點給予清晰、完整的闡述,應該對整個臨床試驗實施過程、結果分析、結論等進行條理分明的描述,并應包括必要的數據和統計分析方法。
(五)產品說明書和標簽樣稿
產品說明書格式應符合《體外診斷試劑說明書編寫指導原則》的要求。產品說明書中技術內容均應與注冊申報資料中的相關研究結果保持一致,如某些內容引用自參考文獻,應以規范格式進行標注,并單獨列明文獻的相關信息。
HSV病毒核酸檢測及分型試劑說明書編寫應重點關注以下內容。
1.【預期用途】
1.1試劑盒用于體外定性檢測XX樣本中的HSV-1和HSV-2 核酸(DNA),如可分型則需明確。適用樣本類型應依據申報產品的分析性能評估和臨床研究情況進行確認。
1.2產品功能:結合目標人群的臨床表現和其他診斷指標,可用于生殖器皰疹中單純皰疹病毒感染的輔助診斷。
1.3 臨床背景信息:簡要描述病原體生物學特征及致病性,流行病學特征、感染后臨床表現及相關疾病等。簡要介紹HSV相關的臨床或實驗室診斷方法。
2.【檢驗原理】
簡述核酸提取純化及試劑盒檢測原理,明確產品能夠檢測的目標基因信息及序列特征,明確內標基因名稱及其作用,明確引物探針設計及探針標記熒光信息如采用了防污染措施,進行簡要描述。
3.【主要組成成分】
明確試劑盒中各組分及具體成分,明確需要但未提供的材料,如核酸提取試劑、樣本采集管、拭子、病毒保存液及其他配套使用的材料的產品名稱、生產廠家、貨號及注冊證號或備案號等信息。
4.【樣本要求】
4.1樣本采集要求:包括樣本采集時間點的選擇,是否受臨床癥狀、用藥情況等因素的影響等;
4.2樣本采集方法:針對不同的樣本類型分別詳細描述樣本采集方法和設備要求,包括采樣步驟、對采樣拭子、樣本保存容器和保存液的要求、樣本保存液體積、離心要求等。建議明確經驗證的配套使用的樣本保存容器、采樣拭子和保存液的信息。如有臨床公認推薦的采樣要求,應遵循,并引用相應的技術規范或指南。
4.3樣本處理、運送及保存:根據研究資料,明確對樣本核酸提取前的預處理、運送條件、保存條件及期限等信息。根據適用的情形,針對采樣后放入保存液前的干燥拭子、加入樣本保存液后核酸提取前、核酸提取后樣本等不同階段的處理方式、保存穩定性及運送條件等。如聲稱樣本可冷凍,需明確凍融次數。
5.【檢驗方法】
詳細說明試驗操作的各個步驟。
明確核酸提取用的樣本體積、洗脫體積和PCR加樣體積,陰陽性質控品與待測樣本同步進行核酸提取操作。明確各適用機型的反應參數設置,基線、循環閾值(Ct值)的選擇方法,以及各檢測靶標對應的熒光通道。明確內標、質控的檢測結果Ct值范圍。
6.【檢驗結果的解釋】
結合陽性對照、陰性對照、內對照(內標)以及目標基因的檢測結果,通過擴增曲線和Ct值進行陰陽性的判斷,詳述所有可能出現的結果組合及相應的解釋Ct。如存在灰區,應同時說明對灰區的處理方式,包括在何種情況下需要進行重復檢測,重復檢測的方法,對樣本可能采取的優化條件(如采集要求或采集方法)等。
7.【檢驗方法局限性】
7.1本檢測結果僅供臨床參考,如需確診病例請結合臨床癥狀及其他檢測手段。
本試劑盒的檢測結果應結合患者的癥狀/體征、病史、其他實驗室診斷結果等情況進行綜合分析以及解釋,不得作為患者臨床診治或管理的唯一依據。
7.2 HSV DNA檢測陰性不能排除HSV感染。
7.3導致假陰性/假陽性結果的可能性分析:
7.3.1不合理的樣本采集、處理、運輸及保存條件,樣本中目標物滴度過低。
7.3.2 HSV病毒核酸目標基因序列的變異或其他原因導致的序列改變。
7.3.3同一患者不同時間、不同部位或者多次采集樣本會降低假陰性結果的可能性。
7.3.4未經驗證的其他干擾,如內源性或外源引入樣本的物質。
7.3.5樣本間的交叉污染。
7.3.6未經驗證的其他交叉反應物質。
8.【產品性能指標】詳述以下性能指標:
描述產品性能,包括以下內容:
8.1 國家標準品(如有)和企業參考品的符合率。
8.2 檢出限:說明不同類型樣本的最低檢測限,簡要介紹最低檢出限的確定方法以及驗證最低檢出限所采用的菌株分型。如HSV-1和HSV-2最低檢測限不同,應分別列出。
8.3精密度:說明不同類型樣本的重復性和重現性評價結果。
8.4分析特異性:包括交叉反應和干擾物質。
8.4.1可能產生交叉反應的其他病原體的驗證情況,建議以列表的方式描述病原體名稱、型別、濃度等信息。
8.4.2樣本中常見干擾物質對檢測結果的影響,應注明可接受的最高限值。
8.5臨床試驗:簡要介紹試驗方法、受試者及樣本、試驗結果和結論等。
9.【注意事項】應至少包括以下內容:
9.1如產品含有人源或動物源性物質,應提供具有潛在傳染性的警示性信息。
9.2臨床實驗室應嚴格遵守《醫療機構臨床基因擴增檢驗實驗室管理辦法》等臨床基因擴增實驗室的管理規范。核酸擴增實驗應由經過專業培訓的實驗室人員嚴格按照說明書要求進行。
9.3強調產品性能僅針對聲稱的適用樣本類型及【樣本要求】項下說明的樣本采集和處理方法(包括采樣拭子、樣本采集液等)進行了驗證,其他樣本類型或樣本采集、處理方法不能保證產品性能。
[1]國家市場監督管理總局.體外診斷試劑注冊與備案管理辦法: 國家市場監督管理總局令第48號[Z].
[2]國家藥品監督管理局.關于公布體外診斷試劑注冊申報資料要求和批準證明文件格式的公告:國家藥品監督管理局2021年第122號[Z].
[3] 國家藥監局 國家衛生健康委. 醫療器械臨床試驗質量管理規范: 國家藥監局 國家衛生健康委2022年第28號[Z].
[4]國家藥品監督管理局.關于發布《醫療器械注冊自檢管理規定》的公告:國家藥品監督管理局2021年第126號[Z].
[5]國家藥品監督管理局. 體外診斷試劑分類規則:國家藥品監督管理局2021年第129號[Z].
[6]國家食品藥品監督管理總局.體外診斷試劑說明書編寫指導原則.國家食品藥品監督管理總局公告2014年第17號[Z].
[7]國家藥品監督管理局.體外診斷試劑臨床試驗技術指導原則:國家藥品監督管理局2021年第72號[Z].
[8]國家藥品監督管理局.醫療器械產品技術要求編寫指導原則:國家藥品監督管理局2022年第8號[Z].
[9]國家藥品監督管理局醫療器械技術審評中心.定性檢測體外診斷試劑分析性能評估注冊審查指導原則:國家藥品監督管理局醫療器械技術審評中心2022年第36號[Z].
[10]WS/T 236-2017,生殖器皰疹診斷[S].
[11]李金明,《實時熒光PCR技術》,第2版,科學出版社,2016[M].
[12]WHO. Laboratory diagnosis of sexually transmitted infections, including human immunodeficiency virus.2013 [Z].
[13]WHO. Guidelines for the treatment of Genital Herpes Simplex Virus. 2021[Z].
[14]WHO. Guidelines for The Management of Symptomatic Sexually Transmitted Infections, 2021 [Z].
[15]CDC. Sexually Transmitted Infections Treatment Guidelines, 2021 [Z].

站點聲明
本網站所提供的信息僅供參考之用,并不代表本網贊同其觀點,也不代表本網對其真實性負責。圖片版權歸原作者所有,如有侵權請聯系我們,我們立刻刪除。如有關于作品內容、版權或其它問題請于作品發表后的30日內與本站聯系,本網將迅速給您回應并做相關處理。
鄭州思途醫療科技有限公司專注于醫療器械產品政策與法規規事務服務,提供產品注冊備案申報代理、臨床試驗、體系建立輔導、分類界定、申請創新辦理服務。
2024年10月19日,在第 75 屆世界醫學會全體大會上正式通過了《赫爾辛基宣言》的最新修訂版本;《赫爾辛基宣言》作為人類參與者的醫學研究倫理
附件:血液透析用水處理設備注冊審查指導原則(2024年修訂版)(2024年第19號).doc血液透析用水處理設備注冊審查指導原則(2024年修訂版)本指導原則旨在指導注冊申請人對血液透析用水處理設備注冊申報資料的準備及撰寫,同時也為技術審評部門提供參考。本指導原則是對血液透析用水處理設備的一般要求,注冊申請人依據產品的具體特性確定其中內容是否適用。若不適用,要具體闡述理由及相應的科學依據,并依據產
本指導原則旨在幫助和指導注冊申請人對一次性使用腹部穿刺器注冊申報資料進行準備,以滿足技術審評的基本要求。同時有助于審評機構對該類產品進行科學規范的審評,提高審評工
附件:重組膠原蛋白創面敷料注冊審查指導原則(2023年第16號).doc重組膠原蛋白創面敷料注冊審查指導原則本指導原則旨在指導注冊申請人準備及撰寫重組膠原蛋白創
國家藥監局關于發布免于臨床試驗的體外診斷試劑臨床評價技術指導原則的通告(2021年第74號)發布時間:2021-09-24為指導體外診斷試劑的臨床評價工作,根據
國家藥監局藥審中心關于發布《抗腫瘤藥物臨床試驗中SUSAR分析與處理技術指導原則》的通告(2024年第42號) 發布日期:20241010
國家藥監局器審中心關于發布影像型超聲診斷設備(第三類)注冊審查指導原則(2023年修訂版)的通告(2024年第29號)發布時間:2024-10-14為進一步規范
附件:一次性使用醫用沖洗器產品注冊審查指導原則(2022年第41號).doc一次性使用醫用沖洗器產品注冊審查指導原則本指導原則旨在指導注冊申請人對一次性使用醫用
附件:醫用透明質酸鈉創面敷料注冊審查指導原則(2024年第21號).doc醫用透明質酸鈉創面敷料注冊審查指導原則本指導原則旨在指導注冊申請人準備及撰寫醫用透明質酸鈉創面敷料注冊申報資料,同時也為技術審評部門審查注冊申報資料提供參考。本指導原則是對醫用透明質酸鈉創面敷料產品的一般要求,注冊申請人應依據產品的具體特性確定其中內容是否適用,若不適用,需具體闡述理由及相應的科學依據,并依據產品的具體特性對
為提高醫療器械技術審評的規范性和科學性,指導醫療器械注冊人/備案人編寫產品技術要求,根據《醫療器械監督管理條例》及《醫療器械注冊與備案管理辦法》《體外診斷試劑注冊與
行業資訊
知識分享
八年
醫療器械服務經驗
聯系思途,免費獲得專屬《落地解決方案》及報價
咨詢相關問題或咨詢報價,可以直接與我們聯系
思途CRO——醫療器械注冊臨床第三方平臺
