長江三角洲區域醫療器械注冊人制度試點工作實施方案(試行)(滬藥監械管〔2019〕112號)
為深入貫徹落實中共中央辦公廳、國務院辦公廳印發的《關于深化審評審批制度改革鼓勵藥品醫療器械創新的意見》(廳字〔2017〕42號),按照國家藥品監督管理局《關于擴大醫療器械
來源:醫療器械注冊代辦 發布日期:2016-03-04 閱讀量:次
附件:C反應蛋白測定試劑盒注冊技術審查指導原則(2016年修訂版)(2016年第28號).doc
本指導原則旨在指導注冊申請人對C反應蛋白測定試劑盒,包括常規C反應蛋白定量檢測試劑盒/超敏(高敏)C反應蛋白定量檢測試劑盒/全量程C反應蛋白定量檢測試劑盒注冊申報資料的準備及撰寫,同時也為技術審評部門審評注冊申報資料提供參考。
本指導原則是對C反應蛋白測定試劑盒的一般要求,申請人應依據產品的具體特性確定其中內容是否適用,若不適用,需具體闡述理由及相應的科學依據,并依據產品的具體特性對注冊申報資料的內容進行充實和細化。
本指導原則是供申請人和審查人員使用的指導文件,不涉及注冊審批等行政事項,亦不作為法規強制執行,如有能夠滿足法規要求的其他方法,也可以采用,但應提供詳細的研究資料和驗證資料。應在遵循相關法規的前提下使用本指導原則。
本指導原則是在現行法規、標準體系及當前認知水平下制定的,隨著法規、標準體系的不斷完善和科學技術的不斷發展,本指導原則相關內容也將適時進行調整。
本指導原則適用于基于分光光度法原理,利用手工和半自動、全自動生化分析儀,在醫學實驗室進行對人血清或血漿中的C-反應蛋白進行定量檢測所使用的臨床化學體外診斷試劑(盒)。
本指導原則不適用于:
1.對C反應蛋白校準品和質控品的評價。
2.各類膠體金標記試紙。
(一)綜述資料
C-反應蛋白(C-reactive protein,CRP)由肝細胞合成,在胎兒期產生,非母體胎盤傳遞。其產生機理是:當機體受感染或組織受損傷時巨噬細胞和其他白細胞等被激活,產生白細胞介素-6(IL-6)、白細胞介素-1(IL-1)、腫瘤壞死因子TNF-a等細胞因子及其他介導物,這些細胞因子和介導物到達肝臟,刺激肝細胞和上皮細胞合成CRP。在結構上,CRP含5個多肽鏈亞單位,非共價地結合為盤形多聚體,分子量為11.5萬—14萬,CRP是一種典型的急性時相蛋白。全程C反應蛋白包括常規C反應蛋白(常規CRP)和超敏C反應蛋白(超敏CRP)。一次性檢測常規CRP和超敏CRP,這種方法被稱為全程C反應蛋白檢測。常規CRP和超敏CRP在化學本質上無區別,是同一種物質,只是檢測方法的定量下限不同。
常規CRP測定包括定性、半定量和定量分析,可用于評價感染,組織損傷和炎癥性疾病。對于常規的CRP測定,參考值通常被認為是臨床上含量高于10毫克/升。在健康人群血液中CRP水平低于5毫克/升,而在各種條件下,急性炎癥4—8小時內,CRP值達到約20至500毫克/升。常規CRP作為急性炎癥評估指標比紅細胞沉降率(ESR)和白細胞計數更敏感、更可靠。
超敏C反應蛋白線性范圍低端低于常規CRP,這種較低的范圍可擴大使用適應癥,C反應蛋白是非特異性的,必須結合臨床癥狀綜合評估,不能作為特定的疾病或疾病的風險的確診依據。

超敏C反應蛋白常見的用途可作為心血管疾病風險識別的輔助手段。配合傳統的急性冠脈綜合征臨床診斷使用,可作為冠狀動脈疾病或急性冠脈綜合征復發的預警指示物。

綜述資料主要包括CRP的代謝、產品預期用途、產品描述、參考品的詳細溯源性、有關生物安全性的說明、研究結果的總結評價以及同類產品上市情況介紹等內容,其中同類產品上市情況介紹部分應著重從方法學、臨床應用情況、性能指標等方面寫明擬申報產品與目前市場上已獲批準的同類產品之間的異同。應符合《體外診斷試劑注冊管理辦法》(國家食品藥品監督管理總局令第5號)和《關于公布體外診斷試劑注冊申報資料要求和批準證明文件格式的公告》(國家食品藥品監督管理總局公告2014年第44號)的相關要求。
人源性材料須對有關傳染病(HIV、HBV、HCV、梅毒等)病原體檢測予以說明,并提供相關的證明文件。其他動物源及微生物來源的材料,應當提供相應的說明文件,證明其在產品運輸、使用過程中對使用者和環境是安全的,并對上述原材料所采用的滅活等試驗方法予以說明。
(二)主要原材料研究資料(如需提供)
1.試劑盒所用抗體的制備、篩選、純化以及鑒定等詳細試驗資料。如抗體為申請人自制,則應詳述抗體的名稱及生物學來源,申請人對該抗體技術指標的要求(如外觀、純度、蛋白濃度、效價等),確定該抗體作為主要原材料的依據;如抗體為申請人外購,則應詳述抗體的名稱及生物學來源,外購方名稱,提交外購方出具的抗體性能指標及檢驗證書,詳述申請人對該抗體技術指標的要求以及申請人確定該抗體作為主要原材料的依據。
2.其他主要原輔料的選擇及驗證資料,如包被板、反應緩沖液等,申請人應詳述每一原輔料技術指標的要求以及確定該原輔料作為主要原輔料的依據。若為外購,應詳述每一原輔料的外購方名稱并提交外購方出具的每一原輔料性能指標及檢驗證書。
3.企業內部參考品的原料選擇、制備、定值過程及試驗資料。
4.添加上述原材料、輔料的詳細信息請以附錄的形式呈現。
(三)主要生產工藝及反應體系的研究資料(如需提供)
1.主要生產工藝介紹,可以流程圖方式表示,并簡要說明主要生產工藝的確定依據。
2.產品反應原理介紹。
3.抗體包被/致敏工藝研究:申請人應考慮如包被液量、濃度、時間、溫度等指標對產品性能的影響,通過試驗確定上述指標的最佳組合。
4.實驗體系反應條件確定:申請人因考慮反應時間、反應溫度、pH值等條件對產品性能的影響,通過試驗確定上述條件的最佳組合。
5.體系中樣品加樣方式及加樣量確定:申請人應考慮樣品加樣方式、加樣量對產品檢測結果的影響,通過實驗確定最佳的加樣方式及加樣量。如樣本需采取稀釋或其他必要的方法進行處理后方可用于最終檢測,申請人還應對可用于樣本稀釋的物質或處理方法進行研究,通過試驗確定最終選擇的用于樣本稀釋的物質或處理方法。確定反應所需其他物質用量(標準品、酶標物、底物等)的研究資料。固相載體、顯色(發光)系統、酶作用底物等的介紹。
6.不同適用機型的反應條件如果有差異應分別詳述。
(四)分析性能評估資料
企業應提交原廠在產品研制階段對試劑盒進行的所有性能驗證的研究資料,包括具體研究方法、實驗數據、質控標準、統計分析等詳細資料。對于C反應蛋白定量檢測試劑盒建議多批產品對以下分析性能進行研究:分析靈敏度、準確度、特異性、線性范圍、精密度(批間、批內)等指標,具體研究方法建議參考相關指導原則。
對于適用多個機型的產品,應提供如產品說明書【適用機型】項中所列的所有型號儀器的性能評估資料。
1.試劑空白吸光度
適用時,用純化水作為樣本重復測定2次,計算試劑空白吸光度(A),測定結果均值應符合產品技術要求性能指標的要求。
2.分析靈敏度
測定一份濃度接近40 mg/L的樣品,重復測定2次,計算該樣本產生的吸光度改變與空白吸光度改變的差值(△A),取2次結果的均值,等比換算出濃度為40mg/L的CRP所產生的吸光度差值(△A),結果應符合產品技術要求性能指標的要求。
測定一份濃度接近5 mg/L的樣品,重復測定2次,計算該樣本產生的吸光度改變與空白吸光度改變的差值(△A),取2次結果的均值,等比換算出濃度為5mg/L的CRP所產生的吸光度差值(△A),結果應符合產品技術要求性能指標的要求。
3.檢出限
生產企業應提供CRP試劑盒的空白限、檢出限及參考區間等相關信息。根據生產企業提供信息,對5份濃度近似最低檢出限(LOD)的低值樣本進行檢測,每份樣本檢測5次,對檢測結果按照大小進行排序,符合如下條件,即可認為生產企業提供的空白限和檢出限的設置基本合理,結果符合產品技術要求性能指標的要求。
(1)低于生產企業提供的空白限數值的檢測結果的數量應小于等于3個;
(2)適用時,無高于生產企業提供的參考區間下限的檢測結果。
4.準確度
(1)總則
可采用相對偏差、企業參考品測試和比對試驗之一測試試劑(盒)的準確度,應符合產品技術要求性能指標的要求; 如適用,優先采用相對偏差的方法。
(2)相對偏差
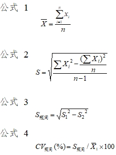
根據生產企業提供的試劑盒線性區間,將能用于評價常規方法的參考物質作為樣本,合理設置2—3個濃度,將其作為樣本按照待測試劑盒說明書的步驟進行檢測,每個樣品重復測定3次,測試結果記為(Xi),按公式(1)分別計算相對偏差(Bi),如果3次結果都符合產品技術要求性能指標的要求,即判為合格。如果大于等于2次的結果不符合,即判為不合格。如果有1次結果不符合要求,則應重新連續測試20次,并分別按照公式(1)計算相對偏差,如果大于等于19次測試的結果符合產品技術要求性能指標的要求,即判為合格,準確度符合產品技術要求性能指標的要求。
Bi=(Xi-T)/T×100% (1)
式中:
Bi—相對偏差;
Xi—測量濃度;
T—標定濃度。
(3)企業參考品測試
由生產企業提供企業參考品,按照常規樣本進行檢測,每份樣本測定3次,測試結果記為(Xi),按公式(1)分別計算相對偏差(Bi),結果應符合產品技術要求性能指標的要求。
5.線性
將接近線性區間上限的高值樣本按一定比例稀釋為至少5個濃度,其中低值濃度的樣本須接近線性區間的下限。對每一濃度的樣本至少重復測定2次,計算其平均值,將測定濃度的平均值與理論濃度或稀釋比例用最小二乘法進行直線擬合,得到線性回歸方程,并計算線性相關系數r及絕對偏差或相對偏差,結果應符合產品技術要求性能指標的要求。
6.重復性
用同一批號試劑盒,對2—3個不同濃度的樣品分別重復測定10次,計算10次測定結果的平均值(M)和標準差(SD),根據公式(2)得出變異系數(CV),結果應符合產品技術要求性能指標的要求。
CV=SD/M×100% (2)
式中:
CV—變異系數;
SD—10次測量結果的標準差;
M—10次測量結果的平均值。
7.批間差
用三個不同批號試劑盒,對2—3個不同濃度的樣品分別重復測定10次,計算每個濃度樣本每批號10次測量結果的平均值(Xi,i=1、2、3)及每個濃度樣本三個批號30次測量結果的總平均值(XT),根據公式(3)得出批間相對極差(R),結果應符合產品技術要求性能指標的要求。
R=(Xmax-Xmin)/XT×100% (3)
式中:
R—批間相對極差;
Xmax—Xi的最大值,i=1、2、3;
Xmin—Xi的最小值,i=1、2、3;
XT—每個濃度樣本30次測量結果的平均值。
8.分析特異性
(1)交叉反應:易產生交叉反應的其他抗原、抗體及嗜異性抗體等的驗證情況;
(2)干擾物質:樣本中常見干擾物質對檢測結果的影響,如高脂、黃疸、類風濕因子、抗凝劑等干擾因子的研究(結果應量化表示,禁用輕度、嚴重的模糊表述);
(3)藥物影響:常見相關治療藥物對檢測結果的影響。
9.鉤狀(Hook)效應(如有):說明不會產生Hook效應的濃度上限或相關研究,如需稀釋,應注明對稀釋液的要求、最佳或最大稀釋比例。
10.質控品性能要求(如有)
(1)定值質控品測量準確度
應至少給出一種用校準品校準測量程序后測定該定值質控品的試驗方法。
(2)均一性
通常取同批號的一定數量最小包裝單元的校準品、質控品,每包裝單元測試1次,按下面的公式計算測試結果的平均值()和標準差S1;另用上述校準品、質控品中的1個最小包裝單元連續測試相同次數,計算測試結果的平均值()和標準差S2;按下列各公式計算瓶間重復性CV%,所有參數的瓶間重復性結果均應符合要求。最小裝量不夠完成瓶間差檢測的可只進行批內精密度檢測。

當S1<S2時,令CV瓶間=0
式中:
----平均值;
S----標準差;
n----測量次數;
xi----指定參數第i 次測量值。
11.生物安全性(如適用)
校準品、質控品如含人源性成分,用經過國家批檢合格的以下四種體外診斷試劑盒對該試劑盒的校準品、質控分別進行檢測:a)人類免疫缺陷病毒抗體診斷試劑盒;b)丙型肝炎病毒抗體診斷試劑盒;c)乙型肝炎病毒表面抗原診斷試劑盒,HIV抗體、HCV抗體和HBsAg應為陰性;d)梅毒螺旋抗體診斷試劑盒,HIV抗體、HCV抗體、HBsAg和TP抗體應為陰性。
(五)參考區間確定資料
陽性判斷值或參考區間確定所采用的樣本來源、確定方法及詳細的試驗資料。建議參考CLSI/NCCLS C28-A2。
(六)穩定性研究資料
穩定性研究資料主要涉及兩部分內容,申報試劑的穩定性和適用樣本的穩定性研究。前者主要包括實時穩定性(有效期)、運輸穩定性、開瓶穩定性及凍融次數限制等研究,申請人可根據實際需要選擇合理的穩定性研究方案。穩定性研究資料應包括研究方法的確定依據、具體的實施方案、詳細的研究數據以及結論。對于實時、運輸及開瓶穩定性研究,應提供至少三批樣品在實際儲存條件下保存至成品有效期后的研究資料。
試劑穩定性和樣本穩定性兩部分內容的研究結果均應在說明書【儲存條件及有效期】和【樣本要求】兩項中進行詳細說明。
(七)生產及自檢記錄
提供連續三批產品生產及自檢記錄的復印件。
(八)臨床評價資料
1.研究方法
選擇境內已批準上市、臨床普遍認為質量較好的同類產品作為參比試劑,采用擬申報產品(以下稱考核試劑)與之進行對比試驗研究,證明本品與已上市產品等效或優于已上市產品。建議企業盡量選擇方法學相同、線性范圍及精密度等性能接近的同類試劑作為參比試劑。同時應充分了解所選擇產品的技術信息,包括方法學、臨床預期用途、主要性能指標、校準品的溯源情況、推薦的陽性判斷值或參考區間等,以便對試驗結果進行科學的分析。且臨床試驗必須符合赫爾辛基宣言的倫理學準則,必須獲得臨床試驗機構倫理委員會的同意。
2.臨床研究單位的選擇
申請人應當選定不少于2家(含2家)獲得國家食品藥品監督管理總局資質認可的臨床試驗機構,按照有關規定開展臨床試驗。
申請人應根據產品特點及其預期用途,綜合不同地區人種、流行病學背景、病原微生物的特性等因素選擇臨床試驗機構。臨床試驗機構必須具有與試驗用體外診斷試劑相適應的專業技術人員及儀器設備,并能夠確保該項試驗的實施。
申請人應當在臨床試驗前制定文件明確各方的職責分工,與各臨床試驗機構協商制定統一的臨床試驗方案,按照臨床試驗方案組織制定標準操作規程,并組織對參加試驗的所有研究者進行臨床試驗方案和試驗用體外診斷試劑使用的培訓,以確保臨床試驗方案和試驗用體外診斷試劑操作的一致性,并在臨床試驗過程中促進各研究者之間的溝通。
在臨床試驗開始前,申請人應與臨床試驗工作人員進行臨床試驗的預試驗,使其熟悉并掌握該產品所適用的儀器、操作方法、技術性能等,以最大限度地控制試驗誤差。
在臨床試驗過程中,申請人應考慮吸收流行病學、統計學、臨床醫學、檢驗醫學等方面專業人員(或知識),以保證臨床試驗科學、合理地開展。
臨床研究單位應有能力提供臨床評價所需的各類樣本,實驗操作人員有足夠的時間熟悉檢測系統的各環節(儀器、試劑、質控及操作程序等),熟悉評價方案。在整個實驗中,考核試劑和參比試劑都應處于有效的質量控制下,定期對儀器進行校準,最大限度保證試驗數據的準確性及可重復性。
不同的臨床單位應使用同一批考核試劑進行臨床試驗,以便對數據進行科學客觀的統計分析。
3.臨床試驗方案
臨床試驗實施前,研究人員應從流行病學、統計學、臨床醫學、檢驗醫學等多方面考慮,設計科學合理的臨床研究方案。各臨床研究機構的方案設置應基本一致,且保證在整個臨床試驗過程中遵循預定的方案實施,不可隨意改動。整個試驗過程應在臨床研究機構的實驗室內并由本實驗室的技術人員操作完成,申報單位的技術人員除進行必要的技術指導外,不得隨意干涉實驗進程,尤其是數據收集過程。
試驗方案中應確定嚴格的病例納入/排除標準,任何已經入選的病例再被排除出臨床研究都應記錄在案并明確說明原因。在試驗操作過程中和判定試驗結果時應采用盲法及樣本隨機分配以保證試驗結果的客觀性。對于新試劑的動態監測研究,應在方案中明確前后兩次濃度變化有臨床意義的標準。臨床試驗中所涉及的樣本類型應與產品說明書一致,且每種樣本類型例數的選擇應符合基本的統計學要求。各研究單位選用的參比試劑及所用機型應一致,以便進行合理的統計學分析。
開展體外診斷試劑臨床試驗,申請人應當按照試驗用體外診斷試劑的類別、風險、預期用途等特性,組織制定科學、合理的臨床試驗方案。一般應當包括以下內容:
(1)一般信息(包括產品信息、臨床試驗開展的時間和人員等相關信息、申請人相關信息等);
(2)臨床試驗的背景資料;
(3)試驗目的;
(4)試驗設計;
(5)評價方法;
(6)統計方法;
(7)對臨床試驗方案修正的規定;
(8)臨床試驗涉及的倫理問題和說明、《知情同意書》文本(如有);
(9)數據處理與記錄保存;
(10)其他需要說明的內容。
4.研究對象的選擇
(1)臨床試驗樣本量的確定:申請人或臨床研究者應根據產品臨床使用目的,與該改產品相關疾病的臨床發生率確定臨床研究的樣本量。在符合指導原則有關最低樣本要求的前提下,還應符合統計學要求。
①臨床研究的總樣本數至少為200例。
②應考慮樣本量的分布。樣本量的選擇應符合統計學及相關指導原則的要求。
③樣本濃度應覆蓋考核試劑檢測范圍,盡可能均勻分布。盡可能使40%樣本的測定值處于參考區間以外,但在測量范圍內。
(2)變更事項相關的臨床試驗:涉及產品檢測條件優化、增加與原樣本類型具有可比性的其他樣本類型等變更事項,產品臨床試驗總樣本數至少為100例,并在至少2家(含2家)臨床試驗機構開展臨床試驗;變更抗原、抗體等主要原材料的供應商、陽性判斷值或參考區間的變化及增加臨床適應癥等變更事項,應根據產品具體變更情況,酌情增加臨床試驗總樣本數。
(3)建議在臨床試驗中選擇部分含干擾物質的標本進行對比研究,包括高脂、溶血、黃疸的樣本、類風濕因子陽性樣本,易共存的其他急性炎癥時相因子同時升高的患者標本,以從臨床角度驗證試劑的特異性。
5.統計學分析
對臨床試驗結果的統計應選擇合適的統計方法,如相關分析、線性回歸、受試者工作特征(ROC)曲線分析等。對于對比實驗的等效性研究,最常用是對考核試劑和參比試劑兩組檢測結果的相關及線性回歸分析,應重點觀察相關系數(r值)或判定系數(R2)、回歸擬合方程(斜率和y軸截距)等指標。結合臨床試驗數據的正/偏態分布情況,建議統計學負責人選擇合理的統計學方法進行分析,統計分析應可以證明兩種方法的檢測結果無明顯統計學差異。在臨床研究方案中應明確統計檢驗假設,即評價考核試劑與參比試劑是否等效的標準。
6.結果差異樣本的驗證
對于比較研究試驗中測定結果不符的樣本,應采用“金標準”或其他合理的方法進行復核,以便對臨床試驗結果進行分析。如無需復核,應詳細說明理由。
7.臨床試驗總結報告撰寫
根據《關于發布體外診斷試劑臨床試驗技術指導原則的通告》(國家食品藥品監督管理總局通告2014年第16號)的要求,臨床試驗報告應該對試驗的整體設計及各個關鍵點給予清晰、完整的闡述,應該對整個臨床試驗實施過程、結果分析、結論等進行條理分明的描述,并應包括必要的基礎數據和統計分析方法。建議在臨床總結報告中對以下內容進行詳述。
申請人或臨床試驗牽頭單位應對各臨床試驗機構的報告進行匯總,并完成臨床試驗總結報告。臨床試驗報告的格式及內容如下:
7.1首篇
首篇是每份臨床試驗報告的第一部分,所有臨床試驗報告均應包含該部分內容。
7.1.1封面標題
包括試驗用體外診斷試劑的通用名稱、試驗開始日期、試驗完成日期、主要研究者(簽名)、臨床試驗機構(蓋章)、統計學負責人簽名及單位蓋章、申請人(蓋章)、申請人的聯系人及聯系方式、報告日期、原始資料保存地點。
7.1.2目錄
列出整個臨床試驗報告的內容目錄和對應頁碼。
7.1.3研究摘要
對臨床試驗情況進行簡單的介紹。
7.1.4試驗研究人員
列出臨床試驗主要研究人員的姓名、單位、在研究中的職責及其簡歷(列于附件中),主要研究人員包括主要研究者及各單位的主要參加人員、統計學負責人、臨床試驗報告的撰寫人。
7.1.5縮略語
臨床試驗報告中所用的縮略語的全稱。
7.2正文內容和報告格式
7.2.1基本內容
7.2.1.1引言。
介紹與臨床試驗產品有關的背景情況:包括(1)被測物的來源、生物及理化性質;(2)臨床預期使用目的,所針對的目標適應癥人群,目前針對該適應癥所采用的臨床或實驗室診斷方法等;(3)所采用的方法、原理、技術要求等;(4)國內外已批準上市產品的應用現狀等。說明申請人和臨床試驗機構間的合作關系。
7.2.1.2研究目的。
說明本臨床試驗所要達到的目的。
7.2.1.3試驗管理。
對試驗管理結構的描述。
管理結構包括主要研究者、主要參加人員、實驗室質量控制情況、統計/數據管理情況以及試驗中發生的問題及其處理措施等。
7.2.1.4試驗設計。
7.2.1.4.1試驗總體設計及方案的描述。
試驗的總體設計和方案的描述應清晰、簡潔,必要時采用圖表等直觀的方式。試驗進行時方案修改的情況和任何方案以外的信息來源也應詳細敘述。應包括:
(1)臨床試驗的整體管理情況、臨床研究單位選擇、臨床主要研究人員簡介等基本情況介紹;
(2)病例納入/排除標準、不同年齡段人群的預期選擇例數及標準;
(3)樣本類型,樣本的收集、處理及保存等;
(4)統計學方法、統計軟件、評價統計結果的標準
7.2.1.4.2試驗設計及試驗方法選擇。
試驗設計中應包括以下內容:
(1)樣本量及樣本量確定的依據。
(2)樣本選擇依據、入選標準、排除標準和剔除標準。
(3)樣本采集、保存、運輸方法等。
(4)對比試劑的確立。
(5)臨床試驗用所有產品的名稱、規格、來源、批號、效期及保存條件,對比試劑的注冊情況。考核試劑和參比試劑的名稱、批號、有效期及所用機型等信息。
(6)質量控制方法。對質量控制方法進行簡要的闡述。試驗人員培訓、儀器日常維護、儀器校準、質控品運行情況,對檢測精密度、質控品回收(或測量值)、抽查結果評估;
(7)臨床試驗數據的統計分析方法。對各研究單位的病例數、病種分布情況進行總合,建議以列表或圖示方式給出具體例數及百分比。
①數據預處理、差異數據的重新檢測或第三方驗證以及是否納入最終數據統計、對異常值或缺失值的處理、研究過程中是否涉及對方案的修改。
②定量值相關性和一致性分析
用回歸分析驗證兩種試劑結果的相關性,以y=a+bx和R2的形式給出回歸分析的擬合方程,其中:y是考核試劑結果,x是參比試劑結果,b是方程斜率,a是y軸截距,R2是判定系數,同時應給出b的95%(或99%)置信區間,定量值結果應無明顯統計學差異。
(8)具體試驗過程,樣本檢測、數據收集、樣本長期保存、結果不一致樣本的校驗等。
(9)試驗過程中方案的修改。
一般情況下,臨床試驗方案不宜更改。試驗過程中對方案的任何修改均應說明,對更改的時間、理由、更改過程及有無備案進行詳細闡述并論證其對整個研究結果評價的影響。
7.2.1.5臨床試驗結果及分析。
7.2.1.6討論和結論。對總體結果進行總結性描述并簡要分析試驗結果,對本次臨床研究有無特別說明,最后得出臨床試驗結論。
7.2.2有關臨床試驗中特別情況的說明
7.2.3附件
7.2.3.1臨床試驗中所采用的其他試驗方法或其他診斷試劑產品的基本信息,如試驗方法、診斷試劑產品來源、產品說明書及注冊批準情況。
7.2.3.2臨床試驗中的所有試驗數據,需由臨床試驗操作者、復核者簽字,臨床試驗機構蓋章(封面蓋章和騎縫章)。
7.2.3.3主要參考文獻。
7.2.3.4主要研究者簡歷。
7.2.3.5申請人需要說明的其他情況等。
(九)產品風險分析資料
對體外診斷試劑產品壽命周期的各個環節,從預期用途、可能的使用錯誤、與安全性有關的特征、已知和可預見的危害等方面的判定以及對患者風險的估計進行風險分析、風險評價和相應的風險控制基礎上,形成風險管理報告。應當符合相關行業標準的要求。
(十)產品技術要求
擬定產品技術要求應符合《體外診斷試劑注冊管理辦法》、《體外診斷試劑注冊申報資料要求和批準證明文件格式》、《關于發布醫療器械產品技術要求編寫指導原則的通告》(國家食品藥品監督管理總局通告2014年第9號)的相關規定。作為定量檢測試劑盒,C反應蛋白產品的注冊檢測應主要包括以下性能指標:外觀檢查、物理檢查、準確度、線性范圍、分析靈敏度/檢出限(空白限)、精密度(批間、重復性)、校準品溯源性、質控品測量準確度及均一性、生物安全性(如適用)等。如果擬申報試劑已有相應的專用國家/行業標準或相應方法學的通用標準要求發布,則企業標準的要求不得低于上述標準要求。
1.產品性能指標詳述以下性能指標:
注1:由于C反應蛋白目前尚無國家參考品,故選用國際約定、行業參考品或企業內部參考品,以后國家參考品若建立,采用國家參考品。
注2:對線性范圍、分析靈敏度等的最低要求見表1。
1.1外觀
應根據產品的包裝特點規定適當的外觀要求。一般應有試劑盒各組份組成、性狀;內、外包裝、標簽清晰等的要求。
1.1.1試劑盒應組分齊全,內外包裝均應完整,標簽清晰;
1.1.2液體試劑無滲漏,凍干組分呈疏松體,復溶后液體均勻(無肉眼可見顆粒、無沉淀)。
1.2試劑空白吸光度
適用時,生產企業應規定試劑空白吸光度,并符合相應要求。
1.3分析靈敏度
1.3.1常規C反應蛋白定量檢測試劑盒、全量程C反應蛋白定量檢測試劑盒,在生產企業規定波長(光徑1cm),對應于濃度為40mg/L的CRP所引起的吸光度差值(△A)的絕對值應在0.05—0.50的范圍內。
1.3.2超敏(高敏)C反應蛋白定量檢測試劑盒,在生產企業規定波長(光徑1 cm),對應于濃度為5mg/L的CRP所引起的吸光度差值(△A)的絕對值應在0.05—0.50的范圍內。
注:僅適用于免疫透射比濁法
1.4檢出限
生產企業應提供CRP試劑(盒)的檢出限,常規C反應蛋白定量檢測試劑盒檢出限不高于5mg/L,超敏(高敏)C反應蛋白定量檢測試劑盒、全量程C反應蛋白定量檢測試劑盒檢出限不高于0.5mg/L。
1.5準確度
準確度應符合如下要求之一:
1.5.1相對偏差:用可用于評價常規方法的有證參考物質(CRM)作為樣本進行檢測,其測量結果的相對偏差應不超過±15%。
1.5.2企業參考品測試:對具有溯源性的企業參考品進行檢測,其測量結果的相對偏差應不超過±10%。
1.6線性
生產企業應規定CRP試劑(盒)的線性區間,
1.6.1線性區間內,線性相關系數|r|應不小于0.990;
1.6.2超敏C反應蛋白定量檢測試劑(盒)線性區間不窄于 [0.5,10] mg/L;
1.6.3常規C反應蛋白定量檢測試劑(盒)線性區間不窄于 [5,80] mg/L;
1.6.4全量程C反應蛋白定量檢測試劑盒線性區間不窄于[0.5,80] mg/L。
1.6.5應規定線性區間內的線性偏差,可根據實際情況,在線性區間的不同分段以相對偏差或絕對偏差表達。
1.7重復性
在線性區間范圍內,選擇2—3個不同濃度水平的樣本,濃度選擇可參考醫學決定水平,代表正常值和異常值水平。各重復檢測10次,其變異系數(CV)應不大于10%。
1.8批間差
用三個批號試劑盒分別選擇2—3個不同濃度水平的樣本,則三個批號試劑盒之間的批間相對極差應不大于15%。
1.9穩定性
可對效期穩定性和熱穩定性進行驗證。
1.9.1效期穩定性
生產企業應規定試劑(盒)的有效期。取效期末的試劑盒檢測其試劑空白吸光度、分析靈敏度、檢出限、準確度、線性和重復性等符合相應指標的要求;
1.9.2熱穩定性試驗(如適用)
取有效期內的試劑盒在37℃放置一定時間,檢測其試劑空白吸光度、分析靈敏度、檢出限、準確度、線性和重復性等,應符合相應指標的要求。
注1:熱穩定性試驗不能用于推導產品有效期,除非是采用基于大量的穩定性研究數據建立的推導公式;
注2:一般地,效期為1年時選擇不超過1個月的產品,效期為半年時選擇不超過半個月的產品,以此類推。但如超過規定時間,產品符合要求時也可以接受;
注3:根據產品特性可選擇上述方法的任意組合,但所選用方法宜能驗證產品的穩定性,以保證在效期內產品性能符合要求。
1.10質控品性能要求(如有)
1.10.1定值質控品測量準確度
1.10.2均一性
1.11生物安全性(如適用)
2.檢驗方法
檢驗方法的制定應與相應的性能指標相適應。應優先考慮采用公認的或已頒布的標準檢驗方法。檢驗方法的制定需保證具有可重現性和可操作性,需要時明確樣品的制備方法,必要時可附相應圖示進行說明,文本較大的可以附錄形式提供。
對于體外診斷試劑類產品,檢驗方法中還應明確說明采用的參考品/標準品、樣本制備方法、使用的試劑批次和數量、試驗次數、計算方法。
3.附錄
應提供所用CRP校準品的來源、賦值過程的詳細溯源性報告以及測量不確定度等內容。
(十一)產品注冊檢驗報告
根據《體外診斷試劑注冊管理辦法》要求,首次申請注冊的第二類產品應該在具有相應醫療器械檢驗資質和承檢范圍的醫療器械檢測機構進行注冊檢測。注冊檢驗時優先使用有證參考物質,若無法獲取可以使用企業參考品。
(十二)產品說明書
說明書承載了產品預期用途、標本采集及處理、實驗方法、檢測結果解釋以及注意事項等重要信息,是指導實驗室工作人員正確操作、臨床醫生針對檢驗結果給出合理醫學解釋的重要依據,因此,產品說明書是體外診斷試劑注冊申報最重要的文件之一。產品說明書的格式應符合《關于發布體外診斷試劑說明書編寫指導原則的通告》(國家食品藥品監督管理總局通告2014年第17號)的要求,境外試劑的中文說明書除格式要求外,其內容應盡量保持與原文說明書的一致性,翻譯力求準確且符合中文表達習慣。產品說明書的所有內容均應與申請人提交的注冊申報資料中的相關研究結果保持一致,如某些內容引用自參考文獻,則應以規范格式對此內容進行標注,并單獨列明文獻的相關信息。
結合《體外診斷試劑說明書編寫指導原則》的要求,下面對C反應蛋白定量檢測試劑盒說明書的重點內容進行詳細說明,以指導注冊申報人員更合理地完成說明書編制。
1.【預期用途】
C反應蛋白定量檢測試劑盒用于體外定量檢測血清、血漿、全血中的C反應蛋白濃度,適用的樣本類型應結合實際的臨床研究情況進行確認。
第二段應闡述與該注冊產品預期用途相關的臨床適應癥及詳細背景資料。
注:C反應蛋白包括常規C反應蛋白(CRP)、超敏CRP(hsCRP),全程C反應蛋白,具體根據臨床試驗核定。
2.【主要組成成分】
(1)說明試劑包含主要組分及所用原材料的名稱、數量、比例或濃度等信息。
(2)試劑中不包含但對該項檢測必須的組分,申請人應列出相關試劑/耗材的名稱、貨號及其他相關信息。
(3)試劑盒中不包含質控品、校準品或其他耗材,應說明經驗證后推薦配合使用的商品化質控品、校準品或其他耗材的制造商、產品名稱以及產品貨號等詳細信息;如包含校準品和/或質控品,應說明其主要組成成分及其生物學來源,校準品應注明其定值及溯源性,質控品應有合適的檢測范圍。
(4)應注明不同批號試劑盒中各組分可否互換。
3.【儲存條件及有效期】
試劑的效期穩定性、開封穩定性、運輸穩定性等信息作詳細介紹。并對開封后未使用產品允許暴露于空氣中的溫度、濕度及效期等條件予以明確。
注:保存條件不應有模糊表述,如“室溫”,應明確貯存溫度,如2℃—8℃,有效期12個月。穩定期限應以月或日或小時為單位。
4.【樣本要求】重點明確以下內容:
(1)樣本采集:采集時間點是否受臨床癥狀、用藥及進食情況等因素的影響,具體采集部位及類型,詳述具體的操作方法或列出相關操作指南文件以指導使用者(最好能夠給出具體圖示),盡量減少由于樣本采集或處理不當對實驗造成的影響。
(2)樣本處理及保存:樣本的保存條件及期限(短期、長期)、運輸條件等。冷藏/冷凍樣本檢測前是否須恢復室溫,凍融次數限制。
(3)樣本的最大可稀釋倍數。
(4)樣本適用的抗凝劑類型及實驗反應溫度。
5.【適用機型】所有適用的儀器型號,并提供與儀器有關的重要信息以指導用戶操作。
6.【檢驗方法】詳細說明實驗操作的各個步驟,包括:
(1)實驗條件:實驗環境的溫度、濕度等注意事項,檢驗試劑及樣本復溫、試劑孵育溫度及試劑空白等要求。
(2)試劑使用方法(手工/半自動/全自動)、注意事項。
(3)詳述待測樣品的預處理方法、步驟及注意事項。
(4)明確樣本滿足臨床檢測需要的加樣量及觀察時間。
(5)質量控制程序:質控品的使用、質量控制方法。
(6)校準程序:校準品的準備和使用,校準曲線的繪制方法。
(7)應詳述實驗結果的計算方法,以及與國際單位的換算公式(如適用)。
7.【參考區間】
應注明常用樣本類型的參考區間,簡單介紹設定該參考區間所選健康人群的區域特征,建議注明以下字樣“由于地理、人種、性別及年齡等差異,建議各實驗室建立自己的參考值區間”。并簡要說明參考區間的確定方法。
8.【檢驗結果的解釋】
結合質控品對所有可能出現的結果進行合理的解釋。本試劑的檢測結果僅供臨床參考,對患者的臨床診治應結合其癥狀/體征、病史、其他實驗室檢查及治療反應等情況綜合考慮。明確有可能存在的數值升高因素及數值降低因素,明確說明對何種條件下需要進行重復檢測,以及在重復檢測時對待測樣本可能采取的優化條件等進行詳述。
9.【檢驗方法局限性】
(1)干擾物質及鉤狀效應(HOOK效應,如適用)對檢測結果的影響。
(2)操作時必須嚴格按照操作規程,精心操作才能得到正確結果,對操作程序作任何修改都可能影響結果。
(3)有關假陰性結果的可能性分析。
某些未知成分屏蔽了抗原決定簇使之無法與抗體結合;C反應蛋白抗原隨著樣本放置時間的延長和外界溫度上升逐漸降解無法被抗體識別;不合理的樣本采集、轉運及處理、樣本中被測物質濃度過低等均有可能導致假陰性結果。
10.【產品性能指標】
說明該產品的主要性能指標。
11.【注意事項】應至少包括以下內容:
(1)有關人源組分(如有)的警告,如:試劑內質控品或其他可能含有人源物質的組分,雖已經通過了HBs-Ag、HIV1/2-Ab、HCV-Ab、TP-Ab等項目的檢測,但截至目前,沒有任何一項檢測可以確保絕對安全,故仍應將這些組分作為潛在傳染源對待。
(2)建議實驗室的環境要求,如溫度、濕度、電磁環境等。
(3)對采集樣本的要求,建議使用新鮮血液,不建議使用高脂乳糜樣、黃疸、高類風濕因子樣本,勿使用溶血樣本,明確樣本的處理辦法。明確特異性抗體有無干擾。
(4)對所有樣本和反應廢棄物都視為傳染源進行處理。
(5)其他有關C反應蛋白定量檢測試劑盒的注意事項。
(一)分析特異性(Analytical Specificity):測量程序只測量被測量物的能力。分析特異性用于描述檢測程序在樣本中有其他物質存在時只測量被測量物的能力。通常以一個被評估的潛在干擾物清單來描述,并給出在特定醫學相關濃度值水平的分析干擾程度。
注:潛在干擾物包括干擾物和交叉反應物。
(二)精密度(Precision):在規定條件下,相互獨立的測試結果之間的一致程度。精密度的程度是用統計學方法得到的測量不精密度的數字形式表示,如標準差(SD)和變異系數(CV)。
(一)《體外診斷試劑注冊管理辦法》(國家食品藥品監督管理總局令第5號)
(二)《關于發布體外診斷試劑臨床試驗技術指導原則的通告》(國家食品藥品監督管理總局通告2014年第16號)
(三)《關于發布體外診斷試劑說明書編寫指導原則的通告》(國家食品藥品監督管理總局通告2014年第17號)
(四)馮仁豐,《臨床檢驗質量管理技術基礎》,第二版,上海科學技術文獻出版社,2007年4月
(五)Review Criteria for Assessment of C-Reactive Protein (CRP), High Sensitivity C-Reactive Protein (hsCRP) and Cardiac C-Reactive Protein (cCRP) Assays,FDA
(六)How to Define and Determine Reference Intervals in the Clinical Laboratory”; Approved Guideline, Second Edition 2000,CLSI/NCCLS C28-A2
(一)本指導原則編寫的目的是用于指導和規范C反應蛋白測定試劑盒產品注冊申報過程中審查人員對注冊材料的技術審評;同時也可指導注冊申請人的產品注冊申報。
(二)本指導原則旨在讓初次接觸該類產品的注冊審查人員對產品機理、結構、主要性能、預期用途等各個方面有所了解,同時讓技術審查人員在產品注冊技術審評時把握基本的尺度,對產品安全性、有效性作出系統評價。
(一)《醫療器械監督管理條例》(國務院令第650號)
(二)《體外診斷試劑注冊管理辦法》(國家食品藥品監督管理總局令第5號)
(三)《關于發布體外診斷試劑臨床試驗技術指導原則的通告》(國家食品藥品監督管理總局通告2014年第16號)
(四)《關于發布體外診斷試劑說明書編寫指導原則的通告》(國家食品藥品監督管理總局通告2014年第17號)
(五)《中國生物制品規程》
(六)國家食品藥品監督管理部門發布的其他規范性文件
(七)現行的國家標準和行業標準
(一)產品的主要技術指標制定主要參考相關國家標準、行業標準GB/T 26124-2011臨床化學體外診斷試劑(盒)、YY/T 1183-2010《酶聯免疫吸附法試劑(盒)》。
(二)為了提高本指導原則的通用性,編寫中明確本指導原則包含了免疫比濁法、化學發光法、時間分辨法、免疫熒光法等基于抗原抗體反應原理的免疫學方法。由于各種方法可能在國家標準、行業標準的標準性能要求上不一致,如果擬申報試劑已有相應的專用國家/行業標準或相應方法學的通用標準要求發布,則企業標準的要求不得低于上述標準要求。
(三)本指導原則參考了美國食品藥品管理局相關要求,但是對心臟CRP部分,考慮到國內已合并至超敏CRP,故本指導原則未保留。同時國內某些公司申請的全程CRP,在臨床上沒有相應的稱謂,也未保留。
本指導原則的編寫成員由廣東省醫療器械注冊技術審評人員、行政審批人員、廣東省醫療器械質量監督檢驗中心檢驗人員、臨床專家及相關企業技術人員共同組成。

站點聲明
本網站所提供的信息僅供參考之用,并不代表本網贊同其觀點,也不代表本網對其真實性負責。圖片版權歸原作者所有,如有侵權請聯系我們,我們立刻刪除。如有關于作品內容、版權或其它問題請于作品發表后的30日內與本站聯系,本網將迅速給您回應并做相關處理。
鄭州思途醫療科技有限公司專注于醫療器械產品政策與法規規事務服務,提供產品注冊備案申報代理、臨床試驗、體系建立輔導、分類界定、申請創新辦理服務。
為深入貫徹落實中共中央辦公廳、國務院辦公廳印發的《關于深化審評審批制度改革鼓勵藥品醫療器械創新的意見》(廳字〔2017〕42號),按照國家藥品監督管理局《關于擴大醫療器械
為規范醫療器械注冊人跨區域委托生產的監督管理,推進長江三角洲區域醫療器械跨區域監管,根據《中共中央辦公廳國務院辦公廳關于深化審評審批制度改革鼓勵藥品醫療器械創新的意見》《
附件:血液透析用水處理設備注冊審查指導原則(2024年修訂版)(2024年第19號).doc血液透析用水處理設備注冊審查指導原則(2024年修訂版)本指導原則旨在指導注冊申請人對血液透析用水處理設備注冊申報資料的準備及撰寫,同時也為技術審評部門提供參考。本指導原則是對血液透析用水處理設備的一般要求,注冊申請人依據產品的具體特性確定其中內容是否適用。若不適用,要具體闡述理由及相應的科學依據,并依據產
附件:醫療器械監督管理條例(2025年修訂版).doc醫療器械監督管理條例(2000年1月4日中華人民共和國國務院令第276號公布 2014年2月12日國務院第
為深化醫療器械審評審批制度改革,加強醫療器械臨床試驗管理,根據《醫療器械監督管理條例》(國務院令第739號)及《醫療器械注冊與備案管理辦法》(市場監管總局令第47號)、《
國家藥監局器審中心關于發布影像型超聲診斷設備(第三類)注冊審查指導原則(2023年修訂版)的通告(2024年第29號)發布時間:2024-10-14為進一步規范
附件:一次性使用引流管產品注冊審查指導原則(2024年修訂版)(2024年第21號).doc一次性使用引流管產品注冊審查指導原則(2024年修訂)本指導原則旨在幫助和指導注冊申請人對一次性使用引流管注冊申報資料的準備及撰寫,同時也為醫療器械技術審評部門對注冊申報資料的技術審評提供參考。本指導原則是對一次性使用引流管注冊申報資料的一般要求,注冊申請人應依據具體產品的特性對注冊申報資料的內容進行充分說
附件:大便隱血(FOB)檢測試劑盒(膠體金免疫層析法)注冊審查指導原則(2024年修訂版)(2024年第21號).doc大便隱血(FOB)檢測試劑盒(膠體金免疫層析法)注冊審查指導原則(2024年修訂版)本指導原則旨在指導注冊申請人對大便隱血(FOB)檢測試劑盒(膠體金免疫層析法)注冊申報資料的準備及撰寫,同時也為技術審評部門審評注冊申報資料提供參考。本指導原則是對大便隱血(FOB)檢測試劑盒(膠
附件:醫用霧化器注冊審查指導原則(2024修訂版)(2024年第19號).doc 醫用霧化器注冊審查指導原則(2024年修訂版) 本指導原則旨在指導注冊申請人提交醫用霧化器的注冊申報資料,同時也為技術審評部門審查注冊申報資料提供參考。 本指導原則是對醫用霧化器的一般性要求,注冊申請人應根據申報產品的特性提交注冊申報資料,判斷指導原則中的具體內容是否適用,不適用內容應闡述理
附件:生化分析儀注冊審查指導原則(2024年修訂版)(2024年第21號).doc 生化分析儀注冊審查指導原則(2024年修訂版) 本指導原則旨在為注冊申請人進行生化分析儀產品的注冊申報提供技術指導,同時也為醫療器械監督管理部門對注冊申報資料的審評提供技術參考。 本指導原則是對生化分析儀的一般要求,注冊申請人應依據產品的具體特性確定其中內容是否適用,若不適用,需具體闡述理
行業資訊
知識分享
八年
醫療器械服務經驗
聯系思途,免費獲得專屬《落地解決方案》及報價
咨詢相關問題或咨詢報價,可以直接與我們聯系
思途CRO——醫療器械注冊臨床第三方平臺
