長江三角洲區域醫療器械注冊人制度試點工作實施方案(試行)(滬藥監械管〔2019〕112號)
為深入貫徹落實中共中央辦公廳、國務院辦公廳印發的《關于深化審評審批制度改革鼓勵藥品醫療器械創新的意見》(廳字〔2017〕42號),按照國家藥品監督管理局《關于擴大醫療器械
來源:醫療器械注冊代辦 發布日期:2016-02-20 閱讀量:次
附件:凝血分析儀注冊技術審查指導原則(2016年修訂版)(2016年第22號).doc
本指導原則旨在指導注冊申請人對凝血分析儀注冊申報資料的準備及撰寫,同時也為技術審評部門審評注冊申報資料提供參考。
本指導原則是對凝血分析儀的一般要求,申請人應依據產品的具體特性確定其中內容是否適用,若不適用,需具體闡述理由及相應的科學依據,并依據產品的具體特性對注冊申報資料的內容進行充實和細化。
本指導原則是供申請人和審查人員使用的指導文件,不涉及注冊審批等行政事項,亦不作為法規強制執行,如有能夠滿足法規要求的其他方法,也可以采用,但應提供詳細的研究資料和驗證資料。應在遵循相關法規的前提下使用本指導原則。
本指導原則是在現行法規、標準體系及當前認知水平下制定的,隨著法規、標準體系的不斷完善和科學技術的不斷發展,本指導原則相關內容也將適時進行調整。
本規范適用于對血液進行凝血和抗凝、纖溶和抗纖溶功能分析的全自動或半自動凝血分析儀(以下簡稱凝血分析儀)。
凝血分析儀依據測試方法分為凝固法、發色底物法和免疫比濁法。凝血分析儀按照不同的自動化程度分為半自動凝血分析儀和全自動凝血分析儀,半自動凝血分析儀根據可同時檢測樣品的數量分為單通道和多通道。
該產品的管理類別為Ⅱ類,產品類代號為6840。
(一)產品名稱的要求
凝血分析儀的產品名稱表達方式應為:

(二)產品的結構和組成
半自動血凝分析儀一般由檢測單元、控制單元、數據處理、顯示與打印單元等組成。
全自動血凝分析儀一般由自動進樣單元、檢測單元、控制單元、數據處理、顯示與打印單元等組成。
(三)產品工作原理
1.凝固法:模擬生理血液凝固條件,加入某種試劑,啟動血液凝集反應,使樣本中的纖維蛋白原轉化為交聯纖維蛋白,使樣本發生凝固。通過連續監測此過程中反應體系所發生的光學(例如吸光度)、物理學(例如黏度)或電學(例如電流)特性變化確定反應終點,并作為纖維蛋白原的轉化時間,利用這種原理測定血液樣本凝固特性或纖溶特性的方法。
2.發色底物法:以人工合成具有某種裂解位點的化合物(如苯丙氨酸-纈氨酸-精氨酰胺,Phe-Val-Arg)與產色物質結合(如對硝基苯胺—PNA)連接形成酶的特異性底物,由于待測樣本中存在或反應過程中產生了有活性的酶,底物被水解并釋放產色物質,使反應體系發生顏色變化,通過比色的方法檢測其顏色變化程度,并與酶活性或待測物含量成一定的比例關系。
3.免疫比濁法:利用抗原與抗體之間特異性結合的特點,使待測物與標記有其特異性抗體的微粒結合,使得反應體系的濁度發生變化,通過檢測其光強度的變化定量待測物的方法。
注:企業應明確儀器所使用的方法學。
(四)注冊單元劃分的原則和實例
凝血分析儀的注冊單元原則上以技術結構、性能指標、預期用途為劃分注冊單元的依據。
(五)產品適用的相關標準
凝血分析儀根據產品自身特點適用表1中相關標準:
表1 相關產品標準

注:以上標準適用最新版本。
(六)產品的適用范圍/預期用途、禁忌癥
凝血分析儀的預期用途為對凝血與抗凝血、纖溶與抗纖溶功能中的一項或多項指標進行檢測。
注:企業應在產品注冊證的適用范圍中明確儀器所使用的方法學。
產品禁忌癥:應明確產品中可能存在的禁忌癥
(七)產品的主要風險
凝血分析儀在進行風險分析時應依據YY/T 0316—2008《醫療器械 風險管理對醫療器械的應用》,至少應包括表2內容,企業還應根據產品的自身特點確定其他危害。
表2 凝血分析儀風險分析時應考慮的主要危害


(八)產品技術要求應包括的主要性能指標
1.半自動凝血分析儀
1.1預溫時間
預溫時間應不超過30min。
1.2溫度控制
1.2.1溫育、測試部分恒溫裝置部溫度控制在37.0℃±1.0℃范圍內。
1.2.2試劑預熱槽溫度控制在37.0℃±1.0℃范圍內。
1.3檢測項目和報告單位
檢測項目至少應該包括血漿凝血酶原時間(PT)、活化部分凝血活酶時間(APTT)、纖維蛋白原(FIB)、凝血酶時間(TT)測定。PT、APTT、TT的報告單位為秒(s),其中PT的測定結果還應報告國際標準化比值(INR);FIB的報告單位為g/L或mg/dl;凝血因子活性的報告單位為U/L或百分比(%)。
1.4通道差
不同通道測試所得結果極差≤10%。
1.5測量重復性
測量重復性應符合表3的要求。
表3 不同凝血試驗測定項目的測量重復性要求

注:異常樣本指不小于儀器正常參考范圍中位值兩倍值。
1.6測量準確度
FIB的測量的相對偏倚不超過±10.0%。
1.7線性
測定FIB的線性范圍必須達到儀器標稱的要求,r≥0.975。
1.8連續工作時間
連續工作時間不應小于24小時。
1.9外觀
1.9.1外觀應該清潔、無劃痕、無毛刺等缺陷。
1.9.2面板上圖形、符號和文字應該準確、清晰、均勻。
1.9.3緊固件連接應該牢固可靠,不得有松動現象。
1.9.4運動部件應該平穩,不應該有卡住、突跳和顯著空回現象,鍵組回跳應該靈活。
1.10環境試驗
應符合GB/T 14710—2009《醫用電器設備環境要求及試驗方法》的要求。
1.11安全要求
應符合GB 4793.1—2007《測量、控制和試驗室用電氣設備的安全要求 第1部分:通用要求》、GB 4793.9—2013《測量、控制和實驗室用電氣設備的安全要求 第9部分:實驗室用分析和其他目的自動和半自動設備的特殊要求》以及YY 0648—2008《測量、控制和實驗室用電氣設備的安全要求 第2-101部分:體外診斷(IVD)醫用設備的專用要求》的要求。
1.12電磁兼容
應符合GB/T 18268.1—2010《測量、控制和實驗室用的電設備 電磁兼容性要求 第1部分:通用要求》和GB/T 18268.26—2010《測量、控制和實驗室用的電設備 電磁兼容性要求 第26部分:特殊要求 體外診斷(IVD)醫療設備》的要求。
2.全自動凝血分析儀
2.1預溫時間
預溫時間應不超過30min。
2.2溫度控制
2.2.1溫育部和溫育位恒溫裝置部的反應體系溫度控制在37.0℃±1.0℃范圍內。
2.2.2試劑冷卻位溫度控制應不超過16℃。
2.3檢測項目和報告單位
檢測項目至少應該包括血漿凝血酶原時間(PT)、活化部分凝血活酶時間(APTT)、纖維蛋白原(FIB)、凝血酶時間(TT)測定。PT、APTT、TT的報告單位為秒(s),其中PT的測定結果還應報告國際標準化比值(INR);FIB的報告單位為g/L或mg/dl;凝血因子活性的報告單位為U/L或百分比(%)。
2.4攜帶污染率
2.4.1樣品濃度的攜帶污染率:FIB(g/L)攜帶污染率應≤10%。
2.4.2 FIB或TT對PT或APTT的攜帶污染率符合廠家標稱水平。
2.5測試速度
測試速度或恒定測試速度應不小于儀器說明書標稱的測試速度。
2.6測量重復性
測量重復性應符合表4的要求。
表4 不同凝血試驗測定項目的測量重復性要求

注:異常樣本指不小于儀器正常參考范圍中位值兩倍值。
2.7測量準確度
FIB測量的相對偏倚不超過±10.0%。
2.8線性
測定FIB的線性范圍必須達到儀器標稱的要求,r≥0.975。
2.9連續工作時間
連續工作時間不應小于24小時。
2.10外觀
2.10.1外觀應該清潔、無劃痕、無毛刺等缺陷。
2.10.2面板上圖形、符號和文字應該準確、清晰、均勻。
2.10.3緊固件連接應該牢固可靠,不得有松動現象。
2.10.4運動部件應該平穩,不應該有卡住、突跳和顯著空回現象,鍵組回跳應該靈活。
2.11環境試驗
應符合GB/T 14710—2009《醫用電器設備環境要求及試驗方法》的要求。
2.12安全要求
應符合GB 4793.1—2007 《測量、控制和試驗室用電氣設備的安全要求 第1部分:通用要求》、GB4793.9—2013《測量、控制和實驗室用電氣設備的安全要求 第9部分:實驗室用分析和其他目的自動和半自動設備的特殊要求》以及YY0648—2008《測量、控制和實驗室用電氣設備的安全要求 第2-101部分:體外診斷(IVD)醫用設備的專用要求》的要求。
2.13電磁兼容
應符合GB/T 18268.1—2010《測量、控制和實驗室用的電設備 電磁兼容性要求 第1部分:通用要求》和GB/T 18268.26—2010《測量、控制和實驗室用的電設備 電磁兼容性要求 第26部分:特殊要求 體外診斷(IVD)醫療設備》的要求。
注:如產品采用除凝固法以外的其他方法(如:發色底物法和免疫比濁法),應制定相應的檢測項目和技術指標,技術指標應至少包括:準確度、線性、精密度。
(九)同一注冊單元內注冊檢驗代表產品的確定原則和實例
凝血分析儀同一注冊單元內所檢測的產品應當是能夠代表本注冊單元內其他產品安全性和有效性的典型產品。應當選擇技術指標及性能不改變、功能可以達到最齊全、結構最復雜、風險最高的產品。
如:對于安全結構相同或相近的,一般情況下,檢測通量較大的可以替代檢測通量較小的。
同一單元中不同型號規格的產品應在產品技術要求中明確各型號規格間的關鍵件、基本原理、預期用途、主要技術性能指標、配置附件、結構外觀等方面的區別。
(十)產品的生產制造相關要求
1.生產工藝過程及過程控制點
注冊申請人應根據申報產品的實際情況,以流程圖的形式對生產工藝過程進行詳細描述,并根據流程圖逐一描述其中的過程控制點。工藝流程圖中的關鍵工序和特殊工藝應以特殊圖型表示。
2.研制、生產場地情況概述
注冊申請人應當對與申報產品有關的研制場地和生產場地情況進行概述,主要包括以下內容:
研制場地:地址、位置、面積、研制環境條件、研制設備、驗證設備、人員等。
生產場地:地址、位置、面積、生產環境條件、生產設備、工藝裝備、監視和測量裝置、人員等。
如申報產品具有多個研制、生產場地,則對每一研制、生產場地的情況均應進行概述。
(十一)產品的臨床評價細化要求
1.根據《關于發布免于進行臨床試驗的第二類醫療器械目錄的通告》(國家食品藥品監督管理總局通告2014年第12號)(以下簡稱《目錄》),“產品名稱:半自動血凝分析儀,全自動血凝分析儀,分類編碼:6840”包含在《目錄》中,注冊申請人需按照《醫療器械臨床評價技術指導原則》(國家食品藥品監督管理總局通告2015年第14號)的要求提交臨床評價資料。
2.與《目錄》中產品結構組成、工作原理、適用范圍不一致的產品,企業可以根據《醫療器械臨床評價技術指導原則》的要求提交與同類產品的對比的臨床評價資料或進行臨床試驗,臨床試驗資料的提供應符合《醫療器械臨床試驗規定》的要求。
臨床試驗具體評價指標應包括:
2.1準確度評價試驗
準確度評估資料是擬上市產品的重要依據,也是產品注冊所需要申報資料之一。本指導原則對采用方法學比對進行準確度評估的實驗方法和數據處理方法進行了原則性要求。
2.1.1方法學比對的基本原則:
2.1.1.1熟悉待評價系統。
2.1.1.2編寫儀器標準操作規程,其中包括校準程序和室內質控程序。
2.1.1.3比對儀器的選擇: 采用已經上市并經臨床使用證明符合臨床要求的儀器。
2.1.1.4參與評價的人員應符合專業要求。
2.1.2方法學比對的評估及數據處理方法:
2.1.2.1實驗樣品的基本要求
應符合實驗室接受標本的要求,測定值應基本涵蓋參考范圍,其中至少有50%的標本測定結果在參考范圍之外。
2.1.2.2實驗過程
I.每天選擇8個臨床病人樣本,在按1到8的順序編號,用兩種方法同時進行實驗,按照1、2、3、4、5、6、7、8、8、7、6、5、4、3、2、1的樣本順序進行測定。
Ⅱ.以上實驗至少重復5天,即至少分析40個不同的臨床病人樣本。每天實驗必須進行校準和室內質控。只有在室內質控合格的情況下,當天的實驗室數據才有效。
2.1.2.3數據處理及結果報告
I.記錄測定結果(Xij和Yij)。
Ⅱ.計算每個樣本測定的均值(Xi和Yi),樣本重復測定間差值的絕對值(DXi和DYi)及兩種方法測定結果間的差值(Yi-Xi)。
Ⅲ.以Yi(比較方法的均值)對Xi(待評方法的均值)作散點圖。
Ⅳ.以兩種方法測定結果間的差值(Yi-Xi)對Xi(待評方法的均值)作偏倚圖。
V.以兩種方法的測定差值(Yij-Xij) 對Xi(待評方法的均值)作偏倚圖。
Ⅵ.檢查批內離群點:計算樣品重復測定間差值(DXi和DYi)的平均數,實驗結果差值超出平均數4倍時,則判斷為離群點。
Ⅶ.檢查批間離群點:計算兩種方法測定結果間均值差值(Xi和Yi)的平均數,超出該平均數4倍時,則判斷該樣本為離群點。
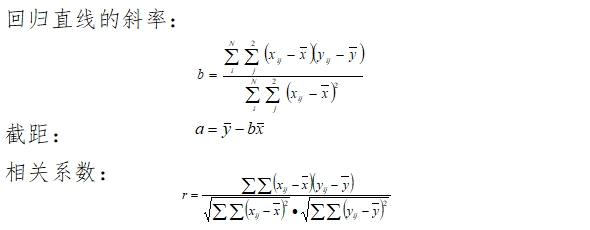
Ⅷ.相關系數計算:利用所有樣本雙份測定值進行相關系數計算 ,如果r30.975(或r230.95),則認為X范圍適合。X的誤差可以由數據范圍給以適合補償,并且簡單的線性回歸可以用來評價斜率和截距。如果r2<0.95,那么必須通過分析一些樣品以擴大數據范圍,然后再檢查全部數據系列。如果沒有超出范圍,采用分步偏差程序代替線性回歸,評價平均偏差。
Ⅸ.回歸計算:利用所有樣本雙份的有效數據,計算兩個方法間的線性回歸方程:Y=a+bX。
Ⅹ.偏差估計:在醫學決定水平,利用回歸方程計算預期偏差,預期偏差Bx=a+(b-1)X,相對偏差=Bx/X。
Ⅺ.臨床可接受準則:
預期偏差和95%可信區間在1/2測量重復性(CV)規定的范圍內。
2.2精密度評價試驗
精密度評價試驗應選擇具有醫學決定水平的正常和異常濃度的質控品,在送檢儀器校準的當天每隔1小時測定1次,共測定10次,計算出均值、標準差和CV值為批內精密度;批間精密度每天取出這兩種質控物各1份,放置室溫混合均勻后,連續測定20天,所有測定均為雙管平行測定,計算出均值、標準差和CV值為批間精密度。評價結果應符合相應的國家標準、行業標準。
注:醫學決定水平由臨床試驗機構根據相關文獻資料確定。
(十二)產品的不良事件歷史記錄
參考國家藥品不良反應監測中心數據庫最新的檢索結果。
(十三)產品說明書和標簽要求
產品說明書、標簽應當符合《醫療器械說明書和標簽管理規定》(國家食品藥品監督管理總局令第6號)和YY/T 0466.1—2009《醫療器械 用于醫療器械標簽、標記和提供信息的符號》中的相關要求。
說明書應包括以下內容:
1.產品名稱、型號、規格;
2.注冊人的名稱、住所、聯系方式及售后服務單位;
3.生產企業的名稱、住所、生產地址、聯系方式及生產許可證編號,委托生產的還應當標注受托企業的名稱、住所、生產地址、生產許可證編號;
4.醫療器械注冊證編號;
5.產品技術要求的編號;
6.產品性能、主要結構組成、適用范圍;
7.禁忌癥、注意事項、警示以及提示的內容;
8.安裝和使用說明或者圖示;
9.產品維護和保養方法,特殊儲存、運輸條件、方法;
10.生產日期,使用期限或者失效日期;
11.配件清單,包括配件、附屬品、損耗品更換周期以及更換方法的說明等;
12.產品標簽所用的圖形、符號、縮寫等內容的解釋;
13.說明書的編制或者修訂日期;
14.產品正常操作的說明;
15.儀器所采用的方法學說明;
16.正常工作條件的說明;
17.明確校準方法;
18.常見故障的處理方法;
19.關鍵部件的推薦使用壽命,如光源燈、磁路裝置等;
20.如產品有編程功能,應明確其使用方法;
21.使用產品時應遵循的測量程序。
標簽一般應當包括以下內容:
1.產品名稱、型號、規格;
2.注冊人或者備案人的名稱、住所、聯系方式,進口醫療器械還應當載明代理人的名稱、住所及聯系方式;
3.醫療器械注冊證編號;
4.生產企業的名稱、住所、生產地址、聯系方式及生產許可證編號,委托生產的還應當標注受托企業的名稱、住所、生產地址、生產許可證編號;
5.生產日期,使用期限或者失效日期;
6.電源連接條件、輸入功率;
7.根據產品特性應當標注的圖形、符號以及其他相關內容;
8.必要的警示、注意事項;
9.特殊儲存、操作條件或者說明。
醫療器械標簽因位置或者大小受限而無法全部標明上述內容的,至少應當標注產品名稱、型號、規格、生產日期和使用期限或者失效日期,并在標簽中明確“其他內容詳見說明書”。
(十四)產品的研究資料要求
根據所申報的產品,提供適用的研究資料。
1.產品性能研究
應當提供產品性能研究資料以及產品技術要求的研究和編制說明,包括功能性、安全性指標(如電氣安全與電磁兼容)以及與質量控制相關的其他指標的確定依據,所采用的標準或方法、采用的原因及理論基礎。
2.產品有效期和包裝研究
2.1有效期的確定:應當提供產品有效期的驗證報告。
2.2包裝及包裝完整性:在宣稱的有效期內以及運輸儲存條件下,保持包裝完整性的依據。
3.軟件研究
參見《醫療器械軟件注冊技術審查指導原則》的相關要求。
審查中需重點關注以下幾個方面:
(一)注冊產品技術要求的編制要求
該產品的安全、性能要求分別根據國家標準、行業標準規定的要求進行檢查,因此企業應根據產品的特性編寫注冊產品技術要求。注冊產品應符合相關的強制性國家標準、行業標準和有關法律、法規的規定,并按國家食品藥品監督管理總局公布的《醫療器械產品技術要求編寫指導原則》的要求編制。
(二)未完全符合《目錄》要求的凝血分析儀產品,應根據《醫療器械臨床評價技術指導原則》進行臨床評價工作。若開展臨床試驗,宣稱測試項目超出行業標準包含項目的凝血分析儀產品,應根據增加項目所采用的方法學進行臨床試驗,每種方法學至少選擇一項具有代表性的項目。
(三)凝血分析儀產品的臨床試驗方案是否能驗證產品的預期用途,臨床試驗結論是否明確。
(四)凝血分析儀產品的適用范圍是否明確。
(五)凝血分析儀產品使用說明書中的方法學和測試項目等內容與臨床試驗資料中闡述的是否一致。
(六)產品的主要風險是否已經列舉,并通過風險控制措施使產品的安全性在合理可接受的程度之內。
(七)檢測報告中電磁兼容檢驗應與電氣安全檢驗關聯。
附錄Ⅰ
(一)線性回歸
將每份樣品的X方法的第一個結果和Y方法的第一個對應,X方法的第二個結果和Y方法的第二個對應。對這些數據進行回歸統計,計算公式為:

(二)系統誤差與臨床可接受準則的比較
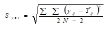
在給定的醫學決定水平Xc(第三版《全國臨床實驗室操作規程》P62)上的預期偏倚Bc^(系統誤差)的計算公式為:
SE(Bc^) = a +(b-1)Xc
(三)預期偏倚及其可信區間
因數據通過了適合范圍和均勻離散度檢查。
預期值:
在醫學決定水平Xc濃度點的預期值 Y^ = a + b Xc。
預期值的標準誤: (Sy.x)

在醫學決定水平Xc濃度點的95%可信區間(在Xc的真正偏倚)為:

(一)X 比對方法
(二)Y 待評方法
(三)i 樣品號(由1、2、3到N,N=樣品總數)
(四)j 重復測定的觀測值
(五)Xij或Yij指第i次測定中,第j個重復觀測值
自2014年10月1日新版《醫療器械注冊管理辦法》以及相關文件實施后,之前的技術審查指導原則中的部分內容與現行法規不符,為了滿足審核人員和企業申報注冊人員的需要,特進行本次修訂。
本指導原則主要依據《醫療器械監督管理條例》(國務院條例第650號)、《醫療器械注冊管理辦法》(國家食品藥品監督管理總局令第4號)、《醫療器械說明書和標簽管理規定》(國家食品藥品監督管理總局令第6號)、產品注冊相關規范性文件及YY/T 0658—2008《半自動凝血分析儀》和YY/T 0659—2008《全自動凝血分析儀》的相關要求,結合凝血分析儀產品的特點,制定本規范。
正文實質性修改主要涉及以下幾點:
(一)按照國家局發布的《醫療器械注冊技術指導原則編寫格式要求》對原指導原則的整體格式加以規范,并按照要求增加“產品生產制造相關要求”和“產品的不良事件歷史記錄”兩項內容。
(二)產品的結構與組成按照《目錄》中產品的結構進行了規范,修改后的內容與《目錄》保持一致。
(三)產品適用的相關標準中增加了安全要求標準GB 4793.9—2013,電磁兼容標準GB/T 18268.1—2010和GB/T 18268.26—2010。
(四)按照法規要求增加產品研究資料的要求。
(五)產品性能指標中增加了安全要求GB 4793.9—2013,電磁兼容要求GB/T 18268.1—2010和GB/T 18268.26—2010。
(六)同一注冊單元內注冊檢驗代表產品的確定原則和實例中詳述了確定原則,并增加了實例。
(七)產品的臨床評價的細化要求中由于半/全自動凝血分析儀屬于豁免目錄中的產品,因此屬于《目錄》范圍內的產品無需提供臨床試驗資料。但是若產品的性能結構或預期用途與《目錄》中不一致,應提供與同類產品比對的臨床評價資料;需要進行臨床試驗的應按照要求進行臨床試驗。
(八)按照新法規的要求重新規定了產品說明書和標簽要求。
(九)審查關注點中將注冊產品標準中需要注意的問題更改為產品技術要求中需要注意的問題。增加了產品風險和安全檢驗報告和電磁兼容檢驗報告的關聯性兩個關注點。
本指導原則的編寫成員由北京市醫療器械注冊技術審評人員、行政審批人員、臨床專家共同組成,以充分利用各方面的信息和資源,綜合考慮指導原則中各個方面的內容,盡量保證指導原則正確、全面、實用。編寫單位北京市醫療器械技術審評中心。

站點聲明
本網站所提供的信息僅供參考之用,并不代表本網贊同其觀點,也不代表本網對其真實性負責。圖片版權歸原作者所有,如有侵權請聯系我們,我們立刻刪除。如有關于作品內容、版權或其它問題請于作品發表后的30日內與本站聯系,本網將迅速給您回應并做相關處理。
鄭州思途醫療科技有限公司專注于醫療器械產品政策與法規規事務服務,提供產品注冊備案申報代理、臨床試驗、體系建立輔導、分類界定、申請創新辦理服務。
為深入貫徹落實中共中央辦公廳、國務院辦公廳印發的《關于深化審評審批制度改革鼓勵藥品醫療器械創新的意見》(廳字〔2017〕42號),按照國家藥品監督管理局《關于擴大醫療器械
為規范醫療器械注冊人跨區域委托生產的監督管理,推進長江三角洲區域醫療器械跨區域監管,根據《中共中央辦公廳國務院辦公廳關于深化審評審批制度改革鼓勵藥品醫療器械創新的意見》《
附件:血液透析用水處理設備注冊審查指導原則(2024年修訂版)(2024年第19號).doc血液透析用水處理設備注冊審查指導原則(2024年修訂版)本指導原則旨在指導注冊申請人對血液透析用水處理設備注冊申報資料的準備及撰寫,同時也為技術審評部門提供參考。本指導原則是對血液透析用水處理設備的一般要求,注冊申請人依據產品的具體特性確定其中內容是否適用。若不適用,要具體闡述理由及相應的科學依據,并依據產
關于發布醫療器械質量管理體系年度自查報告編寫指南的通告(2022年第13號)發布時間:2022-03-24為加強醫療器械生產監管,保障醫療器械安全有效,根據《醫
附件:醫療器械監督管理條例(2025年修訂版).doc醫療器械監督管理條例(2000年1月4日中華人民共和國國務院令第276號公布 2014年2月12日國務院第
為深化醫療器械審評審批制度改革,加強醫療器械臨床試驗管理,根據《醫療器械監督管理條例》(國務院令第739號)及《醫療器械注冊與備案管理辦法》(市場監管總局令第47號)、《
國家藥監局器審中心關于發布影像型超聲診斷設備(第三類)注冊審查指導原則(2023年修訂版)的通告(2024年第29號)發布時間:2024-10-14為進一步規范
附件:一次性使用醫用沖洗器產品注冊審查指導原則(2022年第41號).doc一次性使用醫用沖洗器產品注冊審查指導原則本指導原則旨在指導注冊申請人對一次性使用醫用
為提高醫療器械技術審評的規范性和科學性,指導醫療器械注冊人/備案人編寫產品技術要求,根據《醫療器械監督管理條例》及《醫療器械注冊與備案管理辦法》《體外診斷試劑注冊與
附件:醫療器械生產監督管理辦法(國家市場監督管理總局令2022年第53號).doc醫療器械生產監督管理辦法(2022年3月10日國家市場監督管理總局令第53號公布自2022年5月1日起施行)第一章總則第一條為了加強醫療器械生產監督管理,規范醫療器械生產活動,保證醫療器械安全、有效,根據《醫療器械監督管理條例》,制定本辦法。第二條在中華人民共和國境內從事醫療器械生產活動及其監督管理,應當遵守本辦法。
行業資訊
知識分享
八年
醫療器械服務經驗
聯系思途,免費獲得專屬《落地解決方案》及報價
咨詢相關問題或咨詢報價,可以直接與我們聯系
思途CRO——醫療器械注冊臨床第三方平臺
