海南博鰲樂城國際醫療旅游先行區臨床急需進口藥品帶離先行區使用管理暫行辦法(瓊藥監綜〔2020〕3號)
《海南博鰲樂城國際醫療旅游先行區臨床急需進口藥品帶離先行區使用管理暫行辦法》已經3月24日海南博鰲樂城國際醫療旅游先行區領導小組會議審議通過,現印發給你們,請遵照執行
來源:醫療器械注冊代辦 發布日期:2020-09-24 閱讀量:次
附件:生物型股骨柄柄部疲勞性能評價指導原則(2020年第62號).doc
股骨柄是髖關節假體股骨部件之一,植入股骨髓腔,通過與股骨頭假體配合連接髖臼部件,起到傳遞人體載荷、實現下肢運動的重要作用。股骨柄疲勞性能決定了股骨柄植入后使用壽命,是評價股骨柄安全性和有效性的重要方面。生物型股骨柄,即非骨水泥型股骨柄,通過柄體壓(適)配髓腔組織界面實現初期穩定,骨組織長上/長入股骨柄表面實現遠期固定。生物型股骨柄的臨床風險包括產品骨結合效果欠佳或涂層脫落造成的假體固定失敗,最終導致柄部疲勞斷裂。全面評估生物型股骨柄的疲勞性能應是柄理化性能表征、體外疲勞試驗、動物實驗,以及臨床性能綜合評價的結果。

本指導原則僅針對生物型股骨柄柄部疲勞性能進行研究和討論。注冊申請人在注冊申報生物型股骨柄產品時,還應結合相關指導原則和標準,充分評價除柄部疲勞性能外其他相關性能,保證產品的安全性、有效性和質量可控。
本指導原則所確定的核心內容是在目前的科技認知水平和現有產品技術基礎上形成的。因此,相關人員參考時應注意其適宜性,密切關注適用標準及相關技術的最新進展,考慮產品的更新和變化。隨著對產品理解的不斷深入,本指導原則相關內容也將適時進行調整。
本指導原則是供注冊申請人和審查人員使用的技術指導文件,不涉及注冊審批等行政事項,亦不作為法規強制執行,如有能夠滿足法規要求的其他方法,也可以采用,但應提供詳細的研究資料和驗證資料。應在遵循相關法規的前提下使用本指導原則。
本指導原則適用于生物型股骨柄的柄部疲勞性能評價。本指導原則未涵蓋生物型股骨柄性能的全部內容,也未涵蓋采用新結構設計和新材料的生物型股骨柄柄部疲勞評價的全部要求,如增材制造股骨柄。如部分適用本指導原則可以參考相關內容。
股骨柄柄部疲勞性能決策路徑(附錄1)涵蓋了相關技術審查要點具體內容,應逐一進行闡述和論證。需要注意的是,由于技術原理(如固定原理)、結構組成(如基體/涂層材料、一體式/組合式)、關鍵或特殊生產工藝(如涂層工藝)等不同而導致性能指標、適用范圍不同的,應分別進行闡述和論證。
(一)確定適用范圍
確定產品適用范圍,包括適應證、適用人群、預期使用環境、禁忌癥、預期與其組合使用的植入器械等。最終確認的產品適用范圍應與股骨柄柄部疲勞性能研究的支持性資料相適應。
(二)理化和機械性能表征
首先,應對股骨柄基體、涂層和柄結構進行全面的理化和機械性能表征。通常情況下,相關測試應在產品本體上進行。如因為結構或尺寸等原因無法在本體上取樣,應在與其同批的毛坯、隨爐附鑄件試樣上制取,并保證后續工藝不會對理化和機械性能產生不利影響。
1.基體理化和機械性能
基體可能選用鍛造鈦合金、鑄造鈦合金、鑄造鈷鉻鉬合金、高氮不銹鋼等金屬材料,應表征基體適用的理化和機械性能指標、確定依據和符合標準,可包括以下項目:
化學成分、供應狀態、力學性能(抗拉強度、規定非比例延伸強度、延伸率、斷面收縮率)、表面質量、顯微組織、內部質量、耐腐蝕性能等。如涂層制備工藝對基體的機械性能可能造成不利影響的,還需提供經涂層工藝處理后基體的屈服拉伸強度、極限拉伸強度、疲勞極限等。
2.涂層理化和機械性能
涂層可能選用羥基磷灰石、磷酸鈣、鈦及鈦合金、鈷鉻鉬合金、純鉭等非金屬和金屬材料,經過等離子噴涂、電化學沉積、鈦絲擴散連接、燒結等工藝在基體表面形成涂層。應表征涂層適用的理化性能和機械性能質控指標、確定依據及符合標準。可包括以下項目:
化學成分、顆粒尺寸、潔凈度、微量元素、結晶度和結晶相含量、涂層與基體在拉伸應力和剪切應力下最大結合強度和疲勞強度、溶解性能、涂層磨損率等。基體與金屬涂層的成分不同的,可能引起電偶腐蝕,應關注不同材料界面間存在腐蝕現象和使用電化學法確定腐蝕電位及腐蝕速率,測定離子析出濃度并進行安全性評價。
3.柄結構尺寸
應表征生物型股骨柄的結構尺寸和設計依據。可包含以下項目:
柄長、CT值、柄體橫截面形狀、柄部結構、頸長、頸干角、前傾角、肩部結構(肩部開槽結構、盲孔等)、錐連接、組配式柄(組配頸、近端袖套、近端部件、遠端部件、鎖緊螺釘)、表面粗糙度(錐連接、涂層或噴砂柄表面),以及涂層厚度、涂層起止位置、涂層多孔結構的孔徑、孔隙率、平均孔隙截距。
(三)柄部疲勞分析及試驗
1.試驗樣品最差情況的選取
股骨柄柄部疲勞試驗應選取最差情形進行。股骨柄柄部疲勞試驗最差情況的選擇需要充分考慮股骨柄的基體加工工藝(鍛造、鑄造等)、基體材質、涂層工藝(噴涂、燒結等)、結構設計(幾何形狀、尺寸、偏心距、頸部/近端/遠端組配等),以及球頭內錐深度等因素,在所有擬申報型號規格產品中選擇最差情形的產品進行試驗,并提供最差情形的確定依據。
采用有限元方法選取最差情況時,可參照《骨科金屬植入物有限元分析資料注冊技術審查指導原則》(國家藥品監督管理局通告2020年第48號)和ASTM F2996標準規定的方法進行分析,需提供建模和分析軟件信息、模型幾何尺寸(如股骨柄的幾何形狀、尺寸和股骨頭偏距)、材料屬性、加載方式、邊界條件、網格劃分(單元類型、網格密度、網格收斂分析等)、分析結果(對于每個規格的關注區域,應提供最大(第一)主應力最大值對應位置處的最大(第一)主應力和von Mises應力)等內容。標準規定了利用有限元分析(FEA)技術對非組合式金屬髖關節股骨柄(即僅限于通過錐連接方式與股骨頭配合的一體式股骨柄)應力與應變分析時所采用數值模擬方法的要求和注意事項,對于組合式股骨柄需要關注連接部位的應力分布,考慮組件的鎖合結構、組件的結構設計和尺寸等因素選擇最差情況,明確接觸和約束的設置并分析其合理性。采用有限元分析方法確定最差情況時,需要特別關注頸部、安裝孔區域、包埋面和特殊設計的關鍵區域的應力。
當通過對比有限元分析結果與材料性能(如疲勞極限)分析結果的合理性時,對于帶涂層股骨柄,由于涂層制備過程(如燒結涂層)可能導致基體材料性能降低或產生應力集中區域,應當以經過相同涂層制備過程制得的材料試樣的機械性能(如疲勞極限)數據作為參考,如根據YY/T 0988.13標準中彎曲疲勞試驗方法循環疲勞極限。此外,可參照ASTM F2996標準規定的應變測量方法測試實際試驗樣品的應力,比較分析應變測量方法獲得的數據與有限元分析結果的差異性,證明有限元分析結果的可靠性。
需要注意的是,如果經有限元分析存在多個相似的最差情形時,應考慮分別開展疲勞試驗。
2.柄部疲勞試驗
股骨柄的柄部疲勞試驗建議參照YY/T 0809.4-2018標準要求進行試驗,應選擇6件試樣作為一組進行試驗。根據股骨柄與股骨頭組合的最差情況測量CT值,按照產品CT值的范圍(CT≤120mm、120mm
對于股骨柄柄部的包埋位置附近存在應力集中區域(如槽、肋、材料或涂層過渡區域、或者一些表面形貌特征),需要調整包埋位置使得柄部應力集中區域高于包埋位置。對于翻修型股骨柄,臨床使用中可能用于近端支撐存在嚴重骨缺損的情況,推薦采用額外的試驗,使得股骨柄包埋位置與球頭球心之間的距離與生產商推薦的股骨柄預期治療的近端骨缺損最嚴重的情況一致。
試樣球頭和加載裝置之間的摩擦力矩對試驗結果有顯著的影響,加載裝置應保持載荷通過試樣球頭球心并與試驗機的軸線方向一致,使用低摩擦力的機械裝置使得與試驗機軸線不一致的力最小化。
對于股骨柄不能滿足YY/T 0809.4-2018標準疲勞極限載荷要求的情況,注冊申請人需要在不同的載荷水平下建立載荷-周期曲線,并確定5×106次循環次數的疲勞極限,6個股骨柄應在規定的疲勞極限載荷下經過5×106次循環不發生失效斷裂,并提供股骨柄疲勞極限可接受的相應支持性研究資料。
對于組合式股骨柄,應在37℃±1℃的生理鹽水(0.9g/L)中進行疲勞試驗,使得包埋平面以上的組合部位在整個試驗過程中均覆蓋于試驗液中,試驗的頻率要求小于或等于5Hz。組合式股骨柄可進行額外試驗,用于評價組合部位的疲勞性能,例如,對于近端組合式股骨柄,可參照ASTM F2580標準評價股骨柄干骺端填充區域組合連接結構的疲勞性能。
除上述試驗方法外,鼓勵探索模擬體內生物力學環境,科學合理且經過論證的試驗方法進行評價。
(四)動物實驗
如果不能通過涂層的材料性能表征、形貌及體視學數據(厚度、孔隙率、孔隙尺度等)、涂層機械性能評價(涂層與基體結合強度等)、涂層穩定性及耐腐蝕性能評價、生物相容性評價等研究證明其與已上市同類產品的涂層具有等同性,則需通過動物實驗來評估多孔涂層的骨結合效果和涂層的穩定性。
動物實驗應結合產品的植入部位及骨質條件、骨長上/長入時間等確定動物模型、實驗分組、對照品、觀察周期、觀察指標等。通過包括大體評價、組織生物化學、形態學、影像學分析以及新生骨生物力學性能指標等對樣品植入后部位的新生骨的數量和質量(如骨結合力)進行綜合分析、評估。
(五)臨床數據分析
對于CT值在120-250mm之間,但不符合YY/T 0809.4-2018中規定的2300N疲勞極限的股骨柄,可考慮使用長期和大量臨床安全使用數據支持產品疲勞性能評估,注冊申請人可根據實際情況,選擇申報產品和/或同品種產品的臨床數據。如使用同品種產品臨床數據,申報產品應與具有類似設計和材料、在長期和大量臨床使用中疲勞性能表現良好(如YY/T 0809.4-2018試驗方法中的高應力區域的斷裂情況)的同品種產品相比,不低于其疲勞強度。
臨床數據可包括相關的投訴和不良事件數據,如柄部疲勞失效相關的投訴及不良事件的總數和具體分類數量、原因歸類、與申報產品關聯性。對于嚴重不良事件,應以列表的形式提供事件描述、原因分析、處理方式和結局等具體信息。對于申報產品,還需提供各型號的累積銷售量、不良事件數量、召回數量,計算不良事件發生率和召回率。
股骨柄自身疲勞力學性能是影響其植入體內疲勞表現的重要因素,除此之外,生物型股骨柄初始穩定和長期固定等因素也可能導致股骨柄疲勞失效,其相關的臨床數據對于間接預測股骨柄體內疲勞表現具有一定的作用。臨床數據可包括生物型股骨柄初始穩定和長期固定相關的不良事件數據,如松動、涂層脫落、涂層顆粒遷移等。也可包括影像學評價資料。例如,股骨側骨長入按照Gruen分區描述。股骨柄假體初始固定質量按照Mulliken標準,即假體在正側位X射線片上分別獲得80%和70%以上壓配和(或)填充率為優良。股骨柄生物學固定按照Engh標準分為:①骨性固定:多孔區新骨形成,無X射線透亮帶或硬化帶;②纖維性穩定:X射線有某些不穩表現,但臨床無不穩癥狀;③松動:假體呈進行性下沉和內翻表現,伴廣泛硬化帶和X射線透亮帶。對臨床翻修取出的股骨柄進行分析也可以提供生物固定有效性的支持性資料。鼓勵按照GB/T 25440相關標準對臨床中的生物型股骨柄取出物進行分析,評價骨長上/長入效果。
本指導原則由國家藥品監督管理局醫療器械技術審評中心編寫并負責解釋。
附錄:1.生物型股骨柄柄部疲勞性能評價決策路徑
2.生物型股骨柄柄部疲勞試驗最差情況選擇的影響因素
3.參考文獻
附錄1

附錄2

圖1股骨柄柄部受力分析
本部分內容旨在通過簡化的力學分析,描述股骨柄柄部疲勞試驗最差情況選擇時需要考慮的因素,由于橫截面的幾何形狀和位置、股骨柄柄部錐度等因素對理論分析中所引用公式計算結果具有很大影響,該理論分析僅用于討論各個影響因素對分析結果可能產生的影響。股骨柄柄部疲勞試驗的最差情況選擇時,需考慮不同球頭內錐深度、股骨柄頸部長度和頸干角度對CT測量值和包埋位置的影響,也應考慮股骨柄遠端軸線的確定、股骨柄的設計和尺寸、股骨柄在包埋介質中的傾角和試驗包埋位置的確定。例如對于120mm<CT≤250mm的非解剖型股骨柄,按照YY/T 0809.4-2018中的方法對股骨柄進行固定和加載,如圖1所示。對股骨柄施加的載荷F通過球頭球心垂直向下,可以分解為股骨柄的頸部軸線和遠端軸線平面(y-z平面)內的投影載荷Fyz(Fcosβ)和垂直于y-z平面的載荷Fx(Fsinβ)。在y-z平面內,載荷Fyz可進一步分解為垂直于股骨柄遠端軸線的載荷Fy(Fcosβsinα)和平行于軸線的載荷Fz(Fcosβcosα)。對于截面A-A,載荷Fz產生軸向壓應力和純彎曲彎矩Mx(Fcosβcosα×d1),載荷Fy產生純彎曲彎矩Mx(Fcosβsinα×d2),載荷Fx產生純彎曲彎矩My(Fsinβ×d2)和扭矩T(Fsinβ×d1)。
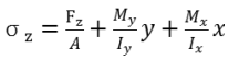
截面A-A中任意一點的軸向應力為

其中,A為截面面積、Ix、Iy為截面慣性矩(,)。由于Mx和My在截面A-A中任意一點的剪切應力公式與截面幾何形狀有關,以矩形截面為例,剪切應力為,,其中,Qx、Qy為矩形截面的截面面積的一次矩(,)。扭矩T在截面A-A中任意一點的剪切應力公式與截面幾何形狀有關,以圓形截面為例,剪切應力為,,其中,J為圓形截面的極慣性矩()。根據上述軸向應力和剪切應力,截面A-A上的Von Mises應力可以表示為

基于上述理論分析,最大等效應力主要受包埋位置股骨柄的截面面積(A)、截面慣性矩(Ix和Iy)、截面面積的一次矩(Qx和Qy)、極慣性矩(J)、偏心距(決定d1和d2)影響。股骨柄的截面面積、截面慣性矩、截面面積的一次矩、極慣性矩由截面幾何形狀和尺寸決定,因此,在最差情況選擇時,需結合股骨柄的遠端幾何設計特征,考慮不同截面幾何形狀(如圓形、矩形等)和尺寸,關注股骨柄包埋截面前外側、后內側位置的應力水平。偏心距由股骨柄的頸干角度、頸部長度和球頭的內錐深度等因素決定,偏心距的改變會導致彎矩和扭矩的改變。此外,由于包埋高度固定(D=80mm),上述因素會影響股骨柄的包埋位置截面幾何尺寸,減小頸干角度(頸部長度和球頭的內錐深度一定時)或減小頸部長度和球頭的內錐深度(頸干角度一定時),都會導致包埋位置截面下移,截面幾何尺寸可能會減小,從而導致應力水平增加。
附錄3
1.《髖關節假體系統注冊技術審查指導原則》(國家食品藥品監督管理總局通告2017年第23號)
2.《醫療器械動物實驗研究技術審查指導原則第一部分:決策原則》(國家藥品監督管理局通告2019年第18號)
3. GB/T 16886醫療器械生物學評價系列標準
4. GB 23101.2-2008外科植入物羥基磷灰石第2部分:羥基磷灰石涂層(ISO 13779-2-2000)
5. GB/T 25440系列外科植入物的取出與分析
6. YY/T0809.1-2010外科植入物部分和全髖關節假體第1部分:分類和尺寸標注
7. YY/T 0809.4-2018 外科植入物部分和全髖關節假體第4部分:帶柄股骨部件疲勞性能試驗和性能要求(ISO 7206-4:2010)
8. YY0118-2016 關節置換植入物髖關節假體
9. YY0117.1-2005 外科植入物骨關節假體鍛、鑄件Ti6Al4V鈦合金鍛件
10. YY0117.2-2005 外科植入物骨關節假體鍛、鑄件ZTi6Al4V鈦合金鑄件
11. YY 0117.3-2005 外科植入物骨關節假體鍛、鑄件鈷鉻鉬合金鑄件YY/T 0988.1-2016外科植入物涂層第1部分鈷-28鉻-6鉬粉末
12. YY/T 0988.2-2016 外科植入物涂層第2部分鈦及鈦-6鋁-4釩合金粉末
13. YY/T 0988.11-2016 外科植入物涂層第11部分磷酸鈣涂層和金屬涂層拉伸試驗方法
14. YY/T 0988.12-2016 外科植入物涂層第12部分磷酸鈣涂層和金屬涂層剪切試驗方法
15. YY/T 0988.13-2016 外科植入物涂層第13部分磷酸鈣、金屬和磷酸鈣金屬復合涂層剪切和彎曲疲勞試驗方法
16. YY/T 0988.14-2016 外科植入物涂層第14部分多孔涂層體視學評價方法
17. YY/T 0988.15-2016 外科植入物涂層第15部分金屬熱噴涂涂層耐磨性能試驗方法
18. ASTM F2996-13 非組合式金屬髖關節股骨柄有限元分析標準方法
19. ASTM F2580-09近端固定股骨假體模塊連接評價測試方法
20. ASTM F1609-14 磷酸鈣涂層性能要求

站點聲明
本網站所提供的信息僅供參考之用,并不代表本網贊同其觀點,也不代表本網對其真實性負責。圖片版權歸原作者所有,如有侵權請聯系我們,我們立刻刪除。如有關于作品內容、版權或其它問題請于作品發表后的30日內與本站聯系,本網將迅速給您回應并做相關處理。
鄭州思途醫療科技有限公司專注于醫療器械產品政策與法規規事務服務,提供產品注冊備案申報代理、臨床試驗、體系建立輔導、分類界定、申請創新辦理服務。
《海南博鰲樂城國際醫療旅游先行區臨床急需進口藥品帶離先行區使用管理暫行辦法》已經3月24日海南博鰲樂城國際醫療旅游先行區領導小組會議審議通過,現印發給你們,請遵照執行
為規范醫療器械注冊人跨區域委托生產的監督管理,推進長江三角洲區域醫療器械跨區域監管,根據《中共中央辦公廳國務院辦公廳關于深化審評審批制度改革鼓勵藥品醫療器械創新的意見》《
《海南博鰲樂城國際醫療旅游先行區醫療機構制劑調劑使用管理暫行辦法》已經3月24日海南博鰲樂城國際醫療旅游先行區領導小組會議審議通過,現印發給你們,請遵照執行。
附件:血液透析用水處理設備注冊審查指導原則(2024年修訂版)(2024年第19號).doc血液透析用水處理設備注冊審查指導原則(2024年修訂版)本指導原則旨在指導注冊申請人對血液透析用水處理設備注冊申報資料的準備及撰寫,同時也為技術審評部門提供參考。本指導原則是對血液透析用水處理設備的一般要求,注冊申請人依據產品的具體特性確定其中內容是否適用。若不適用,要具體闡述理由及相應的科學依據,并依據產
國家藥監局關于發布免于進行臨床評價醫療器械目錄的通告(2025年第19號)發布時間:2025-05-13為做好醫療器械注冊管理工作,根據《醫療器械注冊與備案管理
本指導原則旨在幫助和指導注冊申請人對一次性使用腹部穿刺器注冊申報資料進行準備,以滿足技術審評的基本要求。同時有助于審評機構對該類產品進行科學規范的審評,提高審評工
附件:重組膠原蛋白創面敷料注冊審查指導原則(2023年第16號).doc重組膠原蛋白創面敷料注冊審查指導原則本指導原則旨在指導注冊申請人準備及撰寫重組膠原蛋白創
國家藥監局關于發布免于臨床試驗的體外診斷試劑臨床評價技術指導原則的通告(2021年第74號)發布時間:2021-09-24為指導體外診斷試劑的臨床評價工作,根據
為深化藥品審評審批制度改革,鼓勵創新,進一步推動我國藥物臨床試驗規范研究和提升質量,國家藥品監督管理局會同國家衛生健康委員會組織修訂了《藥物臨床試驗質量管理規范》
國家藥監局藥審中心關于發布《抗腫瘤藥物臨床試驗中SUSAR分析與處理技術指導原則》的通告(2024年第42號) 發布日期:20241010
行業資訊
知識分享
八年
醫療器械服務經驗
聯系思途,免費獲得專屬《落地解決方案》及報價
咨詢相關問題或咨詢報價,可以直接與我們聯系
思途CRO——醫療器械注冊臨床第三方平臺
