海南博鰲樂城國際醫療旅游先行區臨床急需進口藥品帶離先行區使用管理暫行辦法(瓊藥監綜〔2020〕3號)
《海南博鰲樂城國際醫療旅游先行區臨床急需進口藥品帶離先行區使用管理暫行辦法》已經3月24日海南博鰲樂城國際醫療旅游先行區領導小組會議審議通過,現印發給你們,請遵照執行
來源:醫療器械注冊代辦 發布日期:2020-03-10 閱讀量:次
附件:乙型肝炎病毒耐藥相關的基因突變檢測試劑注冊技術審查指導原則(2020年第16號).doc
本指導原則旨在指導注冊申請人對乙型肝炎病毒耐藥相關的基因突變檢測試劑注冊申報資料的準備及撰寫,同時也為技術審評部門對注冊申報資料的技術審評提供參考。
本指導原則是針對乙型肝炎病毒耐藥相關的基因突變檢測試劑的一般要求,申請人應依據產品的具體特性確定其中內容是否適用,若不適用,需具體闡述理由及相應的科學依據,并依據產品的具體特性對注冊申報資料的內容進行充實和細化。
本指導原則是供申請人和審查人員使用的指導性文件,不涉及注冊審批等行政事項,亦不作為法規強制執行,如有能夠滿足法規要求的其他方法,也可以采用,但應提供詳細的研究資料和驗證資料。應在遵循相關法規的前提下使用本指導原則。
本指導原則是在現行法規、標準體系及當前認知水平下制定的,隨著法規、標準的不斷完善和科學技術的不斷發展,本指導原則相關內容也將適時進行調整。
(一)臨床背景
乙型肝炎病毒(Hepatitis B virus,HBV)感染呈世界性流行,但不同地區HBV 感染的流行強度差異很大。全國2006年乙型肝炎血清流行病學調查表明,我國1-59歲一般人群乙型肝炎表面抗原(Hepatitis B surface antigen,HBsAg)陽性率為7.18%,2014年中國疾病預防控制中心開展的全國1—29歲人群乙型肝炎血清流行病學調查結果顯示,1—4歲、5—14歲、15—29歲人群HBsAg陽性率分別為0.32%、0.94%和4.38%,我國現有HBV感染者約有8000萬。在臨床治療慢性乙型肝炎病毒感染的方案中,使用抗病毒藥物是最主要的手段。抗HBV藥物主要包括干擾素α和核苷(酸)類似物兩大類,其中核苷(酸)類藥物服用便捷,抗病毒效力強,不良反應較小,但核苷(酸)類藥物在抗HBV治療中需要長期服藥,一旦出現病毒耐藥,可能導致治療失敗、病毒DNA反彈、肝功能惡化甚至肝衰竭。因此,如何發現病毒耐藥突變,進而合理調整治療方案,在慢性乙型肝炎臨床治療中具有極其重要的意義。
HBV屬于嗜肝DNA病毒科(hepadnaviridae),HBV基因組含有4個部分重疊的開放讀框(ORF),即前-S/S區、前-C/C 區、P區和X區。其中P區編碼聚合酶/逆轉錄酶,目前已知的核苷(酸)類藥物的耐藥突變均發生在HBV的P區。HBV雖然屬于DNA病毒,但其復制需經過以前基因組RNA為復制中間體的逆轉錄過程。在此過程中,HBV逆轉錄酶由于缺乏嚴格的校正機制,導致HBV復制過程中核苷酸錯配率較高。HBV復制的這種過程和特點,導致同一患者體內不同的HBV株基因序列之間也存在差異,因此,每一個患者體內的病毒都是由不同基因序列的病毒株組成的動態變化的病毒準種,不同基因序列的病毒株在病毒準種中所占的相對比例,一方面取決于病毒株自身的復制能力,另一方面也受到機體免疫系統或藥物的選擇壓力的影響。
抗病毒藥物核苷(酸)類似物進入機體后,形成三磷酸活性成分,與機體天然的脫氧三磷酸核苷(dNTP)競爭性結合到HBV聚合酶上,使HBV的DNA鏈合成終止。如果患者體內的HBV P區序列發生突變,導致產生的HBV聚合酶與核苷(酸)類似物結合力降低,突變的HBV即不受核苷(酸)類似物的抑制或抑制能力下降,在繼續應用核苷(酸)類似物治療的情況下,突變株病毒由于對核苷(酸)類似物不敏感而逐漸成為優勢株,從而導致患者對于核苷(酸)類似物的耐藥。
乙型肝炎病毒的耐藥突變分為原發性耐藥突變和補償性耐藥突變,原發性耐藥突變指藥物作用靶位的基因及其編碼的氨基酸發生突變,導致突變病毒株對治療藥物的敏感性下降。雖然原發性耐藥突變株對藥物的抵抗性增加,但也常導致突變病毒本身的復制能力下降。補償性耐藥突變指由于原發性耐藥突變病毒株復制能力下降,在原發性耐藥突變的基礎上,病毒株在其它位點發生突變,這些突變可部分恢復突變病毒的復制能力或可導致突變病毒對藥物敏感性的進一步下降。
目前經國家藥品監督管理局批準用于抗HBV治療的核苷(酸)類似物有拉米夫定(LAM)、阿德福韋酯(ADV)、恩替卡韋(ETV)、替比夫定(LdT)、替諾福韋酯(TDF)和富馬酸丙酚替諾福韋(TAF)等。與拉米夫定常見耐藥相關的突變為rtM204I/V和rtL180M,其中rtM204V多與rtL180M聯合出現,rtM204I可單獨出現。與阿德福韋酯常見耐藥相關的突變為rtN236T與rtA181V/T,兩個位點可單獨或聯合出現。與恩替卡韋常見耐藥相關的突變是在rtM204V+rtL180M基礎上,再聯合rtT184、rtS202或rtM250三個位點中至少一個位點的氨基酸替代突變。與替比夫定常見耐藥相關的突變為rtM204I,其它位點如rtA181V/T等尚存在爭議。替諾福韋酯和富馬酸丙酚替諾福韋目前尚未發現確認的耐藥突變。
HBV耐藥相關的檢測主要包括基因型耐藥檢測和體外表型分析等。
HBV基因型耐藥檢測是指采用分子生物學方法檢測已在體外表型分析中被證實與抗病毒藥物耐藥相關的HBV突變的臨床檢測。目前已批準產品采用的方法主要包括:PCR-測序法(direct PCR sequencing)、基因芯片法(gene chip)、PCR-反向雜交法(PCR-reverse hybridization assay)、實時熒光PCR法(real-time PCR)等。
HBV體外表型分析(in vitro phenotypic analysis)是公認的確認耐藥的檢測方法,通過體外復制系統證實檢測到的HBV突變會降低其對抗病毒藥物的敏感性,常用半數有效濃度(50% effective concentration,EC50)或半數抑制濃度(50% inhibitory concentration,IC50)來評價耐藥程度的高低。其方法是將含有待檢測耐藥突變位點的HBV全基因組導入肝細胞來源的細胞系,再將不同濃度梯度的核苷(酸)類似物加入細胞培養液中,經過一定培養時間后檢測藥物作用下HBV DNA的復制情況,計算EC50,通過與野生株病毒的EC50比較,判斷該突變對核苷(酸)類似物的敏感性。當抑制病毒復制所需的EC50與野生株相比增加l00倍以上稱為高度耐藥、l0—99倍為中度耐藥、2—9倍為輕度耐藥。
(二)本指導原則適用范圍
本指導原則所述乙型肝炎病毒耐藥相關的基因突變檢測試劑是指利用分子生物學技術,對人體血清/血漿樣本中乙型肝炎病毒耐藥突變位點進行定性檢測的試劑。臨床適用人群為核苷(酸)類似物治療過程中出現病毒學突破的患者。除非有明確證據表明初治患者感染HBV來自接受核苷(酸)類似物抗病毒治療患者,一般不主張對初治患者進行基因型耐藥檢測。
本指導原則是基于實時熒光PCR方法對產品相關申報資料提出要求,其他方法學的產品可依據產品特性確定其中具體內容是否適用,如不適用,可另行選擇符合自身方法學特性的技術要求或評價方法。
本指導原則適用于進行產品注冊和相關許可事項變更的產品。其他未盡事宜應當符合《體外診斷試劑注冊管理辦法》(國家食品藥品監督管理總局令第5號)(以下簡稱《辦法》)等相關法規要求。
(一)綜述資料
綜述資料主要包括產品預期用途、產品描述、有關生物安全性的說明、有關產品主要研究結果的總結和評價以及同類產品批準上市情況及異同比較等內容,其中,預期用途應明確所檢測的耐藥突變位點,所檢測的耐藥突變位點與相應藥物的相關性,該突變位點為原發性耐藥突變還是補償性耐藥突變,耐藥性突變對藥物敏感性的影響,相應藥物累積耐藥發生率以及是否有交叉耐藥等。同類產品情況應著重從所檢耐藥突變位點、相關產品所采用的技術方法、性能指標、臨床應用情況以及境內外批準上市情況等方面闡述申請注冊產品與境內外同類產品的異同等。對于新的耐藥突變位點,需要提供新位點與預期藥物敏感性之間關系的文獻資料,包括但不限于國內相關指南或專家共識,以及基于中國人群的充分的臨床數據等。
綜述資料的撰寫應符合《辦法》和《體外診斷試劑注冊申報資料要求及說明》(國家食品藥品監督管理總局公告2014年第44號)(以下簡稱44號公告)的相關要求。
(二)主要原材料研究資料
以實時熒光PCR方法為例,應提供引物、探針、DNA聚合酶、dNTP、尿嘧啶糖基化酶(如有)等主要原材料的選擇與來源、制備及質量標準等的研究資料、質控品的確認試驗資料以及企業參考品的原材料選擇、來源、質量指標、制備方法及陰陽性的確認過程等的研究資料。
若主要原材料為企業自行生產,其生產工藝必須相對穩定,并提交主要原材料制備過程的研究資料;如主要原材料購自其他供應商,則需針對供應商的選擇提供評價數據,并提供供應商出具的質量標準、出廠檢定報告,以及申請人對該原材料進行的質量檢驗資料。
1. 核酸分離/純化組分(如有)的原理介紹、主要組成、主要原材料的質量控制標準及相關驗證資料。
2. 引物和探針:包括申報產品檢測靶序列的引物和探針以及內對照的引物和探針。應詳述引物和探針的設計和篩選的過程,提供引物、探針核酸序列、模板核酸序列及兩者的對應情況,并提交篩選的研究數據。引物、探針的質量標準應至少包括序列準確性、純度檢查、濃度檢查及功能性實驗等。
3. 酶:需要的酶主要包括DNA聚合酶,其質量標準如下:
3.1 DNA聚合酶應包括DNA聚合酶活性、無核酸內切酶活性、熱啟動能力(如適用)、熱穩定性等。
3.2如申報產品中包含尿嘧啶DNA糖基化酶,應對其酶活性及熱穩定性等質量控制標準進行規定,如使用其他工具酶,應提供其詳細的研究資料。
4. dNTP:質量標準應包括純度、濃度、保存穩定性及功能性實驗等。
5. 試劑盒質控品
試劑盒的質控體系通過設置各種試劑盒質控品來實現。對于此類產品,質控體系主要包括陽性質控品、陰性質控品和內對照。申請人應明確質控品的原料來源、質量標準、質控品陰陽性的確認方法,并提交相關驗證資料。各種質控品均應參與樣本處理和檢測的全過程,如核酸的平行提取等步驟,并且與被測臨床樣本在整個試驗過程中保持相同的檢測方式,質控品的基質應與實際檢測樣本基質一致或接近。
有關質控品和內對照的具體要求包括以下幾個方面:
5.1陽性質控品中應包含試劑盒所檢測的主要突變類型,建議采用含有滅活乙肝病毒或假病毒的樣本。企業應對陽性質控品的檢測結果做出明確的范圍要求(如Ct值)。
5.2陰性質控品應包含未發生耐藥突變的野生型乙肝病毒核酸,可采用含有滅活乙肝病毒或假病毒的樣本,對可能存在的交叉污染產生的假陽性結果進行質量控制。
5.3內對照(內標)可以對管內抑制導致的假陰性結果進行質量控制,申請人應對內對照(內標)的引物、探針設計和模板濃度做精確驗證,既要保證內標熒光通道呈明顯的陽性曲線又要盡量降低對靶基因檢測造成的抑制。對內對照的檢測結果亦應做出明確的范圍要求(如Ct值)。
6. 企業參考品:應提交有關企業參考品的原料選擇、制備、陰陽性確認等試驗資料。企業參考品應充分考慮產品性能驗證的需要進行設置。具體要求如下:
6.1陽性參考品
陽性參考品制備應采用經滅活的、待測乙肝病毒耐藥突變陽性的樣本,通過測序、同類已上市產品檢測或者其他恰當的方法確認耐藥突變情況。陽性參考品應包含試劑盒所能檢測的所有耐藥突變位點,對于罕見突變型或復雜突變型可采用假病毒樣本。
6.2陰性參考品
陰性參考品制備應采用經滅活的、確認靶序列未發生待測突變的乙肝病毒陽性樣本,樣本類型與適用樣本類型一致。同時應盡量包含適用范圍以外的其它乙肝病毒基因突變陽性樣本,和其它病原體陽性樣本。
6.3檢測限參考品
可選擇最低檢測限水平或略高于檢測限的水平,明確參考品中乙肝病毒核酸濃度和乙肝病毒基因突變百分率,應包含所有的耐藥突變位點,采用適當的陽性檢出率(如95%(n≥20))作為最低檢測限參考品的評價標準。檢測限參考品可采用經滅活的、待測乙肝病毒耐藥突變陽性樣本和假病毒等模擬核酸樣品進行適當的配制。
6.4精密度參考品
精密度參考品應包含申報產品聲稱的主要耐藥突變位點,試劑盒包含不同反應體系時,精密度參考品應至少包含每個反應體系的代表性位點,并至少包括弱陽性(低濃度突變)水平。精密度參考品制備應采用經滅活的、待測乙肝病毒耐藥突變陽性的樣本。
(三)主要生產工藝及反應體系的研究資料
1. 介紹產品主要生產工藝,可以圖表方式表示,并說明主要生產工藝的確定依據。
2. 反應原理介紹。
3. 詳述樣本采集、樣本處理方式的選擇和設置,提供相關的研究資料。
4. 確定最佳反應體系的研究資料,包括樣本類型、樣本用量、各種酶濃度、引物/探針濃度、dNTP濃度、陽離子濃度及反應各階段溫度、時間、循環數等。
5. 不同適用機型的反應條件如果有差異應分別詳述,并提交驗證資料。
6. 如申報產品包含核酸分離/純化試劑,應提交對核酸分離/純化過程進行工藝優化的研究資料。
(四)分析性能評估資料
申請人應提交產品研制階段對試劑盒進行的所有性能評價的研究資料,對于每項分析性能的評價都應包括具體研究目的、試驗方法、可接受標準、試驗數據、統計方法等詳細資料。有關分析性能驗證的背景信息也應在申報資料中有所體現,包括實驗地點、適用儀器、試劑規格、批號和臨床樣本來源等。
分析性能評價的試驗方法可以參考相關的美國臨床實驗室標準化協會批準指南(CLSI-EP)文件或國內有關體外診斷試劑性能評估的指導原則進行。各項性能評價應符合以下要求。
1. 核酸分離/純化性能(如適用)
在進行靶核酸檢測前,應有適當的核酸分離/純化步驟。該步驟的目的除最大量分離出目的核酸外,還應有相應的純化作用,盡可能去除PCR抑制物。無論檢測試劑是否含有核酸分離/純化的組分,企業都應結合檢測試劑的特性,對配合使用的核酸分離/純化試劑針對聲稱樣本類型的提取效率、提取核酸純度等做充分的驗證,提供詳細的驗證資料。
2. 準確度
采用多份包含及不包含待測突變位點的HBV核酸陽性臨床樣本,將試驗用體外診斷試劑與Sanger測序或已上市同類產品等進行對比試驗,評價檢測結果一致性。樣本應包括所有陽性突變位點,并包含不同濃度水平。
考慮到同一耐藥突變發生在不同基因型毒株時對檢測準確度的影響,準確度評價中應適當納入各種HBV基因型(至少包括B、C、D型)樣本,若某些基因型的耐藥突變較為罕見,可以采用假病毒樣本。
3. 最低檢測限
針對所有待測突變位點進行評價,建議采用95%(n≥20)的陽性檢出率作為最低檢測限確定的標準。對于此類產品,擴增反應終體系中的耐藥突變序列所占百分率和總核酸濃度兩個因素對最低檢測限的影響較大,終體系中耐藥突變序列所占百分率越高、所含的總DNA量越多,則越容易檢出。因此,試劑盒最低檢測限評價主要考慮以下兩個方面。
3.1在擴增反應終體系特定核酸濃度下,耐藥突變序列所占百分率的最低檢測限。
采用野生型臨床樣本和具有目標基因突變的假病毒樣本提取的核酸儲備液進行不同比例混合,確定擴增反應終體系中的核酸濃度,并逐漸調整野生型和耐藥突變型核酸儲備液的比例以得到含不同突變序列百分率的混合液。對各份混合液進行不少于20次的重復檢測,確定95%陽性檢出率水平下的最低百分率,作為在固定的核酸濃度條件下,可以檢測到的最低的突變序列百分率。
3.2在特定突變序列百分率下,反應終體系中核酸濃度的最低檢測限。
采用野生型臨床樣本和具有目標基因突變的假病毒樣本提取的核酸儲備液進行特定比例混合,再逐級稀釋成不同核酸濃度樣本,分別對各梯度濃度樣本進行不少于20次的重復檢測,確定95%陽性檢出率的最低核酸濃度。
4.精密度
應對每項精密度評價指標的接受標準做出合理規定,如標準差或變異系數的范圍等。針對本類產品的精密度評價主要包括以下要求:
4.1對可能影響檢測精密度的主要變量進行驗證,除檢測試劑(包括核酸分離/純化組分)本身的影響外,還應對分析儀、操作者、時間、地點、檢測輪次等要素進行相關的驗證。
4.2應針對所有待測突變位點進行精密度驗證。使用臨床樣本進行評價,樣本濃度水平應至少包含弱陽性和中/強陽性,并根據產品特性設定適當的精密度要求,精密度評價中的每一次檢測均應從核酸提取開始。
4.3合理的精密度評價周期,例如:為期至少20天的連續檢測,每天至少由2人完成不少于2次的完整檢測,從而對批內/批間、日內/日間以及不同操作者之間的精密度進行綜合評價。如有條件,申請人應選擇不同的實驗室進行重復實驗以對室間精密度進行評價。
5.分析特異性
5.1交叉反應
HBV耐藥突變檢測試劑交叉反應驗證應考慮HBV各種基因突變及其它病原體的交叉反應性,申請人應提供所有用于交叉反應驗證的病原體、臨床樣本的來源、種屬、型別、基因突變情況和濃度確認等試驗資料。
5.1.1核酸序列具有同源性、易引起相同或相似的臨床癥狀的其它病原體,或待檢測樣本中可能共存的其它病原體核酸的交叉反應,應采用待測核酸序列陰性、其它核酸高濃度樣本進行交叉反應的驗證,如:人類免疫缺陷病毒、丙型肝炎病毒、甲型肝炎病毒、戊型肝炎病毒、人巨細胞病毒、E-B病毒、梅毒螺旋體、人類皰疹病毒6型、單純皰疹病毒1型、單純皰疹病毒2型、甲型流感病毒、痤瘡丙酸桿菌、金黃色葡萄球菌、白色念珠菌等。
5.1.2申報產品包含的不同耐藥突變位點之間的交叉反應,以及申報產品不包含的其它HBV基因突變對被檢測位點的影響等。如:rtL180M、rtA181V/T、rtT184、rtS202、rtM204I/V、rtN236T、rtM250等突變位點之間的交叉反應。
5.2干擾物質
潛在的干擾物質主要包括:內源性干擾物質和外源性干擾物質。
5.2.1內源性干擾物質:樣本中常見干擾物質對檢測結果的影響,如血紅蛋白、甘油三酯、膽紅素等。
5.2.2外源性干擾物質:常用抗凝劑,臨床常用抗病毒藥物如:干擾素、拉米夫定、阿德福韋酯、恩替卡韋、替比夫定、替諾福韋酯和富馬酸丙酚替諾福韋等對檢測結果的影響。
5.2.3建議在待測核酸的臨界值水平對每種干擾物質的干擾影響進行檢測,并針對各種耐藥突變序列分別進行評價。干擾物濃度的分布應覆蓋人體生理及病理狀態下可能出現的物質濃度。應注明不同干擾物質對被檢測物質無干擾的最高限值。
(五)陽性判斷值確定資料
對于此類試劑,陽性判斷值即為針對每個突變基因能夠獲得理想的臨床靈敏度和臨床特異性的臨界值(Cutoff),對于熒光探針PCR方法即為Ct值的確定資料。建議采用受試者工作特征曲線(ROC)的方式進行相關研究。申請人應選取適當的足夠數量的臨床樣本進行試驗以確定陽性判斷值。
(六)穩定性研究資料
穩定性研究資料主要涉及兩部分內容,申報試劑的穩定性和適用樣本的穩定性研究。前者主要包括實時穩定性(有效期)、開瓶穩定性、凍融次數限制等研究,申請人可根據實際需要選擇合理的穩定性研究方案。穩定性研究資料應包括研究方法的確定依據、具體的實施方案、詳細的研究數據以及結論。對于實時穩定性研究,應提供至少三批樣品在實際儲存條件下保存至成品有效期后的研究資料。
樣本穩定性研究,可以在合理的溫度范圍內,每間隔一定的時間段即對儲存樣本進行分析驗證,從而確認不同類型樣本的穩定性。冷凍保存的樣本還應對凍融次數進行評價。
對于樣本進行核酸提取后不能立即進行檢測的,應明確提取核酸的儲存條件、儲存時間等內容,同時應提供相應的核酸穩定性研究資料。
試劑穩定性和樣本穩定性兩部分內容的研究結果均應在說明書【儲存條件及有效期】和【樣本要求】兩項中進行詳細說明。
(七)產品風險分析資料
申請人應參考YY/T 0316《醫療器械 風險管理對醫療器械的應用》規定的過程和方法,在產品生命周期內可能造成的危害進行識別,對每一危害處境的風險進行判定和評價,形成風險管理報告,控制這些風險并監視控制的有效性,充分保證產品的安全性和有效性。
(八)臨床試驗
臨床試驗的開展、方案的制定以及報告的撰寫等均應符合相關法規及《體外診斷試劑臨床試驗技術指導原則》(國家食品藥品監督管理總局通告2014年第16號)的要求,如相關法規、文件有更新,臨床試驗應符合更新后的要求。
1.臨床試驗方法
1.1已有同類產品上市的情形
選擇已上市同類產品作為對比試劑,進行比較研究,評價耐藥突變位點的檢測性能。
對比試劑的選擇應從預期用途、樣本要求、檢測性能等方面,確認其與試驗用體外診斷試劑具有較好的可比性,并提交相應的比對資料。
1.2無同類產品上市的情形
1.2.1如新的乙肝病毒耐藥突變位點用于乙肝用藥指導已獲行業認可(包括:國內相關指南或專家共識、相關藥物說明書、臨床應用等的認可),在無同類產品上市的情況下,臨床試驗中可選擇Sanger測序法或其他適當的方法作為對比方法進行比較研究,評價耐藥突變位點的檢測性能。
1.2.2如新的乙肝病毒耐藥突變位點用于乙肝用藥指導尚未獲行業認可,臨床試驗應包括兩個試驗目的,耐藥突變位點檢測性能評價及耐藥突變與抗病毒藥物敏感性的相關性評價。耐藥突變位點檢測性能評價可參考1.2.1的試驗方法,耐藥突變與抗病毒藥物敏感性的相關性評價,應以體外表型分析作為參考標準,評價突變位點與體外表型分析的一致性。
針對Sanger測序和體外表型分析方法的建立、驗證和質量控制,應提交詳細的研究論述,相關內容納入臨床試驗報告中。
2.受試者選擇和樣本例數
2.1受試者選擇:臨床試驗受試者應根據產品聲稱的適用人群進行選擇,應包含各種突變型樣本,以及各種可能的干擾樣本、交叉反應樣本(其它病原體陽性)等。
2.2樣本例數
臨床試驗樣本量應滿足統計學要求,可采用適當的統計學方法進行估算。根據相應臨床試驗設計,本臨床試驗可依據試驗用體外診斷試劑相對于對比試劑的陰、陽性符合率或相對于臨床參考標準的靈敏度和特異度分別估算最低陰、陽性樣本例數。
2.2.1耐藥突變位點檢測性能評價的樣本量估算
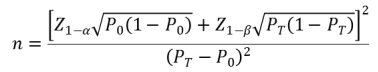
對于耐藥突變位點檢測性能的評價,臨床樣本量的估算建議采用如下樣本量公式計算,
公式中,n為樣本量;Z1-α、Z1-β為顯著性水平和把握度的標準正態分布的分數位,P0為評價指標的臨床可接受標準,PT為試驗用體外診斷試劑評價指標預期值。
以已上市同類產品作為對比試劑的比較研究中,陰陽性符合率的臨床可接受標準(P0)建議不低于95%,若以Sanger測序法作為對比方法,臨床可接受標準(P0)可適當降低。應證明產品與對比試劑/方法的陰陽性符合率(可信區間下限)不低于預設的臨床可接受標準(P0)。當評價指標P接近100%時,上述樣本量估算方法可能不適用,應考慮選擇更加適宜的方法進行樣本量估算和統計學分析,如精確概率法等。
如申報產品為多突變位點檢測試劑,則其中常見的突變位點陽性樣本例數應分別具有統計學意義,罕見的突變位點應有一定的陽性樣本例數,保證臨床性能得到充分的確認。
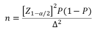
2.2.2新基因突變位點與抗病毒藥物敏感性的相關性評價的樣本量估算
樣本量的估算可采用如下抽樣調查的公式計算:
公式中n為樣本量,Z1-α/2為置信度標準正態分布的分位數,P為評價指標預期值,Δ為P的允許誤差大小。應注意,P和Δ的取值應有充分依據,其中Δ的常用取值為0.05,但當預期值更高時應考慮更優的精度。
2.2.3臨床試驗總體樣本量確定時應在上述陰、陽性樣本最低樣本量估算的基礎上,同時考慮其他可能造成受試者脫落的情況以及可能需要納入的干擾樣本、交叉反應樣本等情況適當增加入組樣本量。
此類產品的檢測樣本類型一般為血清或血漿,如果樣本類型同時包括血清和血漿,且臨床前研究證明兩種樣本類型檢測一致性較好,則臨床試驗可以其中一種樣本類型為主完成如上臨床試驗,同時另一種樣本類型采用一定數量樣本進行對比試驗(同源樣本對比或同類產品對比)驗證即可,其中應包括一定數量的陽性和陰性樣本,陽性樣本中盡量包含預期適用的所有突變位點。
3.臨床研究單位的選擇
應選擇不少于3家(含3家)臨床試驗機構,按照相關法規、指導原則的要求開展臨床試驗。臨床試驗機構的選擇應充分考慮擬申報產品的特點和預期用途,綜合流行病學背景,使臨床試驗機構和受試者的選擇具有一定的地域代表性。實驗操作人員應有足夠的時間熟悉檢測系統的各環節,熟悉臨床試驗方案。
4. 統計學分析
應選擇合適的統計方法對臨床試驗結果進行統計分析,對于試驗用體外診斷試劑與對比試劑(方法)/參考標準的一致性評價,常選擇交叉四格表形式總結兩種試劑/方法的檢測/診斷結果,評價指標一般包括臨床靈敏度、臨床特異度、陽性符合率和陰性符合率等。
對于此類產品,每種突變類型均應分別進行統計學分析,對于不一致樣本,應進行可能的原因分析,如臨床試驗方案規定采用其他方法進行確認,則確認結果不應納入統計分析。
5.倫理學要求
臨床試驗必須符合赫爾辛基宣言的倫理學準則。研究者應考慮臨床試驗用樣本的獲得和試驗結果對受試者的風險,提請倫理委員會審查,并獲得倫理委員會的同意。注冊申報時應提交倫理委員會的審查意見。
6.臨床試驗方案
臨床試驗實施前,研究人員應從流行病學、統計學、臨床醫學、檢驗醫學等多方面考慮,設計科學合理的臨床試驗方案。各臨床試驗機構應執行統一的臨床試驗方案,且保證在整個臨床試驗過程中遵循預定的方案實施,不可隨意改動。整個試驗過程應在臨床試驗機構的實驗室內并由本實驗室的技術人員操作完成,申報單位的技術人員除進行必要的技術指導外,不得隨意干涉實驗進程,尤其是數據收集過程。
試驗方案中應確定嚴格的病例納入/排除標準,任何已經入選的病例再被排除出臨床試驗都應記錄在案并明確說明原因。在試驗操作過程中和判定試驗結果時應采用盲法以保證試驗結果的客觀性。
7.質量控制
臨床試驗開始前,建議進行臨床試驗的預試驗,以熟悉并掌握相關試驗方法的操作、儀器、技術性能等,最大限度控制試驗誤差。整個試驗過程都應處于有效的質量控制下,最大限度保證試驗數據的準確性及精密度。
8.臨床試驗報告撰寫
臨床試驗報告應該對試驗的整體設計及各個關鍵點給予清晰、完整的闡述,應該對整個臨床試驗實施過程、結果分析、結論等進行條理分明的描述,并應包括必要的基礎數據和統計分析方法,最后得出臨床試驗結論。臨床試驗報告的撰寫參考《體外診斷試劑臨床試驗技術指導原則》的相關要求。
(九)產品技術要求
申請人應當在原材料質量和生產工藝穩定的前提下,根據申請人產品研制、前期性能評估等結果,依據國家標準、行業標準及有關文獻,按照《醫療器械產品技術要求編寫指導原則》(國家食品藥品監督管理總局通告2014年第9號)的有關要求,編寫產品技術要求。
該試劑的產品性能指標應主要包括:物理性狀、陰/陽性參考品符合率、精密度、最低檢測限等。性能指標應依據分析性能評估試驗結果確定,檢驗方法應明確具體操作方法和使用的樣本及參考品情況。
該產品為第三類體外診斷試劑,申請人應按照《醫療器械產品技術要求編寫指導原則》的要求,以附錄形式明確主要原材料、生產工藝及半成品要求,附錄的編制應符合相關編寫規范的要求。
(十)產品檢驗報告
應依據產品技術要求,在符合《辦法》要求的醫療器械檢驗機構進行連續3個生產批次樣品的檢驗,提供檢驗合格報告。
(十一)產品說明書
說明書承載了產品預期用途、標本采集及處理、檢驗方法、檢驗結果解釋以及注意事項等重要信息,是指導實驗室工作人員正確操作、臨床醫生針對檢驗結果給出合理醫學解釋的重要依據,因此產品說明書是體外診斷試劑注冊申報最重要的文件之一。產品說明書的格式應符合《體外診斷試劑說明書編寫指導原則》(國家食品藥品監督管理總局通告2014年第17號)的要求,進口體外診斷試劑的中文說明書除格式要求外,其內容應盡量保持與原文說明書的一致性,翻譯力求準確且符合中文表達習慣。產品說明書中相關技術內容均應與申請人提交的注冊申報資料中的相關研究結果保持一致,如某些內容引用自參考文獻,則應以規范格式對此內容進行標注,并單獨列明文獻的相關信息。
結合《體外診斷試劑說明書編寫指導原則》的要求,下面對乙型肝炎病毒耐藥相關的基因突變檢測試劑說明書的重點內容進行詳細說明,以指導注冊申報人員更合理地完成說明書編制。
1.【預期用途】
1.1本產品用于體外定性檢測來自乙型肝炎病毒核酸陽性患者的血清/血漿樣本中的×××(具體的突變型)耐藥突變。本產品用于對×××藥物耐藥的輔助診斷。
1.2適用人群:應為核苷(酸)類似物治療過程中出現病毒學突破的乙型肝炎患者,除非有明確證據表明初治患者感染乙肝病毒來自于接受核苷(酸)類似物抗病毒治療患者。一般不主張對初治患者進行基因型耐藥檢測。
1.3簡要介紹乙型肝炎病毒耐藥突變位點的特征,包括突變位點的描述,所檢測的耐藥突變位點與相應藥物的相關性。
1.4強調該試劑盒檢測結果僅供臨床參考,不應作為治療藥物調整的唯一依據,臨床醫生應結合患者病情及其他實驗室檢測指標等因素對患者治療進行綜合判斷。
2.【檢驗原理】
詳細說明試劑盒檢測技術原理,包括核酸分離/純化方法、原理。說明檢測的耐藥突變位點信息;介紹引物及探針設計、不同樣品反應體系(管)組合、質控品設置及熒光信號標記等。如添加了相關的防污染組分(如尿嘧啶DNA糖基化酶,即UDG/UNG等),也應對其作用機理作適當介紹。
3.【主要組成成分】
詳細說明試劑盒內各組分的名稱、數量、成分、濃度等信息,如含有生物源性物質,應說明其生物學來源、活性及其他特性;說明不同批號試劑盒中各組分是否可以互換。
試劑盒中不包含但對該項檢測必須的組分,應列出相關試劑的生產企業、產品名稱、貨號以及醫療器械注冊證號/備案號(如有)等詳細信息。當試劑盒中不包含用于核酸分離/純化的試劑組分時,應在此注明經驗證后可以配合使用的商品化核酸分離/純化試劑盒的如上信息。
4.【儲存條件及有效期】
試劑盒的效期穩定性、開瓶穩定性、復溶穩定性、凍融次數要求等,應與相應的穩定性研究結論一致。注明“生產日期及有效期至(或失效日期)見標簽。”
5.【適用儀器】
明確所有適用的儀器型號,提供與儀器有關的重要信息以指導用戶操作。
6.【樣本要求】
明確適用的樣本類型,并詳細描述樣本采集及預處理要求、運輸要求、保存條件及期限等。
7.【檢驗方法】
詳細說明實驗操作的各個步驟,包括:
7.1試劑配制方法、注意事項。
7.2核酸分離/純化的條件、步驟及注意事項。質控品參與樣本核酸的平行提取的要求等。
7.3擴增反應前準備:各組分加樣體積、順序、相關注意事項等。
7.4 PCR各階段的溫度、時間設置、循環數設置及相關注意事項。
7.5儀器設置:特殊參數,待測基因、內標的熒光通道選擇等。
7.6質量控制:說明質控品的檢測要求。
8.【陽性判斷值】
簡要總結陽性判斷值研究方法及結論。明確說明樣本的陽性判斷值。
9.【檢驗結果的解釋】
說明質控品、內標的正確結果要求,結合質控品以及樣本管中靶基因和內標的檢測結果,對所有可能出現的結果組合及相應的解釋進行詳述。檢驗結果的解釋應以陽性判斷值的研究結論為依據。
10.【檢驗方法的局限性】
應至少包括如下描述:
10.1本試劑檢測結果應結合患者臨床癥狀及其他相關醫學檢查結果進行綜合分析,不得單獨作為患者管理的依據。
10.2本產品僅檢測靶標區域內突變引起的耐藥。由其他基因或基因區域的突變、以及其他耐藥機制引起的耐藥本產品不能檢出。
10.3不合理的樣本采集、轉運及處理以及不當的實驗操作和實驗環境均有可能導致假陰性或假陽性結果。
10.4未經驗證的其他干擾或PCR抑制因子等可能會導致假陰性結果。
11.【產品性能指標】
詳述分析性能評估的試驗結果并簡要描述臨床試驗的基本信息、試驗方法和結論。
12.【注意事項】
應至少包括以下內容:
12.1如該產品含有人源或動物源性物質,應給出生物安全性的警告。
12.2臨床實驗室應嚴格按照《醫療機構臨床基因擴增實驗室管理辦法》(衛辦醫政發〔2010〕194號或現行有效版本)等有關分子生物學實驗室、臨床基因擴增實驗室的管理規范執行。
12.3強調產品性能僅針對聲稱的適用樣本類型及【樣本要求】項下說明的樣本采集和處理方法進行了驗證,其他樣本類型或樣本采集、處理方法不能保證產品性能。
12.4強調:實驗操作人員應接受過基因擴增或分子生物學方法檢測的專業培訓,具備相關的實驗操作資格,實驗室應具備合理的生物安全防備設施及防護程序。
1. 乙型肝炎病毒耐藥專家委員會,乙型肝炎病毒耐藥專家共識:2009年更新,中華實驗和臨床感染病雜志,2009年2月第3卷第l期。
2. 顏學兵,周培培,王磊,對乙型肝炎病毒耐藥專家共識的幾點看法,中華實驗和臨床感染病雜志,2008,2:205-209。
3. 中華醫學會肝病學分會,中華醫學會感染病學分會,慢性乙型肝炎防治指南,中華肝臟病雜志,2005,13:881-891。
4. 張樹永,陳琛,馬慶偉,曲芬,乙型肝炎抗病毒治療中的耐藥基因突變檢測技術,傳染病信息,2016年10月30日第29卷第5期。
5. 王貴強,王福生,成軍等 慢性乙型肝炎防治指南(2015
年版),中華實驗和臨床感染病雜志,2015,9(5):1-18。
6. 丁善龍,王杰,魯鳳民,乙型肝炎研究及我國防治現狀,傳染病信息,2013,26(6):368-372。
7. 姚偉明,徐東平,抗HBV藥物靶位的研究進展,傳染病信息,2013,26(6):323-326。
8. Tim Shaw,Angeline Bartholomeusz,Stephen Locarnini. HBV drug resistance:Mechanisms,detection and interpretation. Journal of Hepatology,44,(2006):593-606.
9. Fabien Zoulim,Stephen Locarnini. Hepatitis B Virus Resistance to Nucleos(t)ide. Analogues Gastroenterology,2009,137:1593-1608.
10. Paul Martin,Daryl T.-Y. Lau. A Treatment Algorithm for the Management of Chronic Hepatitis B Virus Infection in the United States:2015 Update. Clinical Gastroenterology and Hepatology,2015,13:2071-2087.
國家藥品監督管理局醫療器械技術審評中心。

站點聲明
本網站所提供的信息僅供參考之用,并不代表本網贊同其觀點,也不代表本網對其真實性負責。圖片版權歸原作者所有,如有侵權請聯系我們,我們立刻刪除。如有關于作品內容、版權或其它問題請于作品發表后的30日內與本站聯系,本網將迅速給您回應并做相關處理。
鄭州思途醫療科技有限公司專注于醫療器械產品政策與法規規事務服務,提供產品注冊備案申報代理、臨床試驗、體系建立輔導、分類界定、申請創新辦理服務。
《海南博鰲樂城國際醫療旅游先行區臨床急需進口藥品帶離先行區使用管理暫行辦法》已經3月24日海南博鰲樂城國際醫療旅游先行區領導小組會議審議通過,現印發給你們,請遵照執行
為規范醫療器械注冊人跨區域委托生產的監督管理,推進長江三角洲區域醫療器械跨區域監管,根據《中共中央辦公廳國務院辦公廳關于深化審評審批制度改革鼓勵藥品醫療器械創新的意見》《
《海南博鰲樂城國際醫療旅游先行區醫療機構制劑調劑使用管理暫行辦法》已經3月24日海南博鰲樂城國際醫療旅游先行區領導小組會議審議通過,現印發給你們,請遵照執行。
附件:血液透析用水處理設備注冊審查指導原則(2024年修訂版)(2024年第19號).doc血液透析用水處理設備注冊審查指導原則(2024年修訂版)本指導原則旨在指導注冊申請人對血液透析用水處理設備注冊申報資料的準備及撰寫,同時也為技術審評部門提供參考。本指導原則是對血液透析用水處理設備的一般要求,注冊申請人依據產品的具體特性確定其中內容是否適用。若不適用,要具體闡述理由及相應的科學依據,并依據產
本指導原則旨在幫助和指導注冊申請人對一次性使用腹部穿刺器注冊申報資料進行準備,以滿足技術審評的基本要求。同時有助于審評機構對該類產品進行科學規范的審評,提高審評工
附件:重組膠原蛋白創面敷料注冊審查指導原則(2023年第16號).doc重組膠原蛋白創面敷料注冊審查指導原則本指導原則旨在指導注冊申請人準備及撰寫重組膠原蛋白創
國家藥監局關于發布免于臨床試驗的體外診斷試劑臨床評價技術指導原則的通告(2021年第74號)發布時間:2021-09-24為指導體外診斷試劑的臨床評價工作,根據
為深化藥品審評審批制度改革,鼓勵創新,進一步推動我國藥物臨床試驗規范研究和提升質量,國家藥品監督管理局會同國家衛生健康委員會組織修訂了《藥物臨床試驗質量管理規范》
國家藥監局藥審中心關于發布《抗腫瘤藥物臨床試驗中SUSAR分析與處理技術指導原則》的通告(2024年第42號) 發布日期:20241010
國家藥監局器審中心關于發布影像型超聲診斷設備(第三類)注冊審查指導原則(2023年修訂版)的通告(2024年第29號)發布時間:2024-10-14為進一步規范
行業資訊
知識分享
八年
醫療器械服務經驗
聯系思途,免費獲得專屬《落地解決方案》及報價
咨詢相關問題或咨詢報價,可以直接與我們聯系
思途CRO——醫療器械注冊臨床第三方平臺
