海南博鰲樂城國際醫療旅游先行區臨床急需進口藥品帶離先行區使用管理暫行辦法(瓊藥監綜〔2020〕3號)
《海南博鰲樂城國際醫療旅游先行區臨床急需進口藥品帶離先行區使用管理暫行辦法》已經3月24日海南博鰲樂城國際醫療旅游先行區領導小組會議審議通過,現印發給你們,請遵照執行
來源:醫療器械注冊代辦 發布日期:2020-05-14 閱讀量:次
附件:登革病毒核酸檢測試劑注冊技術審查指導原則(2020年第32號).doc
本指導原則旨在指導注冊申請人對登革病毒核酸檢測試劑注冊申報資料的準備及撰寫,同時也為技術審評部門審評注冊申報資料提供參考。
本指導原則是對登革病毒核酸檢測試劑的一般要求,申請人應依據產品的具體特性確定其中內容是否適用,若不適用,需具體闡述理由及相應的科學依據,并依據產品的具體特性對注冊申報資料的內容進行充實和細化。
本指導原則是供申請人和審查人員使用的指導文件,不涉及注冊審批等行政事項,亦不作為法規強制執行,如有能夠滿足法規要求的其他方法,也可以采用,但應提供詳細的研究資料和驗證資料。應在遵循相關法規的前提下使用本指導原則。
本指導原則是在現行法規、標準體系及當前認知水平下制定的,隨著法規、標準的不斷完善和科學技術的不斷發展,本指導原則相關內容也將適時進行調整。
登革熱是由登革病毒(dengue virus,DV)引起的一種急性傳染病,廣泛流行于全球熱帶及亞熱帶地區,通常由蚊媒傳播。登革病毒感染可表現為無癥狀隱性感染、非重癥感染及重癥感染等。典型的登革熱病程分為三期,即急性發熱期、極期和恢復期。
登革病毒屬黃病毒科黃病毒屬,為RNA病毒,基因組由單股正鏈RNA組成,共有4個血清型(DENV-1、DENV-2 DENV-3和DENV-4),4種血清型均可引起登革熱的感染和流行,各型病毒間抗原性有交叉。與寨卡病毒、乙腦病毒、西尼羅病毒等其他黃病毒抗原性有交叉。
登革病毒感染的常用的實驗室檢測包括血常規、血生化檢查、病原學和血清學檢查等。核酸檢測是登革熱病原學檢測的重要參考。我國《登革熱診療指南(2014年第2版)》中,明確:患者急性發熱期可應用登革病毒核酸檢測進行早期診斷。疑似或臨床診斷病例,急性期血清檢測出病毒核酸,可作為確診依據。我國衛生行業標準《登革熱診斷》(WS 216—2018),也將登革病毒RNA檢測列入登革熱病原學檢測方法,用于登革熱的早期診斷。
登革病毒核酸檢測試劑是指:利用分子生物學檢測技術,如逆轉錄-聚合酶鏈式反應(RT-PCR)等,以登革病毒共有的核酸序列為檢測靶標,對血液樣本中的登革病毒進行體外定性檢測的試劑,用于登革熱的輔助診斷。
本指導原則的技術要求是基于熒光探針PCR方法建立的,對于其他分子生物學檢測技術,可能部分要求不完全適用或本文所述技術指標不夠全面,申請人可以根據產品特性對不適用部分進行修訂或補充其他的評價和驗證,但需闡述不適用的理由,并驗證替代方法的科學合理性。
本指導原則適用于以登革病毒共有的靶核酸序列作為靶標進行檢測的試劑,對于預期用途為登革病毒分型核酸檢測試劑,可能部分要求不完全適用或本文所述技術指標不夠全面,申請人可以根據產品特性對不適用部分進行修訂或補充其他的評價和驗證,但需闡述不適用的理由,并驗證替代方法的科學合理性。
本指導原則適用于進行首次注冊申報和相關許可事項變更的產品。
(一)綜述資料
綜述資料主要包括產品預期用途、產品描述、有關生物安全性的說明、研究結果的總結評價以及國內外同類產品上市情況介紹等內容。其中,同類產品上市情況介紹部分應著重從方法學、檢驗原理、最低檢測限及被測靶核酸序列的特性等方面寫明申報試劑與目前市場上已獲批準的同類產品之間的主要區別。若被測物為新的靶核酸序列,則應詳細論述檢測靶標與登革熱診斷的相關性,并提供充分的支持資料。
綜述資料應符合《體外診斷試劑注冊管理辦法》(國家食品藥品監督管理總局令第5號,以下簡稱《辦法》)和《關于公布體外診斷試劑注冊申報資料要求和批準證明文件格式的公告》(國家食品藥品監督管理總局公告2014年第44號)的相關要求。
(二)主要原材料的研究資料
應提供主要原材料如引物、探針、酶、陰性對照、陽性對照、內對照以及企業參考品等的選擇與來源、制備過程、質量分析和質量控制標準等的研究資料。若主要原材料為企業自己生產,其生產工藝必須相對穩定;如主要原材料購自其他供貨商,應提供的資料包括:供貨商提供的質量標準、出廠檢定報告或性能指標證書,以及該原材料到貨后的質量檢驗資料。
申請人應提供企業參考品的詳細制備過程,包括組成、來源、毒株特性(如名稱、型別、濃度)、溯源及定值資料等信息。企業參考品的項目應包括:陰性參考品、陽性參考品、最低檢測限參考品、重復性參考品等。陽性參考品應包含DENV-1、DENV-2 DENV-3和DENV-4型標準毒株或臨床分離株;陰性參考品則主要涉及對分析特異性(交叉反應)的驗證情況;精密度參考品應至少包含兩個濃度水平,其中包含弱陽性水平。建議采用滅活的毒株建立企業參考品,不宜僅采用質粒、假病毒、基因組提取/純化物等核酸。
申報試劑的質控體系應包含陽性、陰性、內對照(內標)等。對樣本核酸提取/純化、配液及加樣、試劑及儀器性能、擴增反應抑制物(管內抑制)、交叉污染、靶核酸降解等因素可能造成的假陰性或假陽性結果,進行質量控制。企業應對各種對照的Ct值或相應判斷數值做出明確的范圍要求。申報資料應詳細描述對照的原料選擇、制備、定值過程等試驗資料。
1.內對照(內標)
內對照可對實驗過程可能存在的擴增反應抑制物、儀器、試劑和操作等所導致的假陰性結果進行質量控制。申請人應對內對照(內標)的目的序列設計、構建進行詳細的闡述,并對引物、探針和模板濃度做精確的驗證,既要保證內標熒光通道呈明顯的陽性曲線又要盡量降低對靶核酸序列檢測造成的抑制而導致假陰性。
2.陽性對照
陽性對照可對實驗完整過程進行質控。陽性對照可為:含有靶核酸序列的病毒樣顆粒或滅活的登革病毒標準毒株或臨床分離株,濃度水平為高于最低檢測限水平的弱陽性或中等陽性。企業應對各種陽性對照的Ct值或相應判斷數值做出明確的范圍要求。
3.陰性對照
陰性對照對可能存在的由非特異性引起的假陽性進行質控。陰性對照不含待測靶序列,基質應盡量與待測樣本相同或相近。需參與樣本核酸的平行提取/純化。
4.空白對照(如適用)
由不含模板的緩沖液或樣本保存液組成,用于對擴增過程中可能出現的外界靶核酸污染和其他升高的背景進行質控。空白對照需參與樣本核酸的平行提取/純化。對于一些經特殊設計的檢測試劑,可不常規設置空白對照。如:采用單管獨立反應體系進行檢測的試劑。此時應詳述不進行設置的考慮。
5.核酸提取/純化組分(如適用)的主要組成、原理介紹及相關的驗證資料。
6.PCR組分的主要材料(包括引物、探針、各種酶及其他主要原料)的選擇、制備、質量標準及實驗研究資料,主要包括以下內容:
6.1脫氧三磷酸核苷(dNTP)
對純度、濃度、保存穩定性等的詳細資料。
6.2引物和探針
需提供靶序列選擇的研究資料;引物、探針的設計資料,包括設計原則、序列信息,設計合理性分析等,需提供對序列準確性、純度、濃度、穩定性、功能性實驗等的詳細資料。如為外購,還應提供合成機構出具的合成產物的質檢證明。
6.3 PCR反應所需酶
DNA聚合酶,應具有DNA聚合酶活性,無核酸內切酶活性,具熱穩定性,如:94℃保溫1小時后仍保持50%活性;應提供有關外觀、保存穩定性、活性及功能實驗等的詳細資料。
逆轉錄酶,應具有聚合酶活性,在適宜溫度條件下可進行有效的逆轉錄反應。應提供有關外觀、保存穩定性、活性及功能實驗等的驗證資料。
7. RNase抑制劑(如適用)
可抑制RNA酶可能造成的污染。應提供外觀、活性及功能性試驗的驗證資料。
(三)主要生產工藝及反應體系的研究資料
主要生產工藝包括:配制工作液、半成品檢定、分裝和包裝。配制工作液的各種原材料及其配比應符合要求,原材料應混合均勻,配制過程應對pH等關鍵參數進行有效控制。
生產工藝研究資料應能對反應體系涉及到的基本內容,如樣本用量、試劑用量、反應條件、質控體系設置、Ct(臨界)值確定等,提供確切的依據,主要包括以下內容:
1.主要生產工藝介紹,可以圖表方式表示。
2.對生產工藝主要控制點進行闡述。
3.核酸提取/純化方法確定的研究資料。
4.確定最佳PCR反應體系的研究資料,包括酶濃度、引物/探針濃度、dNTP濃度、陽離子濃度、樣本量及反應體積等。
5.確定PCR反應各階段溫度、時間及循環數的研究資料。
6.對于基線閾值(threshold)和閾值循環數(Ct)確定的研究資料。
(四)分析性能評估資料
企業應提交在產品研制階段對申報試劑進行的所有性能驗證的研究資料,包括具體的試驗方法(操作步驟)、內控標準、實驗數據、統計分析等詳細資料。對于登革病毒核酸檢測試劑,建議著重對以下分析性能進行研究。
1.檢出能力
1.1最低檢測限的確定
建議使用DENV-1~DENV-4型培養后的登革病毒原液的梯度稀釋液來確定最低檢測限。應采用與待測樣本類型一致的樣本進行稀釋。每個濃度梯度重復3~5份,每份進行不少于20次的重復檢測,將具有95%陽性檢出率的濃度作為最低檢測限。應明確毒株的來源、濃度、濃度的確定方法和制備稀釋方法等信息。企業可采用半數組織感染量測定法(TCID50)的方法進行毒株濃度的確認,以TCID50/mL作為毒株濃度的表示方式;也可采用空斑形成單位(PFU)的方法進行毒株濃度的確認,以PFU /mL作為毒株濃度的表示方式進行毒株濃度的確認。
1.2最低檢測限的驗證
在最低檢測限或接近最低檢測限濃度對DENV-1~DENV-4型登革病毒進行驗證。每個血清型應至少選擇多個流行毒株進行驗證。企業應能夠提供用于最低檢測限驗證的各個毒株的來源、制備方法及濃度等信息。
1.3 申請人應明確申報產品最低可檢出的登革病毒拷貝數水平,并提供確定過程及相關的實驗數據,本研究應針對四種不同的血清型分別進行確認。
2.分析特異性
2.1交叉反應
交叉反應驗證的病原體種類主要考慮以下幾方面:核酸序列具有同源性、易引起相同或相似的臨床癥狀的和常見感染的其他病原體。具體目錄參見表1。
建議在病原體感染的醫學相關水平進行交叉反應的驗證。建議進行交叉反應驗證的細菌的最低濃度為106 CFU/mL(CFU:菌落形成單位);進行交叉反應驗證的病毒,如可進行體外培養,其最低濃度為1×105 TCID50/mL。應提供用于交叉反應驗證的病原體的制備方法、來源、種屬和濃度等信息。
對于某些難以培養或者因為生物安全性無法培養的病原體,可采用病原體核酸樣本進行交叉反應的驗證。應提供用于交叉反應驗證的病原體核酸的來源、組成和濃度等信息。采用病原體核酸樣本進行試驗時,應將核酸樣本視為實際使用過程中參與PCR反應的核酸樣本,根據試劑說明書的要求配制PCR反應體系,進行擴增。
有關交叉反應驗證的信息應以列表的方式在產品說明書的【產品性能指標】項中體現。


2.2干擾物質
潛在的干擾物質主要包括:內源性物質(如脂血、溶血、黃疸等)、抗凝劑干擾和外源性藥物。
建議申請人在每種干擾物質的潛在最大濃度(最差條件)條件下,采用包含弱陽性樣本在內的至少兩個登革病毒濃度水平的樣本進行干擾研究。對于常見藥物干擾試驗,建議參照相應藥物藥代動力學研究確定的治療藥物濃度添加相應藥物進行干擾驗證。

3.精密度
測量精密度的評價方法并無統一的標準可依,可根據不同產品特征或企業的研究習慣進行,前提是必須保證研究的科學合理性。具體實驗方法可以參考國內或國外的相關文件進行。企業應對每項精密度指標的評價標準做出合理要求,如標準差或變異系數的范圍等。針對申報試劑的精密度評價主要包括以下要求。
3.1對可能影響檢測精密度的主要變量進行驗證,除申報試劑(包括提取/純化組分和PCR組分)本身的影響外,還應對不同的適用機型(如PCR分析儀)、操作者、地點等要素進行相關的驗證。
3.2合理的精密度評價周期,例如:為期至少12天的檢測,每天至少由2人完成不少于2次的完整檢測,從而對批內/運行間、日內/日間以及不同操作者之間的精密度進行綜合評價。如有條件,申請人應選擇不同的實驗室進行重復實驗以對室間精密度進行評價。對于校準周期較短的試劑,如短于2個月,精密度研究時間跨度應至少包含兩個校準周期。
3.3建議采用臨床樣本或采用含有靶核酸序列的病毒樣顆粒/登革病毒標準毒株(“3.3.1陰性樣本”不適用)添加至與適用樣本類型一致的基質中作為樣本,對至少包含陰性和弱陽性濃度的四個濃度水平進行驗證:
3.3.1陰性樣本:不含待測靶物質的樣本,陰性檢出率應為100%(n≥20)。
3.3.2 高陰性/弱陽性樣本(C20~C80):濃度略低于試劑盒的陽性判斷值,重復檢測陰性率為20%~80%。(n≥20)。
3.3.3弱陽性樣本:濃度略高于試劑盒的陽性判斷值,陽性檢出率應高于95%(n≥20)。
3.3.4中等陽性樣本:濃度高于試劑盒的陽性判斷值,陽性檢出率應100%(n≥20)。
4.核酸分離/純化性能
在進行靶核酸檢測前,應有適當的核酸分離/純化步驟。血清/血漿樣本經不同的核酸分離/純化過程所獲得登革病毒核酸的純度和核酸量會有不同。因此,無論檢測試劑是否包含有核酸分離/純化的組分,申請人都應結合檢測試劑的性能,對配合使用的核酸分離/純化試劑(方法)的提取效率、提取濃度和抗干擾進行充分的驗證。
對于說明書中聲稱可配合兩個或以上提取試劑或提取方法的檢測試劑。申請人應對選定的每一種提取試劑/方法進行驗證,一般而言,至少包含最低檢測限和精密度的驗證。
(五)陽性判斷值確定資料
對于基于熒光探針PCR方法的檢測試劑,陽性判斷值確定資料主要是指Ct值的確定資料。申請人應采用適當的統計學方法建立檢測試劑的陽性判斷值。申請人可采用受試者工作特征(ROC)曲線的方式確定申報試劑用于結果判斷的臨界值。有關ROC曲線分析的細節,請參考國內外相關的文件。如存在灰區,應提交灰區確定的詳細的研究資料。
(六)穩定性研究資料
穩定性研究資料主要涉及兩部分內容,申報試劑的穩定性和樣本的穩定性研究。前者主要包括實時穩定性(有效期)、開瓶穩定性、運輸穩定性(如適用)及凍融次數限制(如適用)等研究,申請人可根據實際需要選擇合理的穩定性研究方案。穩定性研究資料應包括研究方法、接受標準、詳細的研究數據以及結論。對于實時穩定性研究,應提供至少三批試劑在實際儲存條件下保存至成品有效期后的研究資料。
考慮到病毒RNA極易被降解的特性,企業也應對樣本穩定性進行研究,主要包括冷藏、冷凍(如適用)和運送條件下的有效期驗證。適于冷凍保存的樣本還應對凍融次數進行評價。
對于樣本提取后不能立即進行檢測的,應明確核酸儲存條件、儲存時間等,同時應提供相應的核酸穩定性研究資料,核酸樣本如可以冷凍,亦應提交凍融次數研究資料。
試劑穩定性和樣本穩定性兩部分內容的研究結果均應在說明書【儲存條件及有效期】和【樣本要求】兩項中進行詳細說明。
(七)臨床評價
1.研究方法
1.1如有同類產品上市,申請人可選擇已上市產品作為參比試劑針對臨床樣本進行比較研究試驗,證明試驗用體外診斷試劑與已上市產品等效。選擇參比試劑時,應充分考慮其分析性能,如最低檢測限等,確保考核試劑與參比試劑具有可比性。
1.2申請人亦可采用核酸序列測定方法作為參比方法,驗證考核試劑檢測結果與核酸序列測定(測序)結果之間的一致性情況。臨床研究中應對選用的測序方法做詳細介紹,并對委托測序服務的機構(如涉及)資質和選擇依據作簡要說明或提供相關資料。
1.3除上述1.1/1.2比對試驗外, 申請人同時應進行部分與病毒分離培養鑒定進行比對的臨床試驗。
1.4其他:關于1.2的測序試驗,申請人應提供以下關于測序部分的詳細試驗資料,需有臨床試驗單位的簽章確認。
1.4.1測序方法原理、測序儀型號、測序試劑及消耗品的相關信息。
1.4.2測序方法所用引物相關信息,如基因區段選擇,分子量、純度、功能性實驗等資料。引物設計應合理涵蓋考核試劑擴增的靶核酸區段。
1.4.3對所選測序方法的分析性能進行合理驗證,尤其是最低檢測限的確認,建議將所選測序方法與申報試劑的相關性能進行比對分析。
1.4.4測序方法應建立合理的陽性質控品和陰性質控品對臨床樣本的檢測結果進行質量控制。
1.4.5提交有代表性的樣本測序圖譜及結果分析資料。
1.4.6提交臨床病例的確診信息,并提交測序結果和臨床確診信息的統計分析資料。
2. 臨床試驗機構的選擇
登革熱屬于區域性傳染性疾病,建議申請人在相關流行病學多發區域選擇臨床試驗機構,應是經備案的醫療器械臨床試驗機構。臨床試驗機構數量應不少于3家,且具有分子生物學方法檢測的優勢,實驗操作人員應有足夠的時間熟悉檢測系統的各環節(儀器、試劑、質控及操作程序等),熟悉評價方案。在整個實驗中,考核試劑和參比試劑都應處于有效的質量控制下,最大限度保證試驗數據的準確性及可重復性。
3.臨床試驗方案
臨床試驗實施前,研究人員應從流行病學、統計學、臨床醫學、檢驗醫學等多方面考慮,設計科學合理的臨床研究方案。各臨床試驗機構的方案設計應一致,且保證在整個臨床試驗過程中遵循預定的方案實施,不可隨意改動。整個試驗過程應在臨床研究機構的實驗室內并由本實驗室的技術人員操作完成,申報單位的技術人員除進行必要的技術指導外,不得隨意干涉實驗進程,尤其是數據收集過程。
試驗方案中應確定嚴格的病例納入/剔除標準,任何已經入選的病例再被剔除出臨床研究都應記錄在案并明確說明原因。在試驗操作過程中和判定試驗結果時應采用盲法以保證試驗結果的客觀性,對于編盲的方式應有詳細描述。各研究單位選用的參比試劑及試驗儀器應一致,以便進行匯總統計分析,且嚴格遵循考核試劑/參比試劑的說明書要求進行操作。臨床方案中還應明確當二者檢測結果不一致時,第三方確認試劑/第三方確認方法。另外,考核試劑適用的樣本類型等不應超越參比試劑的相應檢測要求,若此種情況發生,則應選擇其他合理參比方法對額外情形進行驗證。
由于需采用登革血清學分型試劑,對于需要分型的病例,各臨床試驗機構應當采用統一的分型確認方法。
病毒分離培養鑒別的方法可參考原衛生部發布的《登革熱診斷標準》中附錄A.3“C 6/36白紋伊蚊細胞分離登革病毒”或附錄A.4“應用乳小白鼠分離登革病毒”方法進行病毒分離鑒定檢測,各臨床試驗機構應當采用統一的登革病毒分離培養鑒定方法。
4.病例選擇及陽性病例比例
適當的樣本量是保證體外診斷試劑臨床性能得到準確評價的必要條件。臨床試驗樣本量應滿足統計學要求,可采用適當的統計學方法進行估算。根據不同的預期用途,設計相應臨床試驗,以輔助診斷用途為例,臨床試驗可依據試驗用體外診斷試劑相對于對比試劑的陰陽性符合率分別估算最低陰陽性樣本例數。
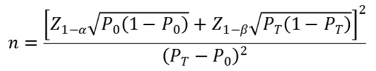
臨床樣本量的估算建議采用如下樣本量公式計算,

公式中,n為樣本量;Z1-α、Z1-β為顯著性水平和把握度的標準正態分布的分數位,P0為評價指標的臨床可接受標準,PT為試驗用體外診斷試劑評價指標預期值。
其中,陰陽性符合率的臨床可接受標準(P0)建議不低于95%。獲得臨床試驗數據后,證明產品相對于對比方法的陰陽性符合率(置信區間下限)不低于預設的臨床可接受標準(P0)。當評價指標P接近100%時,上述樣本量估算方法可能不適用,應考慮選擇更加適宜的方法進行樣本量估算和統計學分析,如精確概率法等。
臨床試驗應以發熱疑似登革熱患者作為研究對象,應以前瞻性收集樣本為主,至少包含前瞻性新鮮樣本的DEN-1型、DEN-2型,對于DEN-3型、DEN-4型陽性病例,如較難獲得,可采用回顧性收集病例。每種型別陰、陽性例數以及陰、陽性符合率置信區間上下限應當滿足統計學要求。
病毒分離培養應入組一定數量的陽性及陰性病例,考察考核試劑與病毒分離培養結果的一致性,納入的例數及與病毒分離培養對比的結果也應當滿足統計學要求。
申請人還應納入一定數量其他發熱病例、黃病毒(如有)感染病例做為干擾病例進行臨床試驗。應當在臨床試驗方案中進行設計,并臨床報告中進行統計。
5.統計學分析
對臨床試驗結果的統計應選擇合適的統計方法,如檢測結果一致性分析、陰性/陽性符合率等。對于本類產品對比實驗的研究,常選擇交叉四格表的形式總結兩種試劑的定性檢測結果,對定性結果進行kappa檢驗以驗證兩種試劑定性結果的一致性,統計分析應可以證明兩種方法的檢測結果有無明顯統計學差異。在臨床研究方案中應明確統計檢驗假設,即評價考核試劑與參比試劑是否等效的標準。
干擾病例應當在臨床試驗方案中進行設計,并在臨床報告中進行統計。
6.結果差異樣本的驗證
在數據收集過程中,對于兩種方法檢測結果不一致的樣本,應采用“金標準”方法進行復核,同時結合患者的臨床病情對差異原因及可能結果進行分析。
7.臨床試驗總結報告撰寫
根據《體外診斷試劑臨床研究技術指導原則》的要求,臨床試驗報告應該對試驗的整體設計及各個關鍵點給予清晰、完整的闡述,應該對整個臨床試驗實施過程、結果分析、結論等進行條理分明的描述,并應包括必要的基礎數據和統計分析方法。建議在臨床總結報告中對以下內容進行詳述。
7.1臨床試驗總體設計及方案描述
7.1.1臨床試驗的整體管理情況、臨床研究單位選擇、臨床主要研究人員簡介等基本情況介紹。
7.1.2病例納入/排除標準、不同年齡段人群的預期選擇例數及標準。
7.1.3樣本類型,樣本的收集、處理及保存等。
7.1.4統計學方法、統計軟件、評價統計結果的標準。
7.2具體的臨床試驗情況
7.2.1臨床研究所用產品的名稱、批號、有效期及所用機型等信息,以及對比試驗產品的注冊情況。
7.2.2對各研究單位的病例數、年齡分布情況進行綜合分析,建議以列表或圖示方式給出具體例數及百分比。
7.2.3質量控制,試驗人員培訓、儀器日常維護、質控品運行情況,對檢測精密度、質控品測量值的抽查結果評估。
7.2.4具體試驗過程,樣本檢測、數據收集、樣本保存、結果不一致樣本的校驗等。
7.3統計學分析
7.3.1數據預處理、差異數據的重新檢測或第三方驗證、對異常值或缺失值的處理、研究過程中是否涉及對方案的修改。
7.3.2陽性符合率、陰性符合率、總體符合率。
7.3.3以交叉四格表的形式總結兩種試劑的定性檢測結果,對定性結果進行四格表kappa檢驗以驗證兩種試劑定性結果的一致性。
7.4討論和結論
對總體結果進行總結性描述并簡要分析試驗結果,對本次臨床研究有無特別說明,最后得出臨床試驗結論。
(八)產品技術要求
申請人應當在原材料質量和生產工藝穩定的前提下,根據申請人產品研制、臨床評價等結果,依據國家標準、行業標準及有關文獻,按照《醫療器械產品技術要求編寫指導原則》(國家食品藥品監督管理總局通告2014年第9號)的有關要求,編寫產品技術要求。
登革病毒核酸檢測試劑的產品性能指標應主要包括:物理性狀、陰/陽性參考品符合率、精密度、最低檢測限等。陽性參考品主要考察對試劑盒適用范圍內不同血清型登革病毒的檢測能力,陰性參考品則重點對申報試劑的分析特異性進行驗證。
如果申報試劑已有適用的國家標準品、參考品發布,則申請人應在產品技術要求中提出檢測要求。
按照《辦法》的規定,此類產品為第三類體外診斷試劑,申請人應按照《醫療器械產品技術要求編寫指導原則》的要求,以附錄形式明確主要原材料、生產工藝及半成品要求,附錄的編制應符合相關編寫規范的要求。
(九)產品說明書
產品說明書的格式應符合《體外診斷試劑說明書編寫指導原則》的要求,境外試劑的中文說明書除格式要求外,其內容應盡量保持與原文說明書一致,翻譯力求準確且符合中文表達習慣。產品說明書的所有內容均應與申請人提交的注冊申報資料中的相關研究結果保持一致,如某些內容引用自參考文獻,則應以規范格式對此內容進行標注,并單獨列明文獻的相關信息。
結合《體外診斷試劑說明書編寫指導原則》的要求,下面對登革病毒核酸檢測試劑說明書的重點內容進行詳細說明,以指導注冊申報人員更合理地編制說明書。
1.【預期用途】應至少包括以下幾部分內容:
1.1試劑盒用于體外定性檢測人血清和/或血漿樣本中的登革病毒RNA。
1.2簡單介紹登革病毒核酸的類型與結構、病毒體的形態結構、分類;登革病毒的傳播方式及媒介;包括哪些血清型;致病性與免疫性;感染后的臨床表現;流行病學及實驗室常用的檢測手段。
1.3待測人群特征介紹:根據《登革熱診療指南》確定的疑似登革病毒感染的人群。
1.4 注意:登革疫情監控的用途,不屬于體外診斷試劑批準范圍,不得在預期用途中聲稱。
2.【主要組成成分】
2.1說明試劑盒包含組分的名稱、數量、比例或濃度等信息,說明不同批號試劑盒中各組分是否可以互換。
2.2試劑盒中不包含但對該項檢測必須的組份,企業應列出相關試劑/耗材的名稱、貨號及其他相關信息。
2.3如果試劑盒中不包含用于核酸提取/純化的試劑組份,則應在此注明經過驗證后推薦配合使用的商品化核酸提取/純化試劑盒的生產企業、產品名稱以及產品貨號、醫療器械注冊證號等詳細信息。
3.【檢驗原理】
3.1對試劑盒檢測的靶核酸序列進行詳細描述(名稱和基因位置等),對照設置及熒光信號檢測原理等進行逐項介紹。
3.2核酸提取/純化方法、原理等。
3.3簡要介紹試劑盒技術原理及質控的作用機理。
4.【儲存條件及有效期】
說明試劑盒的效期穩定性、開封穩定性、凍融次數要求等,應明確具體的儲存條件及有效期。如需列明運輸穩定性,應明確運輸條件與時限。
5.【樣本要求】重點明確以下內容:
5.1樣本的收集:明確推薦的樣本采集時間(如發病后立即進行采樣)。樣本的取材及處理方式等若有通用的技術規范或指南,則應遵循,并在此處引用。
5.2樣本的運送和保存:明確保存條件及期限(短期、長期)、運送條件等。如聲稱樣本可以凍存,還應明確凍融次數的限制。
6.【適用儀器】所有適用的儀器型號,并提供與儀器有關的重要信息以指導用戶操作。
7.【檢驗方法】詳細說明實驗操作的各個步驟,包括:
7.1實驗條件:實驗室分區、實驗環境的溫度、濕度、空調氣流方向控制等注意事項。
7.2試劑配制方法、注意事項。
7.3詳述待測樣本及相關對照核酸提取/純化的條件、步驟及注意事項。
7.4擴增反應前準備:加樣體積、順序等。
7.5 PCR各階段的溫度、時間設置、循環數設置或相應的自動化檢測程序及相關注意事項。
7.6儀器設置:特殊參數、結合探針的熒光素標記情況、對待測基因及內標的熒光通道選擇。
7.7基線、循環閾值(Ct值)的選擇方法或相應的自動化檢測程序。
8.【檢驗結果的解釋】
結合陽性對照、陰性對照、內對照(內標)、核酸提取/純化對照(如適用)以及樣本管檢測結果的Ct值,以列表的形式對所有可能出現的結果組合(如陽性、陰性、無效)及相應的解釋進行詳述。明確無效結果的處理方式,如重新進行檢測等。如存在檢測灰區,應明確灰區的Ct值定義,并詳述對于灰區結果的處理方式。
9.【檢驗方法的局限性】
9.1本試劑僅適用于對具有相關臨床癥狀的患者進行檢測。
9.2本試劑盒的檢測結果僅供臨床參考,對患者的臨床診治應結合其癥狀/體征、病史、其他實驗室檢查及治療反應等情況綜合考慮。
9.3對于免疫抑制患者,應謹慎解釋檢驗結果。
9.4陰性結果不能排除登革病毒感染,對于發熱癥狀出現后3~6天內采集的樣本,應額外進行登革病毒IgM抗體檢測,以提高檢出。
9.5陽性結果并不表明存在感染性病毒或確定疾病癥狀是由登革病毒感染引起的。
9.6不恰當的樣本采集、運送及處理,可能導致假陰性結果;低于最低檢測限水平的病原體核酸濃度,也可導致假陰性結果。
9.7未經驗證的其他干擾或PCR抑制因子等可能會導致假陰性結果。
9.8本試劑盒未進行基于新生兒樣本的性能驗證。
9.9登革病毒感染患者病情監測的用途未經驗證。
10.【產品性能指標】
詳述以下性能指標(包含但不限于):
10.1 最低檢測限:說明試劑的最低檢出濃度,簡單介紹最低檢測限的試驗方法及結果。
10.2精密度:精密度參考品的組成、濃度及結果。
10.3分析特異性
10.3.1交叉反應:對出現在相應臨床標本中可能產生交叉反應的其他病原體的驗證情況,建議以列表的方式明確經過交叉反應驗證的病原體名稱、菌株特性、濃度等信息;
10.3.2干擾物質:樣本中常見干擾物質對檢測結果的影響,包括內源性干擾物質和外源性干擾物質;
10.4對比試驗研究(如有):簡要介紹對比試劑(方法)的信息、所采用的統計學方法及統計分析結果。
10.5境外(如適用)和境內臨床試驗數據總結。
11【注意事項】應至少包括以下內容:
11.1有關人源組份(如有)的警告,如:試劑盒內xx組份可能含有人源物質,雖已經通過了HBs-Ag、HIV1/2-Ab、HCV-Ab等項目的檢測,但截至目前,沒有任何一項檢測可以確保絕對安全,故仍應將這些組分作為潛在傳染源對待。
11.2臨床實驗室應嚴格按照《醫療機構臨床基因擴增實驗室管理辦法》(衛辦醫政發〔2010〕194號,或現行有效版本)等有關分子生物學實驗室、臨床基因擴增實驗室的管理規范執行。
11.3實驗操作人員應接受過基因擴增或分子生物學方法檢測的專業培訓,具備相關的實驗操作資格,實驗室應符合《病原微生物實驗室生物安全管理條例》及其他涉及到傳染性病原微生物的管理規定中的相關要求。
1.《登革熱診療指南(2014年第2版)》,中華人民共和國國家衛生和計劃生育委員會,2014.10.11。
2.《登革熱診斷》,中華人民共和國衛生行業標準(WS 216-2018)。
3. Class II Special Controls Guideline: Dengue Virus Nucleic Acid Amplification Test Reagents, Guideline for Industry and Food and Drug Administration Staff, September 2014, FDA.
國家藥品監督管理局醫療器械技術審評中心。

站點聲明
本網站所提供的信息僅供參考之用,并不代表本網贊同其觀點,也不代表本網對其真實性負責。圖片版權歸原作者所有,如有侵權請聯系我們,我們立刻刪除。如有關于作品內容、版權或其它問題請于作品發表后的30日內與本站聯系,本網將迅速給您回應并做相關處理。
鄭州思途醫療科技有限公司專注于醫療器械產品政策與法規規事務服務,提供產品注冊備案申報代理、臨床試驗、體系建立輔導、分類界定、申請創新辦理服務。
《海南博鰲樂城國際醫療旅游先行區臨床急需進口藥品帶離先行區使用管理暫行辦法》已經3月24日海南博鰲樂城國際醫療旅游先行區領導小組會議審議通過,現印發給你們,請遵照執行
為規范醫療器械注冊人跨區域委托生產的監督管理,推進長江三角洲區域醫療器械跨區域監管,根據《中共中央辦公廳國務院辦公廳關于深化審評審批制度改革鼓勵藥品醫療器械創新的意見》《
《海南博鰲樂城國際醫療旅游先行區醫療機構制劑調劑使用管理暫行辦法》已經3月24日海南博鰲樂城國際醫療旅游先行區領導小組會議審議通過,現印發給你們,請遵照執行。
附件:血液透析用水處理設備注冊審查指導原則(2024年修訂版)(2024年第19號).doc血液透析用水處理設備注冊審查指導原則(2024年修訂版)本指導原則旨在指導注冊申請人對血液透析用水處理設備注冊申報資料的準備及撰寫,同時也為技術審評部門提供參考。本指導原則是對血液透析用水處理設備的一般要求,注冊申請人依據產品的具體特性確定其中內容是否適用。若不適用,要具體闡述理由及相應的科學依據,并依據產
本指導原則旨在幫助和指導注冊申請人對一次性使用腹部穿刺器注冊申報資料進行準備,以滿足技術審評的基本要求。同時有助于審評機構對該類產品進行科學規范的審評,提高審評工
附件:重組膠原蛋白創面敷料注冊審查指導原則(2023年第16號).doc重組膠原蛋白創面敷料注冊審查指導原則本指導原則旨在指導注冊申請人準備及撰寫重組膠原蛋白創
國家藥監局關于發布免于臨床試驗的體外診斷試劑臨床評價技術指導原則的通告(2021年第74號)發布時間:2021-09-24為指導體外診斷試劑的臨床評價工作,根據
為深化藥品審評審批制度改革,鼓勵創新,進一步推動我國藥物臨床試驗規范研究和提升質量,國家藥品監督管理局會同國家衛生健康委員會組織修訂了《藥物臨床試驗質量管理規范》
國家藥監局藥審中心關于發布《抗腫瘤藥物臨床試驗中SUSAR分析與處理技術指導原則》的通告(2024年第42號) 發布日期:20241010
國家藥監局器審中心關于發布影像型超聲診斷設備(第三類)注冊審查指導原則(2023年修訂版)的通告(2024年第29號)發布時間:2024-10-14為進一步規范
行業資訊
知識分享
八年
醫療器械服務經驗
聯系思途,免費獲得專屬《落地解決方案》及報價
咨詢相關問題或咨詢報價,可以直接與我們聯系
思途CRO——醫療器械注冊臨床第三方平臺
