長江三角洲區域醫療器械注冊人制度試點工作實施方案(試行)(滬藥監械管〔2019〕112號)
為深入貫徹落實中共中央辦公廳、國務院辦公廳印發的《關于深化審評審批制度改革鼓勵藥品醫療器械創新的意見》(廳字〔2017〕42號),按照國家藥品監督管理局《關于擴大醫療器械
來源:醫療器械注冊代辦 發布日期:2018-01-10 閱讀量:次
附件:血液濃縮器注冊技術審查指導原則(2018年第3號).doc
本指導原則旨在給出血液濃縮器產品注冊具有指導意義的指南性文件,一方面有利于監管部門對血液濃縮器上市前的安全性和有效性進行準確、高效的評價,另一方面有利于指導企業規范產品的研究和生產。
本指導原則系對血液濃縮器的一般要求,生產企業應依據具體產品的特性對注冊申報資料的內容進行充實和細化。生產企業還應依據具體產品的特性確定其中的具體內容是否適用,若不適用,需詳細闡述其理由及相應的科學依據。
本指導原則是對生產企業和審查人員的指導性文件,但不包括注冊審批所涉及的行政事項,亦不作為法規強制執行,如果有能夠滿足相關法規要求的其他方法,也可以采用,但是需要提供詳細的研究資料和驗證資料。應在遵循相關法規的前提下使用本指導原則。
本指導原則是在現行法規和標準體系以及當前認知水平下制訂的,隨著法規和標準的不斷完善,以及科學技術的不斷發展,本指導原則相關內容也將進行適時的調整。
本指導原則所涉及的是體外循環過程中使用的濾過型中空纖維制成的血液濃縮器,這種中空纖維膜上充滿微孔,通常由合成高分子材料制成。血液通過中空纖維時,在兩側壓力梯度作用下產生濾過作用,使血液中水分、電解質和可以通過微孔的中、小分子溶質經微孔輸送至中空纖維外,從而提高血細胞及中大分子溶質在血液中的濃度,達到血液濃縮的效果。本指導原則適用于體外循環過程中使用的中空纖維制成的血液濃縮器,通過濾過性能發揮血液濃縮作用,以無菌、無熱原狀態提供,僅一次性使用。
(一)綜述資料
1.概述
產品名稱應符合《醫療器械通用名稱命名規則》(國家食品藥品監督管理總局令第19號)及有關規定。按照第三類醫療器械管理。
2.產品描述
描述血液濃縮器工作原理、結構組成、原材料,以及區別于其他同類產品的特征等內容;必要時提供圖示說明。
3.型號規格
應當明確各型號規格的區別,對于各種型號規格的結構組成、功能、特征等方面內容應加以具體描述。
4.包裝說明
提供有關血液濃縮器包裝相關的信息,特別應當仔細說明與滅菌方法相適應的最初包裝的信息與資料。
5.適用范圍和禁忌癥
(1)適用范圍。
(2)預期使用環境。
(3)適用人群:注明不同型號產品推薦的適用患者體重范圍。
(4)禁忌癥(如適用)。
6.參考的同類產品或前代產品的情況(如有)
申請人應詳細說明同類或前代產品國內外研究及臨床使用情況。描述本次申報器械與已上市器械(包括本企業已上市同類產品或其他企業已上市同類產品)的相同點和不同點,比較的項目宜包括產品設計、適用范圍、工作原理、結構組成、原材料、滅菌方式、性能指標、有效期等內容,建議以列表方式列出。對于同類產品,應當說明選擇其作為研發參考的原因。
7.原材料控制
血液濃縮器原材料不得人為添加已列入相關法規及指令禁止的或未經毒理學評估的物質,常規使用過程中不得對人體產生有害影響。
提交血液濃縮器所有組件使用的全部組成材料(包括主材及其所有輔材)的化學名稱、商品名/材料代號、組成比例、供應商名稱、符合的標準等基本信息。應明確每種原材料,包括添加劑、粘結劑及其他成分、使用量等。建議提供原材料生物學性能符合GB/T 16886.1《醫療器械生物學評價第1部分:風險管理過程中的評價與試驗》與循環血液接觸要求的評價報告。對于首次用于血液濃縮器的新材料,應提供其適用人體預期使用部位的相關研究資料。
原材料(含外購組件)應具有穩定的供貨渠道,提供原材料(含外購組件)生產廠家的資質證明及外購協議。對于生產企業自己研制生產的原材料粒料,應提供詳細的配方研制報告,以及符合的相應標準。原材料常見標準如YY/T 0242《醫用輸液、輸血、注射器具用聚丙烯專用料》、YY/T 0114《醫用輸液、輸血、注射器具用聚乙烯專用料》、YY/T 0806《醫用輸液、輸血、注射及其他醫療器械用聚碳酸酯專用料》等。如果生產企業使用的是外購材料,則應要求供方提交原材料標準和檢測文件,如符合上述原材料標準的檢測報告。同時提供生產企業原材料驗收標準和報告。
(二)研究資料
從技術層面論述申報產品技術特征、生產工藝、滅菌工藝研究、有效期和包裝研究等內容。至少應包含但不限于以下內容:
1.產品性能研究
(1)設計特征
應列明血液濃縮器各部件的名稱,結構和功能,提供圖樣(單個部件與總裝圖),內容應足夠詳盡。提交各部件功能與實現功能的工作原理、途徑與技術指標的制定與驗證的詳細描述。如產品具有特殊結構、組件、功能等,應提供相應結構特征、參數和性能分析,以及針對性設計和驗證的內容。
血液濃縮器在各年齡段人群均需使用,因此它的設計驗證建議包括對不同體重適用人群生理特點的分析與驗證,以及針對性設計輸出的內容。列出產品部件所使用全部材料(包括助劑、粘合劑、催化劑等)名稱,一般包括:每個材料的通用名稱與準確的化學名稱、分子量及其分布、選用材料商品名/材料代號、使用時材料組成比例。有機高分子材料應列出其分子結構式,金屬材料應列出其全部金屬元素名稱、比例及其牌號。無機材料列明結構式、結晶狀況等信息。
(2)物理特性
①血液濃縮器各部件外觀、尺寸、機械性能、血液和濾過液接口、各部件連接牢固性等指標。所有組件應具有各自性能要求。如包含特殊組件、結構和功能等,應規定組件、結構的尺寸、性能要求。
②使用特性
篩選系數、超濾率、血室容量、血室壓力降,以及流量范圍、跨膜壓差等指標。建議觀察血細胞破壞的情況。
③涂層特性
如產品帶有涂層,應補充涂層相應要求,建議參考YY/T 1492《心肺轉流系統表面涂層產品通用要求》提供涂層成分、性能特性、覆蓋度、穩定性和安全性評價等要求和支持性文件。
(3)化學性能要求
金屬離子、化學物殘留(如適用)、紫外吸光度、還原物質、酸堿度、蒸發殘渣等,環氧乙烷滅菌產品需對環氧乙烷及二氯乙醇殘留量進行監控;
(4)物質溶出檢測
血液濃縮器產品可能會包含各種助劑、溶劑、特殊原材料的化學添加物、粘合劑等物質。這些物質具有一定潛在毒性或限量使用。為保證產品使用安全性,建議選擇相應物質用量最大的型號,采用適宜浸提溶液(如血液替代溶劑、血液等),模擬臨床最嚴格使用條件(如參考YY 0053《血液透析及相關治療 血液透析器、血液透析濾過器、血液濾過器和血液濃縮器》化學性能檢驗液制備規定方法,200ml/min流速和產品宣稱臨床使用最大血液流速下,37℃循環6小時),檢測上述物質溶出總量。提供人體血液接觸這些物質的毒性分析、安全限值和來源文件,并對不同體重適用人群的生理特點分別進行安全性評價。
2.生物相容性評價研究
應對血液濃縮器與人體直接或間接接觸材料的生物相容性進行評價。可參考GB/T 16886.1要求提供生物學評價報告。
3.生物安全性研究
如血液濃縮器含有動物源性材料或生物活性物質等成分,如生物涂層。應當提供相關材料及生物活性物質的生物安全性研究資料等文件。包括說明組織、細胞和材料的獲取、加工、保存、測試和處理過程;闡述來源并描述生產過程中對病毒、其他病原體及免疫原性物質去除或滅活方法的驗證試驗;工藝驗證的簡要總結。
如血液濃縮器包含藥物成分物質,應提供藥物在生產國或我國藥品注冊證明文件,明確藥物來源和質量要求,以保證藥物質量的穩定性。提供藥物藥理學、藥學、毒理學、臨床不良反應、與高分子材料結合后對材料和藥物雙向影響等藥械組合產品的研究資料,以證明產品安全性。
4.滅菌工藝研究
明確產品滅菌方法的選擇理由,明確滅菌工藝和無菌保證水平,并提供滅菌確認報告。滅菌過程還應開展以下方面的確認:產品與滅菌方法的適應性、包裝與滅菌工藝適應性、滅菌有效期驗證資料、毒性物質殘留量研究資料。
5.有效期和包裝研究
有效期驗證項目包括產品使用性能和包裝完整性。可采用加速老化或實時老化的研究。實時老化的研究,應從產品定型后即開始進行。加速老化研究的具體要求可參考ASTM F1980 《醫療裝置用無菌阻隔系統加速老化的標準指南》和YY/T 0681.1《無菌醫療器械包裝試驗方法第1部分:加速老化試驗指南》。提交包裝驗證報告,如:包裝材料的物理化學、毒理學特性;包裝材料與產品的適應性;包裝材料與成型和密封過程的適應性;包裝材料所能提供的物理、化學和微生物屏障保護;包裝材料與使用者使用時的要求(如無菌開啟)的適應性;包裝材料與標簽系統的適應性;包裝材料與貯存運輸過程的適應性等。
6.臨床前動物試驗
如需要,建議提供動物試驗的完整資料,應包括:
(1)動物試驗目的、模型選擇的依據;
(2)研究中使用的治療參數與建議用于人體治療參數的比較;
(3)試驗方案、檢驗方法和設備;
(4)記錄及結果(包括原始數據樣本);
(5)結論。
(三)生產制造信息
應包含產品設計過程和生產工藝過程資料,特別是上述血液濃縮器的性能指標、指標的選擇依據與驗證資料,建議針對不同體重適用人群的生理特點提供選擇依據和驗證資料。可采用流程圖的形式概述設計過程和生產過程。
詳細說明產品生產工藝過程及其確定的依據、質量控制標準及其可靠性論證;確認關鍵工藝點并闡明其對產品物理性能、化學性能、生物性能的影響;確認生產工藝的穩定性。對生產加工過程使用的所有輔劑、助劑、粘合劑等添加劑均應說明使用劑量、對殘留量的控制措施和接受標準,以及檢驗報告和安全性評價報告。有多個研制、生產場地,應當概述每個研制、生產場地的實際情況。
(四)臨床試驗資料
如開展臨床試驗,應按照國家食品藥品監督管理總局相關規定,按照《醫療器械臨床試驗質量管理規范》(國家食品藥品監督管理總局中華人民共和國國家衛生和計生委員會令第25號)的要求實施。申報資料中應提交倫理委員會批件、試驗方案和臨床試驗報告等文件,建議提交統計分析報告。
臨床試驗根據產品申報用途、試驗目的考慮納入病種和嚴重程度,在試驗方案中應詳細說明入選/排除標準以及中止試驗標準。為保證在各年齡段使用者安全、有效地應用,建議根據血液濃縮器適用范圍所規定使用者體重>40kg、≤40kg分別進行臨床試驗。對于申報上述不同使用者血液濃縮器的生產企業,從安全有效性角度考慮,建議先完成使用者體重>40kg的血液濃縮器申報注冊。待使用者體重>40kg產品上市以后,再驗證使用者體重≤40kg的血液濃縮器。使用者體重>40kg、≤40kg產品臨床試驗入選和排除標準、臨床觀察指標、評價標準均應符合2-3條款規定。
1.臨床試驗基本要求
試驗方案應明確研究目的、研究人群、觀察指標、對照選擇及研究設計類型等。多中心臨床試驗由多位研究者按照同一試驗方案在不同的臨床試驗機構中同期進行。
試驗品和對照品選擇原則
申報產品選擇試驗品時,建議選擇原材料和組件最全,使用性能可以覆蓋本注冊單元其他產品,且經過全項目注冊檢測的型號進行臨床試驗。
進行隨機對照試驗,應詳細描述對照品的規格型號、生產廠家和批號、對照品選擇依據等。對照品應選擇已經獲得有效醫療器械注冊證、有確切療效和安全性的產品。對照品的原材料、性能結構、超濾性能參數、適用范圍和使用方式等應盡量與試驗品一致。試驗組和對照組的試驗條件、方法步驟、臨床觀察項目、評價依據等應相同。兩組試驗對象按隨機原則分配。
2.入選和排除標準
根據研究產品的預期功效確定目標人群,制定具體的入選排除標準。建議入選標準:各種病因引起需要進行體外循環手術且術中需使用血液濃縮器患者。
排除標準:體外循環手術中心臟不停搏者;遺傳代謝病患者;嚴重感染,同時已有癌癥等惡性疾病者;嚴重肝、腎功能不全者;血液疾病或精神疾病患者;研究者認為不適合入組者。
3.臨床觀察指標
(1)一般觀察指標
①生命體征:收縮壓、舒張壓、體溫、呼吸和心率。
②術前血常規:紅細胞比容、血紅蛋白濃度、血小板計數、紅細胞計數、白細胞計數。
③術前血生化:總膽固醇、肌酐、谷丙轉氨酶、谷草轉氨酶、尿素氮、總蛋白、白蛋白等。
④各時點血紅蛋白濃度測定:麻醉給肝素后5分鐘、CPB中首次停搏液灌注后5分鐘、魚精蛋白中和后5分鐘。
⑤血液濃縮器一般性能:外觀透明度和光潔度,組件是否完整、與其他配用器械連接是否方便、有無接口漏液漏血、有無連接脫落、液體流動是否通暢等。如產品宣稱具有特殊功能,或者包含特殊組件、結構,建議將其列入觀察指標中。
⑥血液濃縮器基本性能:超濾性能等能否滿足臨床使用要求。
(2)主要有效性評價指標
超濾速率(ml/min):表示在一定條件下,單位時間內由血液濃縮器濾出的濾液量。即是指超濾時流經血液濃縮器的血流速度、跨膜壓差和紅細胞比容等在一致的條件下,由濾出總液量(ml)除以超濾總時間(min)所得數值。超濾總時間指進行超濾的總時間;濾出總液量指超濾的總濾液量。
(3)安全性指標
①超濾過程觀察血液濃縮器排液端有無變紅;
②手術過程中觀察殼體有無破裂、滲血、濾器堵塞等。
③體外循環前后分別測量血漿游離血紅蛋白,手術前及術后48小時內分別檢測患者肝腎功能(總膽固醇、肌酐、尿素氮、谷丙轉氨酶、谷草轉氨酶、總蛋白、白蛋白等)。
④受試者術后有無不良反應等。
4.樣本量確定依據
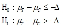
樣本量根據受試產品特性、臨床試驗設計類型、主要有效性評價指標等因素來確定。需詳細寫明樣本量估算采用的軟件或公式、公式中所有參數、估計值及其來源,還應結合臨床實際情況,考慮試驗對象的可能脫落率等因素。對于非劣效試驗設計,應由臨床專家和統計學家事先給出具有臨床意義的非劣效界值。本產品主要有效性評價指標為超濾速率。
以下舉例內容僅供參考:如果某被試產品采用非劣效試驗設計,由于超濾速率為高優指標,故試驗對應的研究假設為:

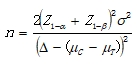
所使用的樣本量計算公式為:

其中:
(1)uT和uC分別為試驗組和對照組預期超濾速率,通常,uT≤uC。
(2)▲為非劣效界值,且▲>0;
(3)為兩組療效指標的合并標準差;
(4)Z1-a、Z1-b代表標準正態分布分位數,α取單側0.025,β取0.2;
以上樣本量計算公式僅適用于試驗組與對照組樣本量比例為1:1的情況。
針對不同受試者體重進行樣本量估計如下:
(1)受試者體重>40kg的血液濃縮器,根據前期探索性研究結果,假設對照組超濾速率為110ml/min,試驗組超濾速率水平與對照組相當,兩組超濾速率的合并標準差為22ml/min,兩組產品超濾速率最大差距不超過10ml/min時認為試驗組產品非劣于對照組產品,在檢驗顯著性水平取單側0.025,把握度80%時,每組需要入選76例受試者(試驗組和對照組共計152例);考慮10%脫落率,每組需要入選85例受試者(試驗組和對照組共計170例)。
(2)受試者體重≤40kg的血液濃縮器,根據前期探索性研究結果,假設對照組超濾速率為28ml/min,試驗組超濾速率水平與對照組相當,兩組超濾速率合并標準差為10ml/min,兩組產品超濾速率最大差距不超過6ml/min時認為試驗組產品非劣于對照組產品,在檢驗顯著性水平取單側0.025,把握度80%時,每組需要入選45例受試者(試驗組和對照組共計90例);考慮10%脫落率,每組應入選50例受試者(試驗組和對照組共計100例)。
病例數應盡量在各體重組間(體重<10kg,10kg≤體重<20kg,20kg≤體重<30kg,30kg≤體重≤40kg)均衡分布,建議每組不得少于10例受試者。
為了保證受試者的安全性和數據的完整性,建議采用中央隨機系統,以備監管部門跟蹤稽查全部參與試驗病例。
5.臨床試驗統計處理方法
數據分析時應考慮數據完整性,所有簽署知情同意并使用了受試產品的試驗對象必須納入最終的統計分析。分析受試者退出或脫落的嚴重程度和產生原因。數據剔除或偏倚數據的處理必須有科學依據和詳細說明,并應進行靈敏度分析,以評價其對研究結果的影響。
數據分析應采用國內外公認的統計分析方法。試驗方案應明確統計檢驗的類型、檢驗假設、判定療效有臨床意義的界值(非劣效界值)等,界值的確定應有依據。
描述性分析:計數資料采用頻數和構成比描述;計量資料采用均數、標準差、最大值、最小值、中位數、第25及第75分位數描述。
療效分析時不能僅報告p值,還應給出組間療效的差異及其95%置信區間的估計,并作統計學檢驗。
安全性評價:按試驗組和對照組分別描述治療前正常、治療后異常例數及所占比例。不良事件用不良事件發生例數及發生率進行描述,并對此比例進行χ2檢驗或Fisher精確概率法檢驗。應對所有試驗過程中發生的不良事件進行評價,并描述其種類、發生頻率以及與被驗證器械的關系。
6.統計分析結果
統計分析應基于所有臨床試驗數據分析得出,并用于撰寫臨床試驗報告。統計分析結果應至少包括但不限于臨床試驗完成情況、人群基線描述、療效/效果評價及安全性評價等。對所有試驗對象進行安全性評價分析,不能遺漏任何不良事件(包括試驗前正常、試驗后異常并有臨床意義的實驗室指標等)。脫落病例應列表逐例陳述脫落時間、原因等。主要療效指標缺失時按最差值法(WOCF)進行填補。
7.臨床報告
提交各分中心臨床試驗小結。建議根據統計分析結果撰寫并出具臨床試驗報告。其中應提供患者一般資料(性別、年齡、體重等)。臨床報告內容包括:試驗對象資料、試驗方法、評價方法和標準、試驗結果和結論、副反應、不良事件、并發癥及其處理、適用范圍、禁忌癥和注意事項、存在問題及改進意見等。
臨床試驗報告應與研究方案保持一致。報告所有不良事件發生時間、原因、具體表現、后果及與試驗用器械的關系,對于所采取的處理措施需予以明確。無論是預期還是非預期不良事件,都應如實記錄和報告。對因不良事件而中止研究以及出現重度或嚴重不良事件的病例,加以特別的注明。臨床報告中的統計分析結果建議經統計學專家審核確認。
(五)產品風險分析資料
應包含風險分析、風險評價、風險控制措施的實施和驗證結果、剩余風險可接受性評定等文件。
可參考YY/T 0316《醫療器械風險管理對醫療器械的應用》制訂文件。生產企業要成立風險管理小組,主要負責人擔任組長。風險管理活動要貫穿產品設計、試生產、量產、上市后使用及產品處理的整個生命周期。要體現生產企業風險管理活動計劃的完整性,尤其上市管理的風險分析與評價過程。對于上市前風險管理中尚未認知的風險,應在上市后開展信息收集,一旦發現異常及時進行風險評價,采取控制措施,更新風險管理文件。
剩余風險分析時,要注意風險控制措施新引入風險能轉化為可接受風險,方能認為風險受控。血液濃縮器必須進行風險與收益分析,收益大于風險時方可接受。同時提供血液濃縮器產品上市前風險管理報告,此報告旨在說明并承諾:
- 風險管理計劃已被正確地實施;
- 綜合剩余風險是可接受的;
- 已建立產品上市后的追溯與臨床應用信息收集制度。
應隨風險管理報告一并附上包括風險分析、風險評價、風險控制概述管理資料。至少應包括:
1.產品安全特征清單;
2.產品可預見危險(源)及危險(源)分析清單(說明危險(源)、可預見事件序列、危險情況和可能發生的傷害之間的關系);
3.風險評價、風險控制措施以及剩余風險評價匯總表。
對于風險分析和管理概述,應包括一份風險總結,以及如何將風險控制在可接受程度的內容,同時附有相應的驗證報告。
(六)產品技術要求
應當按照《醫療器械產品技術要求編寫指導原則》(國家食品藥品監督管理總局通告2014年第9號)的規定編制產品技術要求,技術指標應當不低于國家標準、行業標準要求,引用標準應當為現行有效版本。對企業宣稱的所有技術參數和功能,應在產品技術要求中予以規定。
血液濃縮器產品的產品技術要求應參照YY0053等標準,以及產品設計驗證結果與臨床應用相關報告與文獻來制定。申報產品型號、規格劃分盡量采用國家標準、行業標準的表示方法,所有產品的組件、材料對應關系應明確,不用“系列”、“等”含糊用詞。
1.產品型號/規格及其劃分說明
提供產品規格型號、結構組成示意圖,列明各部件名稱及制造材料(準確化學名稱、金屬牌號及常用名)、最大使用正負壓力、滅菌方法、有效期、包裝材料等要求。應明確各型號產品之間的區別。同時規定血液濃縮器原材料不得人為添加已列入相關法規及指令禁止的或未經毒理學評估的物質。
2.性能指標
(1)物理特性
①血液濃縮器尺寸、外觀、結構密合性、血室密合性、接頭、有效期等指標。如產品帶有涂層,建議補充涂層相應要求,如成分和比例信息、性能特性、覆蓋度、穩定性等規定。如包含特殊組件、結構和功能,應規定組件、結構的尺寸、性能要求、特殊功能的規定和檢測方法。
②使用特性
篩選系數、超濾率、血室容量、血室壓力降等。
(2)化學性能要求
血液濃縮器可選擇金屬離子、化學物殘留(如適用)、紫外吸光度、還原物質、酸堿度、蒸發殘渣等項目,環氧乙烷滅菌產品應有環氧乙烷殘留量規定。
(3)其他要求
根據血液濃縮器與人體接觸方式及時間等,規定無菌、細菌內毒素、熱原等其他要求。
3.檢驗方法
有關行業標準、國家標準規定各個性能技術指標的檢測方法,應作為各性能指標條款對應的檢測方法。
4.術語(如適用)
注冊單元劃分原則至少包括:以血液濃縮器推薦使用者體重>40kg、≤40kg為界,區分不同注冊單元,分別提供注冊申報資料。產品原材料、使用性能、關鍵或特殊生產工藝(包括滅菌工藝)等方面有差異的產品,分為不同注冊單元,提供各自完整的注冊申報資料。
典型性產品選擇包含全部原材料和組件、結構最復雜、風險最高、使用性能可以覆蓋本注冊單元其他型號的產品,進行全項目注冊檢測。同一注冊單元產品,建議至少對膜面積最大的型號進行全項目檢測,同時再檢測膜面積最小型號的物理性能。所有組件均應進行注冊檢測,特別是具有特殊結構、性能的組件。完成典型性產品檢測后,同一注冊單元其他型號可進行差異性檢測。
血液濃縮器產品說明書、標簽和包裝標識應符合《醫療器械說明書和標簽管理規定》(國家食品藥品監督管理總局令第6號)、YY0053等適用標準的要求。說明書注明適用范圍,包含血液濃縮器適用人群的說明,列出不同型號產品推薦的適用患者體重范圍。此外,還應注明最大使用正負壓力、禁忌癥、注意事項、滅菌方式、有效期、血液流向標識等添加藍色文字。所有信息與臨床評價結論和國家出臺的規范性文件一致。
1.《醫療器械監督管理條例》(中華人民共和國國務院令第680號)
2.《醫療器械注冊管理辦法》(國家食品藥品監督管理總局令第4號)
3.《醫療器械說明書和標簽管理規定》(國家食品藥品監督管理總局令第6號)
4.《關于發布醫療器械臨床評價技術指導原則的通告》(國家食品藥品監督管理總局通告2015年第14號)
5.《關于發布醫療器械產品技術要求編寫指導原則的通告》(國家食品藥品監督管理總局通告2014年第9號)
6.《關于公布醫療器械注冊申報資料要求和批準證明文件格式的公告》(國家食品藥品監督管理總局公告2014年第43號)
7.《醫療器械通用名稱命名規則》(國家食品藥品監督管理總局令第19號)
8.YY 0053-2016《血液透析及相關治療 血液透析器、血液透析濾過器、血液濾過器和血液濃縮器》
9.JIS T3250:2013《血液透析器,血液透析過濾器,血液過濾器及血液濃縮器》(日本標準協會)
10.《血液濃縮器審批標準的技術標準》(日本厚生勞動省,藥食發0301第8號,2013年)
11.YY/T 0316-2016《醫療器械 風險管理對醫療器械的應用》
12.《醫療器械臨床試驗質量管理規范》(國家食品藥品監督管理總局、中華人民共和國國家衛生和計生委員會令第25號)
國家食品藥品監督管理總局醫療器械技術審評中心。

站點聲明
本網站所提供的信息僅供參考之用,并不代表本網贊同其觀點,也不代表本網對其真實性負責。圖片版權歸原作者所有,如有侵權請聯系我們,我們立刻刪除。如有關于作品內容、版權或其它問題請于作品發表后的30日內與本站聯系,本網將迅速給您回應并做相關處理。
鄭州思途醫療科技有限公司專注于醫療器械產品政策與法規規事務服務,提供產品注冊備案申報代理、臨床試驗、體系建立輔導、分類界定、申請創新辦理服務。
為深入貫徹落實中共中央辦公廳、國務院辦公廳印發的《關于深化審評審批制度改革鼓勵藥品醫療器械創新的意見》(廳字〔2017〕42號),按照國家藥品監督管理局《關于擴大醫療器械
為規范醫療器械注冊人跨區域委托生產的監督管理,推進長江三角洲區域醫療器械跨區域監管,根據《中共中央辦公廳國務院辦公廳關于深化審評審批制度改革鼓勵藥品醫療器械創新的意見》《
附件:血液透析用水處理設備注冊審查指導原則(2024年修訂版)(2024年第19號).doc血液透析用水處理設備注冊審查指導原則(2024年修訂版)本指導原則旨在指導注冊申請人對血液透析用水處理設備注冊申報資料的準備及撰寫,同時也為技術審評部門提供參考。本指導原則是對血液透析用水處理設備的一般要求,注冊申請人依據產品的具體特性確定其中內容是否適用。若不適用,要具體闡述理由及相應的科學依據,并依據產
本指導原則旨在幫助和指導注冊申請人對一次性使用腹部穿刺器注冊申報資料進行準備,以滿足技術審評的基本要求。同時有助于審評機構對該類產品進行科學規范的審評,提高審評工
附件:重組膠原蛋白創面敷料注冊審查指導原則(2023年第16號).doc重組膠原蛋白創面敷料注冊審查指導原則本指導原則旨在指導注冊申請人準備及撰寫重組膠原蛋白創
國家藥監局關于發布免于臨床試驗的體外診斷試劑臨床評價技術指導原則的通告(2021年第74號)發布時間:2021-09-24為指導體外診斷試劑的臨床評價工作,根據
國家市場監督管理總局令 第47號 《醫療器械注冊與備案管理辦法》已經2021年7月22日市場監管總局第11次局務會議通過,現予公布,自2021年10月1日起施行。 附件: 醫療器械注冊與備案管
國家藥監局藥審中心關于發布《抗腫瘤藥物臨床試驗中SUSAR分析與處理技術指導原則》的通告(2024年第42號) 發布日期:20241010
國家藥監局器審中心關于發布影像型超聲診斷設備(第三類)注冊審查指導原則(2023年修訂版)的通告(2024年第29號)發布時間:2024-10-14為進一步規范
附件:一次性使用醫用沖洗器產品注冊審查指導原則(2022年第41號).doc一次性使用醫用沖洗器產品注冊審查指導原則本指導原則旨在指導注冊申請人對一次性使用醫用
行業資訊
知識分享
八年
醫療器械服務經驗
聯系思途,免費獲得專屬《落地解決方案》及報價
咨詢相關問題或咨詢報價,可以直接與我們聯系
思途CRO——醫療器械注冊臨床第三方平臺
