長江三角洲區域醫療器械注冊人制度試點工作實施方案(試行)(滬藥監械管〔2019〕112號)
為深入貫徹落實中共中央辦公廳、國務院辦公廳印發的《關于深化審評審批制度改革鼓勵藥品醫療器械創新的意見》(廳字〔2017〕42號),按照國家藥品監督管理局《關于擴大醫療器械
來源:醫療器械注冊代辦 發布日期:2017-12-22 閱讀量:次
附件:全自動血型分析儀注冊技術審查指導原則(2017年第209號).doc
本指導原則旨在指導注冊申請人對全自動血型分析儀注冊申報資料的準備及撰寫,同時也為技術審評部門審評注冊申報資料提供參考。
本指導原則是對全自動血型分析儀的一般要求,申請人應依據產品的具體特性確定其中內容是否適用,若不適用,需具體闡述理由及相應的科學依據,并依據產品的具體特性對注冊申報資料的內容進行充實和細化。
本指導原則是供申請人和審查人員使用的指導文件,不涉及注冊審批等行政事項,亦不作為法規強制執行,如有能夠滿足法規要求的其他方法,也可以采用,但應提供詳細的研究資料和驗證資料。應在遵循相關法規的前提下使用本指導原則。
本指導原則是在現行法規、標準體系及當前認知水平下制定的,隨著法規、標準體系的不斷完善和科學技術的不斷發展,本指導原則相關內容也將適時進行調整。
基于血型分析主要反應為凝集法的特點,從反應介質角度,可將血型分析方法主要分為載片法、試管法、微孔板法和柱凝集法四種。全自動血型分析儀是以血型分析的主要方法為基礎,對不同反應介質技術進行自動化設計,目前常見的全自動血型分析儀的工作原理主要包括試管法、微孔板法和柱凝集法三大類。
本指導原則適用于采用試管法、微孔板法或柱凝集法對人體血液樣本進行血型鑒定、抗體篩選、交叉配血等試驗的全自動血型分析儀。對基于其他技術的全自動血型分析儀產品,可參照本指導原則相關適用條款準備注冊申報資料。對于血型分析只是其適用范圍某一部分的臨床分析儀器,如全自動血庫系統,應當參照本指導原則準備血型分析部分的相關注冊申報資料。
本指導原則適用于申請產品注冊和相關許可事項變更的產品。
(一)綜述資料
1.概述
(1)申報產品管理類別為III類。
(2)產品名稱:建議統一將產品名稱命名為全自動血型分析儀,如有特殊情形,可根據醫療器械命名原則,參考新的《醫療器械分類目錄》中的產品名稱舉例確定命名,并詳細描述確定依據。
2.產品描述
(1)結構組成
全自動血型分析儀一般由分析模塊、控制和顯示模塊組成。分析模塊主要由樣本裝載和輸送裝置、加樣裝置、試劑裝置、恒溫反應裝置、離心機、液體容器、檢測器、清洗裝置等組成,控制和顯示模塊主要由計算機和軟件組成,通過軟件控制儀器的所有部件,確定運行相應試驗所需的試劑和儀器需要執行的操作,讀取檢測結果并進行分析。
申請人應當根據擬申報產品的具體特征詳細描述各組成裝置、各裝置的具體組成部分以及各主要元器件的名稱和生產企業,并詳細描述申報產品的主要功能及各組成裝置的功能,可以采用照片結合文字描述的形式給予明確說明。
(2)工作原理
申請人應當根據申報產品的設計要求按照反應步驟寫明工作原理,重點對加樣裝置、離心機、恒溫反應裝置、檢測器進行描述,應采用文字加圖示的方式對上述裝置的工作原理和結構組成進行詳細描述,對申報產品能夠進行的試驗項目進行描述,并寫明申報產品區別于其他同類產品的特征(可以表格形式逐條進行描述)。
3.注冊單元和型號規格
(1)注冊單元劃分
原則上同一注冊單元全自動血型分析儀的技術原理、結構組成、性能指標和適用范圍應基本一致,單一功能部件數量不同導致樣本處理量存在差異的產品可以作為同一注冊單元。但具有下列任一情況的產品,應劃分為不同的注冊單元:
①不同工作原理的產品,如基于試管法、微孔板法、柱凝集法的產品,應劃分為不同的注冊單元。
②工作原理相同,適用范圍基本相同,但因產品主要設計結構的不同對安全性有效性有顯著影響的產品,無論產品在樣本處理速度、樣本處理量、分析性能指標等方面是否存在差異,應劃分為不同的注冊單元。
(2)型號規格
對于同一注冊單元申報產品存在多種型號規格的,應當提供各型號規格的劃分說明,寫明各型號規格之間的區別,應當采用表格加說明性文字的圖片、圖表,對各型號規格的結構組成、主要功能、性能指標等內容進行描述。
4.適用范圍
(1)適用范圍
①明確寫明申報產品的預期用途,建議采用以下形式描述:“該產品采用××法,與配套的檢測試劑共同使用(如適用),在臨床上用于對來源于人體的血液樣本進行×××試驗”。其中,××法應寫明申報產品的設計工作原理,如試管法、微孔板法、柱凝集法等;×××試驗應當根據研究資料和臨床評價資料的具體結果寫明申報產品可以完成的試驗類型,包括ABO/RhD血型鑒定、抗體篩選、交叉配血等。
②明確寫明目標用戶為經專業培訓的醫療衛生機構的檢驗人員,并寫明相關人員操作申報產品應當具備的基本能力要求。
③明確寫明與申報產品配套使用的檢測試劑的情況,如為開放系統,應寫明適用的耗材(如微孔板、凝膠/玻璃珠等)以及試劑要求。如為封閉系統,只寫明生產企業名稱即可,或者注明“與本公司生產的配套試劑共同使用”。
(2)預期使用環境
①明確寫明申報產品預期使用的地點,如醫療衛生機構檢驗科。
②明確寫明可能會影響申報產品安全性和有效性的環境條件,也即申報產品的正常工作條件,包括空間要求、溫度、濕度、海拔高度、電源要求等,對每一條件均應給出具體的指標要求,如溫度范圍在5℃~30℃。
(二)研究資料
1.產品性能研究
(1)產品性能研究資料
①功能性指標研究資料:
申報產品各組成裝置性能的研究資料:應根據綜述資料中有關申報產品結構組成和各主要組成裝置的情況進行,提供詳細的研究資料,至少應包括對加樣裝置(原理、加樣量、加樣準確性、加樣精密度)、離心機(轉速、相對偏差)、恒溫反應裝置(原理、溫度范圍、溫度精度)、檢測器(原理、光源、圖像獲取裝置)、機械傳動裝置(運動類型、精度)、適用的反應載體(微孔板、凝膠卡的尺寸和類型)的功能性指標或者裝置中主要元器件功能性指標的研究資料。
申報產品臨床項目分析性能的研究資料:建議申請人根據申報產品的工作原理,綜合考慮申報產品預期設計可以完成的試驗類型情況,對每一試驗類型采用臨床樣本進行研究,并提供詳細的研究資料。
②安全性指標的驗證包括電氣安全指標和電磁兼容指標兩大類。電氣安全指標應當包括GB 4793.1、GB 4793.9、YY 0648及其他適用的國家標準和行業標準中的所有指標,電磁兼容指標應當包括GB/T 18268.1和GB/T 18268.26及其他適用的國家標準和行業標準中的所有指標,具備能力的申請人可對上述項目自行研究,并提交詳細的驗證資料,不具備能力的申請人可通過注冊檢驗對上述項目進行驗證,以注冊檢驗報告作為該部分的驗證資料。
③環境條件對產品性能指標無顯著影響的研究資料,主要包括氣候環境條件、機械環境條件、運輸條件等,可參考GB/T 14710及其他適用的國家標準和行業標準中的相關指標,具備能力的申請人可對上述項目自行研究,并提交詳細的驗證資料,不具備能力的申請人可通過注冊檢驗對上述項目進行驗證,以注冊檢驗報告作為該部分的驗證資料。
④研究資料中應詳細寫明通過研究驗證確定的分析儀結構組成及主要元器件信息。
⑤對于由已批準產品進行改進形成的新型號產品,注冊人應當考慮新型號產品是否與已批準產品屬于同一注冊單元,如屬于,注冊人應當分析改進部分對產品安全性、有效性的影響,針對改進部分進行相應的組成模塊性能研究和臨床項目分析性能的研究,并提供詳細的研究資料;如不屬于,應當按照《醫療器械注冊管理辦法》第五章的要求進行產品注冊。
(2)產品技術要求的研究和編制說明
根據《醫療器械產品技術要求編寫指導原則》的要求,產品技術要求應包含產品名稱、產品型號/規格及其劃分說明、性能指標、檢驗方法和產品技術要求編號。產品名稱和產品型號/規格及其劃分說明的內容應與綜述資料中的相應內容保持一致。性能指標包括功能性指標、安全性指標以及質量控制指標,其內容應與產品性能研究資料的內容一致。檢驗方法應優先考慮采用公認的或已頒布的標準檢驗方法,對于尚無公認的或已頒布的標準檢驗方法,需根據產品性能研究資料的內容一致,并保證該方法具有可重現性和可操作性。
(3)性能研究及產品技術要求研究適用的國家標準和行業標準清單見表1。
注:1.上述標準未標注年代號,申請人應參照最新版本。
2.如有其他新的適用國家標準和行業標準,應參照。
2.產品有效期研究
應當提供產品有效期的驗證報告,報告中應對申報產品中包含的易耗、易損、需定期更換或者具有固定使用壽命的主要元器件的情況進行詳細描述,詳述確定產品使用期限或者失效期的具體理由,給出產品使用期限或者產品失效期。
3.軟件研究
(1)提供一份單獨的全自動血型分析儀隨機軟件描述文檔,其內容應當符合YY/T 0664的要求。申請人應當根據產品預期的臨床檢測項目可能對患者造成的風險,確定申報產品隨機軟件的安全性級別。
考慮到全自動血型分析儀的檢測結果在臨床上是直接應用于患者血型鑒定或輸血治療的,軟件功能直接決定了對反應載體中樣本反應結果判讀的正確與否,如因軟件問題造成結果錯誤,會導致臨床使用錯誤結果對患者進行后續治療,進而對患者造成致命危險,因此建議全自動血型分析儀隨機軟件的安全性級別確定為C級。
申請人應當按照安全性級別為C級的要求提交隨機軟件描述文檔,尤其是在核心算法部分,應對由反應載體得到的不同凝集強度數據結果進行陰、陽性判讀標準依據和數學模型作詳細描述。
(2)提供一份關于軟件版本命名規則的聲明,明確寫明軟件版本的全部字段及字段含義,確定軟件的完整版本和發行所用的標識版本。其中,軟件的完整版本信息應與隨機軟件描述文檔中的相應內容保持一致,發行所用的標識版本信息應與產品說明書、隨機軟件描述文檔的內容保持一致。
有關軟件研究資料的詳細內容,建議按照《醫療器械軟件注冊申報資料指導原則》的要求進行編寫。
(3)申報產品如具有《醫療器械網絡安全注冊技術審查指導原則》適用范圍內所規定的功能,則申請人應當按照該指導原則要求提交網絡安全文檔。
(三)生產制造信息
1.生產工藝過程及過程控制點
建議根據申報產品的實際情況,以流程圖的形式對生產工藝過程進行詳細描述,并根據流程圖逐一描述其中的過程控制點。
2.生產場地
申請人應當對與申報產品有關的研制場地和生產場地情況進行概述。
如申報產品具有多個研制、生產場地,則對每一研制、生產場地的情況均應進行概述。
(四)臨床評價資料
申請人應當按照《醫療器械臨床評價指導原則》的要求提交臨床評價資料,由于目前全自動血型分析儀尚未列入免于進行臨床試驗的醫療器械產品目錄,因此申請人應當選擇通過同品種醫療器械臨床試驗或臨床使用獲得的數據進行分析評價,或者臨床試驗這兩種評價路徑中適用的任一方式,提交相應的臨床評價資料。
通過同品種醫療器械臨床試驗或臨床使用獲得的數據進行分析評價方式取得臨床評價資料的具體要求詳見附1,通過臨床試驗方式取得臨床評價資料的具體要求詳見附2。
對于具有下列情形之一的產品,通過同品種醫療器械臨床試驗或臨床使用獲得的數據進行分析評價無法充分證明產品安全性、有效性的,應當進行臨床試驗,包括:
1.產品采用新的工作原理和結構設計,屬于創新型設備,國內市場上沒有與之類似的已批準上市產品。
2.增加產品的臨床適用范圍,在原有功能的基礎上整合了新的血型相關試驗功能,且該功能從未在境內獲得批準。
3.申請人缺乏全自動血型分析儀相關臨床數據和試驗經驗的。
(五)產品風險分析資料
申請人應參考YY/T 0316《醫療器械 風險管理對醫療器械的應用》規定的過程和方法,在產品生命周期內對申報產品可能造成的危害進行判定(可參考YY/T 0316的附錄H),對每一危害出境的風險進行判定和評價,形成風險管理報告,控制這些風險并監視控制的有效性,充分保證產品的安全性和有效性。
1.產品的主要危害
全自動血型分析儀的主要危害大致可包括四個方面,即:能量危害、生物學和化學危害、操作危害、信息危害。
(1)能量危害
電磁能:漏電流,可能共同使用的設備(移動電話、離心機、生化分析儀等)對申報產品的電磁干擾,靜電放電對申報產品產生的干擾,申報產品正常工作中產生的電磁場對可能共同使用的其他設備的影響等引發的危害。
墜落:墜落導致機械部件松動,導致測量錯誤、誤差過大或顯示異常。
(2)生物學和化學危害
生物學:公共場所未經清洗、消毒的與人體接觸的部件引起的交叉感染、申報產品的原材料有毒有害對人體造成的危害、檢測完成后剩余樣本、試劑和廢棄物處理不當引起的交叉感染。
化學:使用的清潔劑、消毒劑殘留引發的危害。
(3)操作危害
不正確的測量:產品的檢測裝置超過壽命或長時間未經校準,導致誤差過大。
未按使用說明書中的要求進行測量,造成的測量失敗、測量誤差過大。
使用不同廠家的或與分析儀不相匹配的試劑,造成的測量失敗、測量誤差過大。
在制造商規定的使用環境條件外使用產品,可能造成測量誤差過大,產品壽命降低。
未按產品說明書的規定對申報產品進行保養、未按產品說明書的規定更換具有使用壽命的元器件,造成的產品工作不正常。
(4)信息危害
包括標記缺少或不正確,標記的位置不正確,不能被正確的識別,不能永久貼牢和清楚易認。
不符合法規及標準規定的產品說明書,包括產品說明書中未對限制充分告知,未對不正確的操作、與其他設備共同使用時易產生的危害進行警告,未正確標示儲存條件、消毒方法、維護信息,未對因長期使用產生功能喪失而可能引發的危害進行警告,未對合理可預見的誤用進行警告等引發的危害。
2.可參考的附錄
(1)與產品有關的安全性特征判定可參考YY/T 0316的附錄C。
(2)危害、可預見的事件序列和危害處境判斷可參考YY/T 0316的附錄E、I。
(3)風險控制的方案與實施、綜合剩余風險的可接受性評價及生產和生產后監視相關方法可參考YY/T 0316的附錄F、G、J。
(六)產品技術要求
申請人應當按照《醫療器械產品技術要求編寫指導原則》的規定編制,內容應包括產品名稱、產品型號/規格及其劃分說明、性能指標、檢驗方法和產品技術要求編號。
1.產品名稱、產品型號/規格及其劃分說明的內容應與綜述資料的相應內容保持一致。
2.性能指標、檢驗方法的內容可參考YY/T 1245設置,如申報產品除血型鑒定功能外還具有其他試驗功能,如抗體篩選、交叉配血等,還應對每一試驗功能提出相應的性能指標和檢驗方法,軟件組件應規定申報產品的全部臨床功能要求和檢驗方法。
3.電氣安全性能應符合GB 4793.1、GB 4793.9、YY 0648的要求。
4.電磁兼容性能應符合GB/T 18268.1、GB/T 18268.26的要求。
5.采用注冊檢驗方式證明環境條件對產品性能無影響的,環境試驗應符合GB/T 14710的要求。
產品技術要求中性能指標項目的具體要求應與性能研究資料保持一致,并具有確定的研究資料依據。
(七)產品注冊檢驗報告
同一注冊單元內所檢驗的產品應當能夠代表本注冊單元內其他產品的安全性和有效性。對同一注冊單元內代表產品的選取應考慮產品適用范圍、性能指標、安全指標、結構組成等,具體原則如下:
1.性能指標、安全指標和結構組成一致,適用范圍不同的產品,應選取適用范圍最多的型號規格作為代表產品。
2.適用范圍一致,主要設計結構存在差異,但差異未對安全性有效性造成顯著影響的產品,應選取性能指標標稱值最高的型號規格作為有效性驗證的代表產品。同時,在電氣安全性能無法互相覆蓋時,應對注冊單元內每一型號規格產品均進行電氣安全指標的注冊檢測。
3.同一注冊單元產品如包含多個軟件組件或多個版本的軟件組件,則每個軟件組件或每個版本軟件組件構成的產品均應作為一個檢測單元,除非檢測單元可以完整覆蓋注冊單元全部情況。
4.當沒有充足證據能夠證明同一注冊單元內不同型號規格產品之間電磁兼容性能可以覆蓋時,應選取每一型號規格產品進行電磁兼容項目檢測。
對于代表產品的選擇,申請人應當提供相關資料予以證明。對于不同型號規格產品之間電磁兼容性能可以覆蓋的情形,需由出具注冊檢驗報告的醫療器械檢驗機構提供相關說明(可在預評價意見中體現)。
(八)產品說明書和最小銷售單元的標簽樣稿
1.產品說明書
產品說明書應當符合《醫療器械說明書和標簽管理規定》的要求,至少包括以下內容:
(1)產品名稱、型號、規格;
(2)注冊人的名稱、住所、聯系方式及售后服務單位,進口產品還應當載明代理人的名稱、住所及聯系方式;
(3)生產企業的名稱、住所、生產地址、聯系方式及生產許可證編號,委托生產的還應當標注受托企業的名稱、住所、生產地址、生產許可證編號;
(4)醫療器械注冊證編號;
(5)產品技術要求的編號;
(6)產品性能、主要結構組成、適用范圍:
①主要結構組成
建議以實物照片/示意圖加文字的形式對申報產品的整體結構進行描述,標明各主要模塊的名稱(應包含軟件組件,并注明軟件組件的名稱、型號規格和發布版本)。
建議以實物照片/透視圖/俯視圖/剖面圖加文字的形式對各主要模塊逐一進行描述,標明每一主要模塊的主要組成結構和主要元器件的名稱,對于重要元器件或功能零部件,建議單獨進行描述。
建議對軟件的全部功能進行描述,重點對用戶界面的整體情況、各功能窗口涉及的操作功能、通訊接口及協議進行介紹。
建議按照以下格式描述產品結構及組成:“該產品主要由樣本裝載和輸送裝置、加樣裝置、試劑裝置、恒溫反應裝置、離心機、液體容器、檢測器、清洗裝置……和軟件(發布版本號:×××)組成”。
②適用范圍
建議采用以下形式進行描述:“該產品采用××法,與配套的檢測試劑共同使用(如適用),在臨床上用于對來源于人體血液樣本進行×××試驗”。
③工作原理
建議對申報產品采用的工作原理進行詳細描述。
建議以圖示加文字的形式對申報產品適用的每種試驗類型進行分步驟詳細介紹,每步驟的圖示中均應體現出該步驟狀態下反應載體內紅細胞的對應狀態。
④性能指標
建議至少寫明以下內容:產品尺寸、重量、儲存條件(溫度、濕度)、正常工作條件(溫度、濕度、海拔高度、電源要求、瞬態過壓類別、污染等級)、電磁兼容信息(分組、分類)、分析通量、試劑位數量、樣品位數量、適用的反應載體類型(試管、微孔板、柱凝集卡的尺寸和類型)、各裝置的主要性能指標(加樣裝置的加樣量、加樣準確性、加樣精密度、攜帶污染率、離心機轉速及相對偏差、恒溫反應裝置的溫度范圍及溫度精度、檢測光源、圖像獲取設備、結果判定裝置、機械傳動裝置精度等)、控制和顯示模塊的信息、產品主要功能等。
(7)注意事項、警示以及提示的內容;
(8)安裝和使用說明或者圖示:
建議以申報產品安裝調試完畢可開始正常工作作為初始狀態介紹具體的操作方法,詳細描述校準、質控、檢測設計(樣本排布、試劑選擇、檢測程序等)、結果傳輸和打印等每一步驟的詳細操作方式,主要是在用戶界面上如何操作應有詳細的文字及圖示描述。
(9)產品維護和保養方法,特殊儲存、運輸條件、方法:
①維護和保養
建議以文字加圖示的方式對使用者能夠進行的維護保養措施,包括每日維護(如非工作時間液路系統的維護方法、廢液桶更換方法)、每周維護(如水容器和水瓶的清潔方法)、每月維護(如清洗試劑探針的方法)、重點零部件維護(如樣本架的維護保養方法)的具體內容進行詳細描述。
②故障排除
建議以列表方式對申報產品正常使用過程中可能出現的可由使用者自行排除的故障進行詳細描述,應當至少寫明故障的表現、可能原因、建議的處理方式。
建議在列明可由使用者自行排除的故障基礎上,加注以下內容:當儀器出現故障,但顯示的錯誤代碼不在上表內,應立即停止操作,并聯系客服工程師。
(10)生產日期,使用期限或者失效日期:
注明產品的生產日期,使用期限或者失效日期。使用期限或者失效日期應當根據產品有效期研究資料的內容寫明具體日期,并注明確定依據。
考慮到儀器維護、保養、維修的情況,建議申請人可在產品說明書中注明有效期的同時,加注以下內容:“在使用過程中,用戶應當按照產品說明書的要求對產品進行維護、保養和維修。在維護、保養和維修后,經確認仍能保持基本安全性和有效性的產品,可以正常使用”。
(11)配件清單,包括配件(適用的反應載體的規格、適用的樣本管的規格、樣本架情況、急診樣本情況、條碼類型)、附屬品及損耗品,應寫明每一配件的名稱、更換周期以及更換方法的說明等;
(12)產品標簽所用的圖形、符號、縮寫等內容的解釋;
(13)說明書的編制或者修訂日期;
上述各項目均應當包含在產品說明書中,但其中的詳細內容可能因申請人和申報產品的不同而有所區別,或者某些項目的詳細內容可能記載于其他文件(如維修保養手冊)中,此種情況下,申請人應當在提交產品說明書時另附文件予以說明。
產品說明書的內容均應有明確的來源,與綜述資料、研究資料等注冊申報資料的內容保持一致。進口產品的原文說明書如缺少上述項目中的某些內容,應當在產品中文說明書中予以增加,涉及技術內容且前述注冊申報資料中未包含的,建議提交相應驗證資料。
2.最小銷售單元的標簽樣稿
全自動血型分析儀的標簽樣稿應當符合《醫療器械說明書和標簽管理規定》的要求,其內容應當至少包括第十三條規定的所有適用內容。如隨著工藝改進導致分析儀體積變小,而標簽樣稿中無法標明所有內容時,可按第十三條最后一段的要求提交最小銷售單元的標簽樣稿。
(一)《醫療器械注冊管理辦法》(國家食品藥品監督管理總局令第4號)
(二)《醫療器械說明書和標簽管理規定》(國家食品藥品監督管理總局令第6號)
(三)《醫療器械臨床試驗質量管理規范》(國家食品藥品監督管理總局令第25號)
(四)《醫療器械臨床評價技術審查指導原則》(國家食品藥品監督管理總局通告2015第14號)
(五)樊綺詩、錢士勻,《臨床檢驗儀器與技術》,人民衛生出版社,2015年3月
(六)胡麗華,《臨床輸血學檢驗技術》,人民衛生出版社,2015年3月
(七)胡麗華,《臨床輸血學檢驗》,第3版,人民衛生出版社,2012年1月
(八)成琪、劉秀玉、陳林、劉麗霞,單組臨床試驗目標值法的精確樣本含量估計及統計推斷,中國臨床藥理學與治療學,2011年5月第16卷第5期
(九)唐欣然、黃耀華、王楊、李衛,單組目標值試驗樣本量計算方法的比較研究,中華疾病控制雜志,2013年11月第17卷第11期
國家食品藥品監督管理總局醫療器械技術審評中心
附:全自動血型分析儀臨床評價要求
附
應符合《醫療器械臨床評價指導原則》第六項對“通過同品種醫療器械臨床試驗或臨床使用獲得的數據進行分析評價要求”的基本規定。
(一)同品種全自動血型分析儀
同品種全自動血型分析儀應與擬申報產品工作原理、結果判讀方法相同。
(二)同品種全自動血型分析儀的判定
申請人需將擬申報產品與一個或多個同品種產品進行對比,證明二者之間是否基本等同。
與每一個同品種產品進行對比的項目均應包括但不限于附表1列舉的項目,對比內容包括定性和定量數據、驗證和確認結果,特別要注意備注中的內容,應詳述二者的相同性和差異性,對差異性是否對產品的安全有效性產生不利影響,應通過擬申報產品自身的數據進行驗證和/或確認。
根據《醫療器械臨床評價指導原則》中規定的評價路徑可知,擬申報產品與對比產品關系有兩種,或為同品種產品,或為非同品種產品,如為同品種產品,還需對兩者之間的差異是否對產品安全性、有效性產生不利影響進行進一步評價。不同情形評價關系所需提交的支持性資料不盡相同,具體內容見表1,表1給出的具體情況舉例可能不能涵蓋所有情況,申請人應根據擬申報產品的具體情況進行列舉和判定,并給出判定的具體理由。
(一)概述
支持性資料中應明確說明擬申報產品與同品種全自動血型分析儀的差異;詳細說明針對擬申報產品與同品種全自動血型分析儀的差異進行的研究方式及研究結果,提供的研究證據應證明擬申報產品與同品種全自動血型分析儀的差異對產品臨床使用的安全性和有效性帶來的收益/影響。擬申報產品與同品種全自動血型分析儀常見主要差異示例見附表2,其中列出了不同單一差異對應的需提交資料類型。
1.申請人應當完整地列出擬申報產品與同品種全自動血型分析儀的所有差異點,并說明這些差異點的相互關系。若不同差異點之間存在相關性或相互影響,則應提供單個差異點影響的研究證據和關聯性差異點共存時影響的研究證據。
2.申請人應當根據擬申報產品與同品種全自動血型分析儀的具體差異點提供相應的支持性資料,資料的類型和數量應根據擬申報產品和對比產品的差異點對產品安全性、有效性的影響進行確定。
(二)針對差異性的非臨床研究資料
根據擬申報產品與同品種產品的差異性分析,申請人應當針對各差異點分別列出所進行的非臨床研究的內容和結果,包括但不僅限于注冊檢驗報告、自測報告、內部研究資料或驗證報告等。
(三)其他支持性資料
支持性資料為臨床文獻數據時,申請人應根據擬申報產品與同品種產品的差異點,合理選擇臨床文獻數據庫,準確設置檢索詞,進行全面的科學文獻檢索,完成文獻檢索和篩選方案、文獻檢索和篩選報告。
支持性資料為臨床經驗數據時,在綜合考慮、科學分析擬申報產品與同品種產品差異的基礎上,可提供臨床經驗數據收集內容,包括對已完成的臨床試驗、不良事件、與臨床風險相關的糾正措施等數據的收集。
全自動血型分析儀同品種產品通常存在附表2中所列的差異,基于擬申報產品和同品種全自動血型分析儀的對比結果,申請人應當對擬申報產品與對比產品的差異性及該差異對產品安全性和有效性的影響進行全面評估,如果非臨床研究、臨床文獻數據、臨床經驗數據等無法充分地證明該差異對產品安全性和有效性的影響,則應提供相應的臨床試驗資料。
上述支持性資料、同品種醫療器械臨床使用獲得的數據的收集、同品種醫療器械臨床數據分析評價方法、臨床評價報告撰寫等方面的具體內容可參照《醫療器械臨床評價技術指導原則》的相關規定。
附表:11.擬申報產品與同品種全自動血型分析儀對比表
2.擬申報產品與同品種全自動血型分析儀常見主要差異示例
附表1
附表2
(下表僅體現單一差異對應的需提交資料類型)
附2
全自動血型分析儀臨床試驗的全過程應符合《醫療器械臨床試驗質量管理規范》的要求,臨床試驗倫理審查申請與審批表、知情同意書、病例報告表、臨床試驗方案、臨床試驗報告等文件的格式應符合《關于發布〈醫療器械臨床試驗倫理審查申請與審批表范本〉等六個文件的通告》(國家食品藥品監督管理總局通告2016年第58號)的要求。
本部分內容僅對臨床試驗過程中需要特別給予關注和考慮的要點給出原則要求,其余內容均應按照上述文件要求執行。
評價擬申報全自動血型分析儀在正常使用條件下是否符合預期安全性和有效性。
申請人應當選擇符合《醫療器械臨床試驗質量管理規范》要求的臨床試驗機構開展臨床試驗,針對擬申報產品制定適用的臨床試驗方案。臨床試驗方案的設計應由申請人、血型檢驗專家和統計學專家共同完成,各方應在規定的職責范圍內開展相關工作。
(二)對照方法選擇
根據擬申報產品的適用范圍,申請人可選擇采用對照產品和對照方法兩種方式。
當擬申報產品的適用范圍不多于中國境內已批準上市同類全自動血型分析儀的適用范圍時,可以選擇已在中國境內上市的同類全自動血型分析儀作為對照產品,建議選擇目前在臨床血型檢測方面使用狀況良好的機型,應提供對照產品的信息,如生產企業、型號、適用范圍等。
當擬申報產品的適用范圍多于中國境內已批準上市同類全自動血型分析儀的適用范圍時,可以選擇已在中國境內上市的同類全自動血型分析儀作為對照產品,對相同的適用范圍進行評價。并選擇相應試驗的手工方法作為對比方法,對適用范圍差異部分的試驗功能進行評價。
除對照產品/方法外,臨床試驗中還應選擇適宜的方法對擬申報產品和對照產品/方法檢測結果不一致樣本進行復核,以明確結果不一致的原因。
(三)受試者樣本入選要求
1.符合擬驗證試驗的要求。
2.年齡分布應均衡合理。
3.性別分布應均衡合理。
4.充分考慮人種、地域差異對試驗結果的影響。
(四)臨床試驗評價指標
1.主要評價指標:
擬申報產品和對照產品/對照方法對同一受試者樣本檢測結果的符合率。
2.次要評價指標:
(1)儀器功能、穩定性
(2)儀器使用便捷性
(3)儀器使用安全性
(五)臨床試驗評價標準
1.對于擬申報產品適用范圍內的每一試驗項目,均應計算其與對照產品/對照方法檢測結果的符合率。
2.儀器功能、穩定性、便捷性、安全性
(1)儀器功能、穩定性、便捷性
評價標準:
——功能評價
①儀器運行過程中能實時監測運行狀態并自動對用戶進行提示的,則認為滿意;能實時監測運行狀態,但對用戶提示需人工操作的,則認為一般;若僅能在后臺監測,無任何提示,則認為不滿意。
②異常狀態報警功能,如既在操作界面顯示又在設備上有顏色及聲音提示的,具有中止儀器運轉功能的,則認為滿意;如不具有中止儀器運轉功能的,則認為一般;對異常狀態不能即時提示的,則認為不滿意。
③異常定型結果提示功能,如能即時如實記錄異常定型結果樣本號,又能以高亮等方式自動提示操作者,操作者可以手工確認的,則認為滿意;如能即時提示操作者有異常定型結果,操作者手工無法確認的,則認為一般;如僅在后臺記錄異常定型結果,不能即時提示操作者的,則認為不滿意。
④運行過程追蹤記錄功能,如運行過程能實時追蹤并顯示記錄,則認為滿意;如追蹤記錄需由操作者手動查看,則認為一般;如追蹤記錄僅能由客服工程師查看,則認為不滿意。
⑤數據、圖像備份功能,如數據、圖像都能夠完整長期保存,可方便地檢索,則認為滿意;如數據、圖像記錄都能夠完整長期保存并檢索,但檢索過程繁瑣,則認為一般;如數據、圖像出現無故丟失或無法檢索,則認為不滿意。
⑥樣本、反應載體、試劑正確識別功能,如對樣本、反應載體、試劑能夠正確識別,判定用量,并能夠在界面上對其信息正確顯示和報警的,則認為滿意;如僅能正確識別,判定用量,但不顯示相關信息和報警的,則認為一般;如出現不能夠正確識別的,則認為不滿意。
——穩定性評價
儀器在臨床試驗過程中可持續正常工作,則認為滿意;儀器在試驗中雖出現錯誤但可以迅速恢復,無不可恢復的錯誤發生,可24小時正常開機,則認為一般;如出現導致儀器不能正常使用的故障,則認為不滿意。
——便捷性評價
①試驗參數設置:操作者按照說明書內容可順利完成試驗參數設置的,則認為滿意;若操作者按照說明書內容不能完成試驗參數設置但軟件能夠提示并引導操作者完成相關工作的,則認為一般;若操作者按照說明書內容不能完成試驗參數設置的,則認為不滿意;
②操作界面友好性:操作界面功能清晰、各按鈕及圖表位置合理、能順暢操作各項功能,使用中文的,則認為滿意;若操作界面功能和位置基本合理,但未使用中文的,則認為一般;若操作界面功能不清晰、位置不合理,則認為不滿意。
(2)儀器使用安全性
評價標準:
①機械安全性:如果整個臨床試驗過程中,沒有運動部件意外動作、傾倒、零件脫落、機械斷裂、撞擊或擠壓操作者的事件,則認為安全;否則認為不安全。
②電氣安全性:如果整個臨床試驗過程中,沒有發生漏電,則認為安全;否則認為不安全。
③噪聲安全性:如果整個臨床試驗過程中,由儀器機械部件、離心裝置帶來的噪聲未使操作者感到不可接受,則認為安全;否則認為不安全。
④生物安全性:廢物提取便捷,且廢物收集裝置附近有明顯生物安全標識的,則認為安全;否則認為不安全。
⑤其他:如果整個臨床試驗過程中,沒有其他不可接受的不良事件,則認為安全;否則認為不安全。
以上所列臨床試驗評價指標僅為一般情況下的舉例,申請人應根據擬申報產品的實際情況對指標進行增減。
3.試驗人員要求
上述臨床試驗評價指標中,擬申報產品適用范圍內相應試驗項目與對照產品/對照方法符合率的評價過程應由醫療機構輸血科中具有中級以上(含中級)職稱的技師操作,并設置主操作者、復核人。
對于擬申報產品功能、穩定性、便捷性、安全性的評價過程應由醫療機構輸血科中具有中級以上(含中級)職稱的技師進行。
(六)臨床試驗樣本量
本臨床試驗的主要評價指標為擬申報產品和對照產品/對照方法對同一受試者樣本同一試驗結果的符合率。即對每一例受試者樣本同時應用擬申報產品與對照產品(含配套試劑)進行測量后所得結果進行符合率的評價。據此,全自動血型分析儀的臨床試驗,可采用目標值法的單組試驗進行。
為了確保臨床試驗主要評價指標(擬申報產品和對照產品/對照方法對同一例受試者樣本進行同一試驗項目結果的符合率)達到顯著的統計學意義,基于主要評價指標計算的臨床試驗例數必須符合統計學要求。
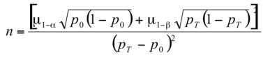
根據臨床使用需求,擬申報產品和對照產品/對照方法對同一受試者樣本同一試驗項目結果的符合率不得低于97%(目標值P0),則:假設擬申報產品和對照產品/對照方法對同一受試者樣本同一試驗結果的符合率(PT)為99%、雙側統計學顯著性水平(a)為0.05、檢驗效能(1-b)為80%時,試驗至少需要432例受試者樣本,考慮試驗操作過程中可能的剔除率約10%,共需納入475例受試者樣本。估算的具體公式如下所示:
其中,a為檢驗水準,常取值為雙側5%或單側2.5%;1-b為把握度,一般取值為80%;μ1-a和μ1-b為標準正態分布的分位數;PT為預期終點事件發生率,P0為預先指定的目標值。(注:按照以上方式計算得到的樣本量為擬申報產品和對照產品/對照方法對同一受試者樣本同一試驗項目結果的符合率達到99%時的所需樣本量,具體臨床試驗時,申請人應根據擬申報產品的特性計算所需樣本量。但考慮到血型檢測試驗對準確性有較高要求,P0值不宜設置過低。)
基于上述估計,對于不同的試驗項目,樣本量及分布的具體要求如下:
1.血型鑒定:ABO、RhD血型鑒定,總樣本量至少475例,ABO血型鑒定應同時進行正定型和反定型。其中AB型至少60例,RhD陰性至少10例,正反定型不一致樣本至少10例,每一受試者樣本只能使用一次。
2.交叉配血:總樣本量至少475組,應包含至少20組交叉配血不符的樣本,每一受試供血者樣本最多只能使用兩次。
3.抗體篩選:總樣本量至少475例,其中應包含至少60例抗體陽性樣本,每一受試者樣本只能使用一次。
在樣本量可以滿足試驗要求,且不違反倫理學原則的前提下,同一受試者樣本可同時進行上述三個類型的試驗。對于除上述試驗之外的其他試驗項目,可參照上述原則估算樣本量。
樣本量的估算亦可采取其他方法,申請人應當在臨床試驗方案中明確寫明所采用的方法,并說明具體原因。
(七)臨床試驗結果的統計分析
臨床試驗數據的統計分析應采用國內外公認的經典統計分析方法。臨床試驗方案中應當明確統計檢驗的類型、檢驗假設、判定試驗結果有臨床意義的目標值,目標值的確定應有依據。
1.結果計算
按照四格表法,計算擬申報產品和對照產品/對照方法對每一試驗項目結果的符合率。
2.結果檢驗
對于臨床試驗的主要評價指標“結果符合率”,需要根據擬申報產品和對照產品/對照方法對同一試驗結果的符合率,按照a=0.05的雙側檢驗水準進行假設檢驗,應用精確概率法計算P值,判斷P值是否小于0.05來判斷擬申報產品與對照產品/對照方法對同一受試者樣本同一試驗項目符合率是否高于預先設定的目標值97%。同時,采用基于二項分布與F分布關系的精確法計算得到雙側95%可信區間,如擬申報產品與對照產品/對照方法對同一受試者樣本同一試驗項目符合率的95%可信區間下限大于97%,則可認為擬申報產品相應試驗項目的檢測能力與對照產品/對照方法相當。

站點聲明
本網站所提供的信息僅供參考之用,并不代表本網贊同其觀點,也不代表本網對其真實性負責。圖片版權歸原作者所有,如有侵權請聯系我們,我們立刻刪除。如有關于作品內容、版權或其它問題請于作品發表后的30日內與本站聯系,本網將迅速給您回應并做相關處理。
鄭州思途醫療科技有限公司專注于醫療器械產品政策與法規規事務服務,提供產品注冊備案申報代理、臨床試驗、體系建立輔導、分類界定、申請創新辦理服務。
為深入貫徹落實中共中央辦公廳、國務院辦公廳印發的《關于深化審評審批制度改革鼓勵藥品醫療器械創新的意見》(廳字〔2017〕42號),按照國家藥品監督管理局《關于擴大醫療器械
為規范醫療器械注冊人跨區域委托生產的監督管理,推進長江三角洲區域醫療器械跨區域監管,根據《中共中央辦公廳國務院辦公廳關于深化審評審批制度改革鼓勵藥品醫療器械創新的意見》《
附件:血液透析用水處理設備注冊審查指導原則(2024年修訂版)(2024年第19號).doc血液透析用水處理設備注冊審查指導原則(2024年修訂版)本指導原則旨在指導注冊申請人對血液透析用水處理設備注冊申報資料的準備及撰寫,同時也為技術審評部門提供參考。本指導原則是對血液透析用水處理設備的一般要求,注冊申請人依據產品的具體特性確定其中內容是否適用。若不適用,要具體闡述理由及相應的科學依據,并依據產
本指導原則旨在幫助和指導注冊申請人對一次性使用腹部穿刺器注冊申報資料進行準備,以滿足技術審評的基本要求。同時有助于審評機構對該類產品進行科學規范的審評,提高審評工
附件:重組膠原蛋白創面敷料注冊審查指導原則(2023年第16號).doc重組膠原蛋白創面敷料注冊審查指導原則本指導原則旨在指導注冊申請人準備及撰寫重組膠原蛋白創
國家藥監局關于發布免于臨床試驗的體外診斷試劑臨床評價技術指導原則的通告(2021年第74號)發布時間:2021-09-24為指導體外診斷試劑的臨床評價工作,根據
國家市場監督管理總局令 第47號 《醫療器械注冊與備案管理辦法》已經2021年7月22日市場監管總局第11次局務會議通過,現予公布,自2021年10月1日起施行。 附件: 醫療器械注冊與備案管
國家藥監局藥審中心關于發布《抗腫瘤藥物臨床試驗中SUSAR分析與處理技術指導原則》的通告(2024年第42號) 發布日期:20241010
國家藥監局器審中心關于發布影像型超聲診斷設備(第三類)注冊審查指導原則(2023年修訂版)的通告(2024年第29號)發布時間:2024-10-14為進一步規范
附件:一次性使用醫用沖洗器產品注冊審查指導原則(2022年第41號).doc一次性使用醫用沖洗器產品注冊審查指導原則本指導原則旨在指導注冊申請人對一次性使用醫用
行業資訊
知識分享
八年
醫療器械服務經驗
聯系思途,免費獲得專屬《落地解決方案》及報價
咨詢相關問題或咨詢報價,可以直接與我們聯系
思途CRO——醫療器械注冊臨床第三方平臺
