赫爾辛基宣言(2024版)
2024年10月19日,在第 75 屆世界醫學會全體大會上正式通過了《赫爾辛基宣言》的最新修訂版本;《赫爾辛基宣言》作為人類參與者的醫學研究倫理
來源:醫療器械注冊代辦 發布日期:2024-01-03 閱讀量:次
附件:寨卡病毒核酸檢測試劑注冊審查指導原則(2024年第1號).doc
本指導原則旨在指導注冊申請人對寨卡病毒核酸檢測試劑注冊申報資料的準備及撰寫,同時也為技術審評部門提供參考。
本指導原則是對寨卡病毒核酸檢測試劑的一般要求,申請人應依據產品的具體特性確定其中內容是否適用。若不適用,需具體闡述理由及相應的科學依據,并依據產品的具體特性對注冊申報資料的內容進行充實和細化。
本指導原則是供注冊申請人和技術審評人員使用的指導性文件,但不包括審評審批所涉及的行政事項,亦不作為法規強制執行,應在遵循相關法規的前提下使用本指導原則。如果有能夠滿足相關法規要求的其他方法,也可以采用,但是需要提供詳細的研究資料和驗證資料。
本指導原則是在現行法規和標準體系以及當前認知水平下制定,隨著法規和標準的不斷完善,以及科學技術的不斷發展,相關內容也將適時進行調整。
寨卡病毒屬于黃病毒科黃病毒屬,呈球形,直徑約為40-70nm,有包膜。基因組為單股正鏈RNA,長度約為10.8Kb,兩端為非編碼區,內部的單一開放讀碼框依次編碼3種結構蛋白,包括衣殼蛋白(C)、膜蛋白前體/膜蛋白(prM/M)、包膜蛋白(E)和7種非結構蛋白(NS1、NS2A、NS2B、NS3、NS4A、NS4B和NS5),根據基因組序列不同分為亞洲型和非洲型兩個基因型。
寨卡病毒病的檢測方法包括病毒核酸檢測、病毒抗原檢測、IgM和IgG抗體檢測、中和抗體檢測和病毒分離培養等。寨卡病毒與黃病毒屬其他病毒具有較強的血清學交叉反應,目前主要采用病毒核酸檢測。核酸檢測主要采用逆轉錄實時熒光PCR、恒溫擴增等方法,檢測樣本類型包括血清、血漿、尿液、精液或唾液等。
本指導原則適用于采用逆轉錄實時熒光PCR法,對血清、血漿、尿液、精液或唾液等樣本中的寨卡病毒核酸進行體外定性檢測的試劑。
對于采用其他方法學的寨卡病毒核酸檢測試劑,可能部分要求不完全適用或本文所述內容不夠全面,申請人應參照本指導原則,根據產品特性對適用部分進行評價,并補充其他的評價資料。
本指導原則適用于寨卡病毒核酸檢測試劑注冊申請和變更注冊申請的情形。本指導原則針對寨卡病毒核酸檢測試劑注冊申報資料中的部分內容進行撰寫,其他未盡事宜應當符合《關于公布體外診斷試劑注冊申報資料要求和批準證明文件格式的公告》等相關法規要求,同時建議參考《定性檢測試劑分析性能評估注冊審查指導原則》等適用的技術文件要求。
(一)監管信息
1.產品名稱及分類編碼
產品名稱應符合《體外診斷試劑注冊與備案管理辦法》及相關法規的要求,如寨卡病毒核酸檢測試劑盒(熒光PCR法)。根據《體外診斷試劑分類規則》,該產品按照第三類體外診斷試劑管理,分類編碼為6840。
2.其他信息還包括產品列表、關聯文件、申報前與監管機構的聯系情況和溝通記錄以及符合性聲明等文件。
(二)綜述資料
綜述資料主要包括概述、產品描述、預期用途、申報產品上市歷史及其他需說明的內容。應詳細說明產品所采用的技術原理及檢測流程。提供不同適用機型的檢測通量,即一次檢測最多可檢測的樣本數。提供核酸提取(手工和自動提取方式應分別明確)和PCR擴增的時間,以及檢測全過程所需的時間。不同檢測流程,分別提供最少和最多檢測樣本量下的檢測時間。與已上市同類產品進行比較,比較內容包括樣本類型,檢測原理,檢測靶基因,組成成分,內標,質控品,判讀規則,分析性能和臨床性能等。
預期用途中明確產品檢測的靶基因,需選擇保守性和特異性相對較高的基因,同時還應考慮基因的擴增效率。檢測基因的選擇應提供相關指南或文獻,并分析所檢測基因的靈敏度和特異性是否符合臨床需求。
(三)非臨床資料
1.分析性能研究
注冊申請人應采用在符合質量管理體系的環境下生產的試劑盒進行所有分析性能研究,提交具體研究方法、試驗方案、試驗數據、統計分析等詳細資料。
分析性能評估所用樣本的基本信息均需明確,例如樣本來源、樣本類型、采集和處理方式、稀釋方式、定值過程及數據等。研究中采用的寨卡病毒陽性樣本,應采用科學合理的方法確定其陰陽性和濃度水平,提交具體的試驗資料。建議采用國際標準品建立校準曲線的方法確定研究樣本的濃度。分析性能評估用樣本一般應為真實樣本,如涉及稀釋后檢測,應采用與適用樣本類型一致的陰性基質。不可采用質粒、假病毒或體外轉錄RNA等,進行分析性能評估。對于各項性能中采用的樣本,在下述各項性能研究資料中分別提供樣本信息列表。檢出限和包容性研究中所用樣本應相互獨立。
1.1樣本穩定性
考慮到病毒RNA極易被降解的特性,應對樣本穩定性進行詳細研究,包括采集后未經處理的樣本,滅活處理后的樣本,研究內容包括冷藏保存時間,冷凍保存時間,凍融次數等。
建議對每種樣本類型均進行穩定性研究。
如核酸提取液可不立即進行檢測,還需對經提取后的核酸產物的保存條件和穩定性進行研究。
1.2企業參考品驗證
根據主要原材料研究資料中的企業參考品設置情況,采用三批產品對企業參考品進行檢驗并提供詳細的試驗數據。
1.3準確度
可采用方法學比對或參考品(盤)檢測的方法進行研究。
1.4精密度
應對精密度指標,如標準差或變異系數等的評價標準做出合理要求。應考慮運行、時間、操作者、儀器、試劑批次和地點等影響精密度的條件,設計合理的精密度試驗方案進行評價。精密度評價試驗應包含核酸提取步驟。設定合理的精密度評價周期,例如為期至少20天的檢測。對檢測數據進行統計分析,獲得重復性、實驗室內精密度、實驗室間精密度、批間精密度等結果。
采用臨床樣本或病毒培養物進行精密度評價,應至少包含3個水平:陰性樣本、臨界陽性樣本、中/強陽性樣本,并根據產品特性設定適當的精密度要求,例如:
陰性樣本:不含待測物,陰性檢出率應為100%(n≥20)。
臨界陽性樣本:待測物濃度略高于試劑盒的檢出限,陽性檢出率應≥95%(n≥20)。
中/強陽性樣本:待測物濃度呈中度到強陽性,陽性檢出率為100%且Ct值的CV≤5%(n≥20)。
1.5包容性
1.5.1采用生物信息學方法對產品檢測的包容性進行研究,研究應覆蓋已公布的寨卡病毒核酸序列。
1.5.2驗證具有時間和區域特征性的不同來源的陽性樣本,應包括檢出限和重復性的驗證。樣本應覆蓋已知寨卡病毒的主要型別,包含對亞洲型、非洲型和其他重點型別各不少于3個不同來源的陽性樣本(臨床樣本或病毒培養物)的研究。
1.6檢出限
1.6.1檢出限的確定
建議采用亞洲型和非洲型的流行株樣本系列稀釋于與適用樣本一致的基質中,進行檢出限的確定。每個濃度梯度重復檢測,記錄不同濃度檢出的結果,采用適當的模型(如Probit分析)和分析方法,將具有95%陽性檢出率的最低濃度水平作為確定的檢出限。申請人可采用半數組織感染量測定法(TCID50)的方法進行毒株濃度確認,以TCID50/mL作為毒株濃度的表示方式;也可采用空斑形成單位(PFU)的方式進行毒株濃度的確認,以PFU/mL作為毒株濃度的表示方式。除此之外,申請人還應采用數字PCR、標準曲線等方法進行毒株核酸濃度的確認,以copies/mL作為毒株濃度的表示方式;采用國際標準品建立校準曲線的方法確定研究樣本的國際單位濃度。
1.6.2檢出限的驗證
選擇另外3例不同來源的寨卡病毒樣本在檢出限濃度水平進行驗證,應達到95%陽性檢出率。
1.7分析特異性
1.7.1交叉反應
需驗證相關病原體和多例人類基因組DNA(表1)的交叉反應。建議在病毒和細菌感染的醫學相關水平進行交叉反應的驗證。通常,細菌感染的濃度水平為106CFU/mL或更高,病毒為105PFU/mL或更高,提供所有用于交叉反應驗證的病原體樣本的來源、陰陽性、種屬/型別和濃度確認等試驗資料。
對于某些難以培養或因為生物安全性無法培養的病原體,可采用病原體核酸樣本進行交叉驗證。應提供用于交叉反應驗證的病原體核酸的來源、組成和濃度等信息,濃度可采用copies/mL單位表示。

注:*標注為可采用生物信息學分析的方法進行研究的病原體。
1.7.2競爭性干擾
申請人應充分考慮臨床上容易與寨卡病毒合并感染的病原體,如登革病毒等,在高濃度的情況下對低濃度(例如檢出限濃度)寨卡病毒核酸檢測的影響,進行競爭性干擾研究。
1.7.3干擾試驗
應根據所采集樣本類型,針對可能存在的內源/外源物質干擾情況進行驗證。建議申請人在每種干擾物質的潛在最大濃度(“最差條件”)條件下進行試驗,檢測包含臨界陽性水平在內的寨卡病毒樣本。對結果進行合理的統計分析,對比添加干擾物質前后的Ct值差異。檢測的潛在干擾物包括樣本中的原有物質及在樣本采集和處理期間引入的物質。

1.8核酸(RNA)提取/純化性能
在進行核酸檢測之前,建議有核酸(RNA)提取/純化步驟。該步驟的目的除最大量分離出目的RNA外,還應有相應的純化作用,盡可能去除PCR抑制物。對配合使用的所有核酸提取試劑進行提取核酸純度、濃度、提取效率的研究,并與質量較好的核酸提取試劑進行平行比對。若產品適用兩種或以上核酸提取試劑,則每一種核酸提取試劑均需配合檢測試劑至少進行抗干擾、再現性和檢出限的驗證,如果配套核酸提取試劑提取原理存在差異,還需額外進行檢出限的建立。
1.9反應體系
1.9.1樣本采集和處理
1.9.1.1樣本采集方式的選擇
1.9.1.2樣本采集時間點的選擇:是否受病程、臨床癥狀、用藥情況等因素的影響。
1.9.1.3樣本處理方式的選擇:研究產品適用的滅活方式,包括熱滅活和化學滅活,化學滅活部分應對常見的消毒劑的適用性進行研究。研究樣本前處理方式,包括對不同樣本類型的離心條件的確定研究等。
1.9.2核酸提取和反應體系
研究確定最佳核酸提取和反應體系,包括核酸提取用的樣本體積、洗脫體積和PCR加樣體積、各種酶濃度、引物/探針濃度、dNTP濃度、陽離子濃度及反應各階段溫度、時間、循環數等。建議在保證核酸提取質量的情況下盡量擴大總反應體系和加樣量,以提高檢測靈敏度。
提交不同適用機型基線和閾值循環數的確定資料。
不同適用機型的反應條件如果有差異應分別詳述,并提交驗證資料。
2.穩定性研究
申報試劑的穩定性主要包括實時穩定性(有效期)、開瓶穩定性、運輸穩定性、機載穩定性(如適用)及凍融次數限制等研究,申請人可根據實際需要選擇合理的穩定性研究方案。穩定性研究資料應包括具體的實施方案、詳細的研究數據以及統計分析結論。對于實時穩定性研究,應提供至少三批產品在實際儲存條件下保存至成品有效期后的研究資料。對于開瓶穩定性研究應模擬真實使用情形,包括開瓶穩定性的開瓶頻次和開瓶時間等。
3.陽性判斷值研究
陽性判斷值一般為申報產品檢測病毒核酸陽性的Ct值。陽性判斷值研究用樣本來源應具有多樣性和代表性,考慮不同時間、地域、不同的感染階段和生理狀態等因素,盡量納入較多弱陽性的樣本,陰性樣本應包含易交叉病原體高濃度樣本。在條件允許的情況下,建議覆蓋目前的流行株進行陽性判斷值研究。如判定值存在灰區,應提供灰區的確認資料。
如果產品適用不同樣本類型,需要對各樣本類型進行陽性判斷值的驗證。
提交陽性判斷值研究所用樣本的背景信息列表,至少包括性別、年齡、臨床診斷信息、樣本來源機構、檢測結果等信息。
提供內標檢測結果范圍的確定方法和研究資料。
4. 其他資料
4.1主要原材料研究資料
該類產品的主要原材料包括引物、探針、酶、dNTP、核酸分離/純化組分(如有)、質控品、參考品等。應提供主要原材料的選擇與來源、制備過程、質量控制標準等相關研究資料、質控品的定值試驗資料等。如主要原材料為企業自制,應提供其詳細制備過程;如主要原材料源于外購,應提供資料包括:選擇該原材料的依據及對比篩選試驗資料、供貨方提供的質量標準、出廠檢驗報告,以及該原材料到貨后的質量檢驗資料。供應商應固定,不得隨意更換。
4.1.1引物和探針:應詳述引物和探針的設計原則,提供引物、探針核酸序列、靶序列的基因位點及兩者的對應情況。建議每種病毒設計兩套或多套引物、探針以供篩選,通過序列比對和功能性試驗等方式,對病毒進行包容性和特異性(如交叉反應)的評價,其中序列比對包括與已公布寨卡病毒序列的比對,及與易產生交叉反應的其他病原體的序列比對;功能性試驗包括對不同來源、不同滴度的寨卡病毒核酸陽性樣本,和不同的近緣病原體的檢測。通過篩選確定最佳的引物和探針組合。引物、探針的質量標準應至少包括序列準確性、純度、濃度及功能性試驗等。
4.1.2脫氧三磷酸核苷(dNTP):包括dATP、dGTP、dCTP、dTTP、dUTP,應提供對其純度、濃度、功能性等的詳細驗證資料。
4.1.3酶:需要的酶主要包括DNA聚合酶、逆轉錄酶、尿嘧啶DNA糖基化酶等,應分別對酶活性、功能性等進行評價和驗證。
4.1.4質控品
試劑盒一般包含陰性質控品和陽性質控品。陽性質控品應包含試劑盒檢測的靶序列,可采用假病毒制備。質控品需參與樣本處理、核酸的平行提取和檢測的全過程,以對整個提取和PCR擴增過程、試劑/設備、交叉污染等環節進行合理質量控制。提交試劑盒質控品有關原料選擇、制備、定值過程、濃度范圍等試驗資料,對質控品的檢測結果Ct值范圍做出明確的要求。
4.1.5內標
內標,又稱內對照,可對管內抑制導致的假陰性結果進行質量控制,應與靶核酸一同提取及擴增。申請人需對內標的引物、探針設計和相關反應體系的濃度做精確驗證,既要保證內標熒光通道呈明顯的陽性曲線又要盡量降低對靶基因檢測造成的抑制。明確內標的檢測結果Ct值范圍。建議科學設置內標,對待測樣本的取樣質量、試劑的反應體系進行監控。
4.1.6企業參考品
該類產品的企業參考品一般包括陽性參考品、陰性參考品、檢出限參考品和重復性參考品。應根據產品性能驗證的實際需要設置企業參考品。
應提交企業參考品的原料來源、選擇、制備、陰陽性及濃度確認方法或試劑等相關驗證資料。企業參考品應采用臨床樣本,或者使用病毒培養物加入陰性基質。企業參考品的設置建議如下:
陽性參考品:應著重考慮不同來源的病毒樣本和滴度要求,應至少選取不同來源的5個病毒樣本。
陰性參考品:主要涉及對交叉反應的驗證情況,建議包括登革病毒(DENV-1~DENV-4)、西尼羅病毒、黃熱病毒、乙型腦炎病毒、森林腦炎病毒、基孔肯雅病毒、新型布尼亞病毒、漢坦病毒、漢城病毒、麻疹病毒、風疹病毒、丙型肝炎病毒 、EB病毒、人巨細胞病毒、腸道病毒71型、柯薩奇病毒A16型、埃可病毒、細小病毒B19;立克次體、鉤端螺旋體 、瘧原蟲;傷寒桿菌、金黃色葡萄球菌等。
檢出限參考品:可采用95%陽性檢出水平或略高于檢出限的水平,如100%陽性檢出水平。
重復性參考品:建議包括高、低兩個濃度的樣本,其中一個濃度應為檢出限附近的濃度。
4.2生產工藝研究資料
介紹產品主要生產工藝,可用流程圖結合文字的方式表述。提交主要生產工藝的確定及優化研究資料。
(四)臨床評價資料
該類試劑應通過臨床試驗路徑進行臨床評價。臨床試驗應符合《體外診斷試劑注冊與備案管理辦法》《醫療器械臨床試驗質量管理規范》和《體外診斷試劑臨床試驗技術指導原則》的要求,如相關法規、文件有更新,臨床試驗應符合更新后的要求。下面僅說明該類產品臨床試驗中應關注的重點問題。
1.臨床試驗機構
應選擇具備相應條件且按照規定備案的醫療器械臨床試驗機構開展臨床試驗。寨卡病毒病屬于區域性傳染性疾病,建議申請人在相關流行病學多發區域開展臨床試驗。臨床試驗機構數量應不少于3家,且具有分子生物學方法檢測的優勢,試驗操作人員應有足夠的時間熟悉檢測系統的各環節(儀器、試劑、質控及操作程序等),熟悉試驗方案。在整個試驗中,試驗體外診斷試劑和對比方法均應處于有效的質量控制下,最大限度保證試驗數據的準確性及可重復性。
2.臨床試驗方法
2.1與對比方法的比較研究
2.1.1申請人可采用試驗體外診斷試劑與核酸序列測定(Sanger測序)方法進行對比試驗,評價兩種檢測方法的一致性。同時還應進行部分與寨卡病毒分離培養鑒定的對比試驗。以上兩方面評價結果結合起來共同論證試驗體外診斷試劑的臨床性能。
臨床試驗資料中應對測序方法進行詳細的介紹,并提交性能驗證數據,證明測序方法與試驗體外診斷試劑的可比性。如測序試驗委托其他機構完成,還應提交由臨床試驗機構委托第三方機構/實驗室開展相關試驗的測序服務合同/協議,提交相關機構資質證明文件和選擇依據。
2.1.2 如有已上市同類產品,臨床試驗亦可選擇已上市的同類產品作為對比試劑,對比試劑的選擇應考慮在預期用途、樣本類型、產品性能等方面應與試驗體外診斷試劑具有良好的可比性。
2.2 與臨床參考標準的比較研究
在上述比較研究的基礎上,申請人還應采用試驗體外診斷試劑與寨卡病毒病診斷的臨床參考標準進行比較研究,評價試驗體外診斷試劑的臨床性能。寨卡病毒病診斷的臨床參考標準可參考國家衛健委發布的現行有效的寨卡病毒病診療方案推薦的確診依據。
3.臨床試驗受試者的選擇
臨床試驗的受試人群應來自產品的預期適用人群,該產品的適用人群為寨卡病毒感染的疑似病例,申請人在進行臨床試驗時應依據國家衛健委發布的現行有效的寨卡病毒病診療方案中對“疑似病例”的定義確定受試者入組標準。同時還應入組部分需要進行鑒別診斷的其他病原體感染病例,如登革熱等,對產品臨床特異度進行充分評價。根據產品預期適用人群和寨卡病毒病發病特征,臨床試驗受試者中應包含一定數量的孕婦和嬰幼兒受試者。此外臨床試驗應納入部分弱陽性樣本。
4.臨床試驗樣本類型
寨卡病毒核酸檢測可能涉及的樣本類型包括血清、血漿、唾液、精液和尿液等。臨床樣本的采集建議按照國家衛健委發布的相關實驗室檢測技術方案執行。
如申報產品適用于不同的樣本類型,且經分析和驗證不同樣本類型之間幾乎不存在差異,例血清和血漿樣本,則臨床試驗中不同樣本類型可進行匯總統計。如不同樣本類型在樣本基質、干擾因素、被測物濃度水平等方面存在差異,例如血清/血漿與尿液、精液和唾液,則應針對不同樣本類型分別進行臨床性能評價,包括分別進行樣本量的估算等。
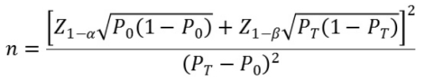
5.臨床試驗樣本量
臨床試驗陽性樣本和陰性樣本數量應分別滿足統計學要求。針對與Sanger測序法或同類已上市產品的對比試驗,可采用目標值法公式分別估算最低陽性和陰性樣本例數。
樣本量估算公式如下,

公式中,n為樣本量;Z1-α、Z1-β為顯著性水平和把握度的標準正態分布的分數位,P0為評價指標的臨床可接受標準,PT為試驗體外診斷試劑評價指標預期值。
其中陽性符合率和陰性符合率的臨床可接受標準(P0)建議不低于90%。臨床試驗結果中,相關評價指標的95%置信區間下限應不低于預設的臨床可接受標準。當評價指標P接近100%時,上述樣本量估算方法可能不適用,應考慮選擇更加適宜的方法進行樣本量估算和統計學分析,如精確概率法等。
與病毒分離培養鑒定的對比試驗亦應入組一定數量的培養陽性及培養陰性病例,可采用抽樣精度的公式進行樣本量估算。
與臨床參考標準對比的比較研究,建議參考上述與對比方法對比的樣本量估算方法,設定合理的臨床可接受標準。
6.臨床試驗結果的統計分析
臨床試驗結果一般以四格表的形式進行總結,并據此計算試驗體外診斷試劑的靈敏度和特異度,或與對比方法的陽性/陰性符合率及其95%置信區間。
臨床試驗報告中應對入組受試者的基本情況進行分析,包括受試者年齡、性別的分布情況,以及臨床診斷背景等,確認入組樣本具有較好的代表性。臨床試驗中如涉及不同樣本類型,應針對每種樣本類型分別進行統計分析(血清、血漿除外)。
臨床試驗中所有不一致結果均應結合患者的流行病學背景、臨床癥狀、臨床診斷以及疾病治療、轉歸等信息進行充分的分析。臨床試驗結果應能夠證明產品臨床性能滿足臨床要求。
7.境外臨床試驗數據的認可
境外臨床試驗數據應符合《接受醫療器械境外臨床試驗數據技術指導原則》和《使用體外診斷試劑境外臨床試驗數據的注冊審查指導原則》的相關要求。提交完整的臨床試驗方案、報告和倫理審查意見,以及該數據適用于中國患者人群的論證資料、境內外臨床試驗質量管理差異的對比資料和臨床試驗質量管理差異對于臨床試驗結果影響的論證資料。
注冊申請人應根據上述臨床試驗技術審評要求,論證境外臨床試驗數據的充分性。
8.臨床試驗資料要求
申請人應按照《體外診斷試劑注冊與備案管理辦法》、《關于公布體外診斷試劑注冊申報資料要求和批準證明文件格式的公告》等法規文件要求提交各機構倫理審查意見、臨床試驗方案、臨床試驗小結、臨床試驗報告以及臨床試驗數據庫。
(五)產品說明書和標簽樣稿
產品說明書格式應滿足《體外診斷試劑說明書編寫指導原則》的要求。產品說明書中技術內容應與注冊申報資料中的相關研究結果保持一致,如某些內容引用自參考文獻,應以規范格式進行標注,并單獨列明文獻的相關信息。寨卡病毒核酸檢測試劑說明書編寫應重點關注以下內容。
1.【預期用途】
1.1試劑盒用于體外定性檢測寨卡病毒病疑似病例、其他需要進行寨卡病毒感染診斷或鑒別診斷者的XXX樣本(具體描述樣本類型)中的寨卡病毒RNA。
1.2有關“疑似病例”等人群的定義參照現行有效的《寨卡病毒病診療方案》及《寨卡病毒病防控方案》等文件執行。
1.3簡單介紹寨卡病毒病病原學特征、流行病學特征以及臨床表現和現有診斷方法等。
1.4強調本試劑盒檢測結果僅供臨床參考,不得作為臨床診斷的唯一標準。建議結合患者臨床表現和其他實驗室檢測對病情進行綜合分析。
2.【檢驗原理】
簡述產品的核酸提取和RT-PCR原理。明確內標基因名稱及其作用。如采用了防污染措施,進行簡要描述。
3.【主要組成成分】
明確試劑盒中各組分及具體成分。明確需要但未提供的材料,例如核酸提取試劑等的產品名稱,生產廠家,貨號及注冊證號、備案號等信息。
4.【樣本要求】
4.1樣本的收集:分別明確推薦的不同樣本類型樣本的采集時間(如發病后7天內)。需詳細描述樣本采集和處理方式,包括采樣步驟,滅活方式,采樣體積,離心要求等。樣本的采集及處理方式若有通用的技術規范或指南,則應遵循,并在此處引用。血漿樣本應列明適用的抗凝劑類型。
4.2樣本的運送與保存:描述樣本及核酸提取液的保存穩定性、運送條件等。如聲稱樣本可以凍存,還應明確凍融次數的限制。
5.【檢驗方法】
明確核酸提取用的樣本體積、洗脫體積和PCR加樣體積,陰、陽性質控品與待測樣本同步進行核酸提取操作。明確各適用機型的反應參數設置。明確質控品和內標的檢測結果Ct值范圍,作為試驗有效性的標準。
6.【檢驗結果的解釋】
通過擴增曲線和Ct值進行結果陰陽性的判斷,列明結果陰性、陽性、復測、無效等所有情形。
7.【檢驗方法的局限性】
7.1本試劑盒的檢測結果僅供臨床參考,對患者的臨床診治應結合其癥狀/體征、病史、其他實驗室檢查及治療反應等情況綜合考慮。
7.2有關假陽性結果的可能性分析
7.2.1如果樣本在運輸、處理過程中發生交叉污染,則可能導致假陽性結果;
7.2.2試驗環境有PCR產物等氣溶膠污染,則可能導致假陽性結果;
7.2.3試驗過程中使用的耗材、設備等受污染,則可能導致假陽性結果。
7.3有關假陰性結果的可能性分析
7.3.1不合理的樣本采集、轉運、儲存及處理、樣本中病原體含量過低均有可能導致假陰性結果;
7.3.2該病原體待測靶序列的變異或其他原因導致的序列改變可能會導致假陰性結果;
7.3.3 未經驗證的其他干擾或PCR抑制因子等可能會導致假陰性結果。
8.【產品性能指標】
簡述以下性能指標:
8.1國家標準品和企業參考品的符合率。
8.2檢出限:簡要介紹評價方法、所用樣本情況以及評價結果。
8.3對包容性的研究情況進行總結。
8.4對精密度的研究情況進行總結。
8.5分析特異性
8.5.1交叉反應:詳述交叉反應驗證的病原體種類,及有/無交叉反應的濃度水平。
8.5.2干擾試驗:說明驗證的干擾物質種類及有/無干擾反應的濃度水平。
8.6臨床試驗:簡要介紹試驗方法、受試者及樣本、試驗結果和結論等。
9.【注意事項】
9.1臨床實驗室應嚴格按照《醫療機構臨床基因擴增檢驗實驗室管理辦法》等有關分子生物學實驗室要求、臨床基因擴增實驗室的管理規范。
9.2 試驗操作人員應接受過基因擴增或分子生物學方法檢測的專業培訓,具備相關的試驗操作資格,實驗室應符合《病原微生物實驗室生物安全管理條例》及其他涉及到傳染性病原微生物的管理規定中的相關要求。
9.2試劑保存運輸及使用過程中多種因素可能導致性能變化,如保存運輸不當、樣本采集、樣本處理及檢測過程操作不規范等,請嚴格按照說明書操作。
9.3避免實驗室污染的措施
[1]國家市場監督管理總局.體外診斷試劑注冊與備案管理辦法:國家市場監督管理總局令第48號[Z]
[2]國家藥品監督管理局.關于公布體外診斷試劑注冊申報資料要求和批準證明文件格式的公告:國家藥品監督管理局公告2021年第122號[Z]
[3]國家藥品監督管理局 國家衛生健康委.醫療器械臨床試驗質量管理規范:國家藥品監督管理局 國家衛生健康委公告2022年第28號[Z]
[4]國家藥品監督管理局.體外診斷試劑臨床試驗技術指導原則:國家藥品監督管理局公告2021年第72號[Z]
[5]國家食品藥品監督管理總局.接受醫療器械境外臨床試驗數據技術指導原則:國家食品藥品監督管理總局公告2018年第13號[Z]
[6]國家藥品監督管理局.使用體外診斷試劑境外臨床試驗數據的注冊審查指導原則:國家藥品監督管理局公告2021年第95號[Z]
[7]國家食品藥品監督管理總局.體外診斷試劑說明書編寫指導原則:國家食品藥品監督管理總局公告2014年第17號[Z]
[8]中華人民共和國衛生健康委員會.寨卡病毒病診療方案(2016年第2版)[Z]2016-03-17
[9]中華人民共和國衛生健康委員會.寨卡病毒病防控方案(第二版)[Z]2016-03-28
[10]衛生部.醫療機構臨床基因擴增檢驗實驗室管理辦法[Z]2010-12-10
[11]中華人民共和國生態環境部.病原微生物實驗室生物安全管理條例:中國人民共和國國務院令第424號公布 2018年第二次修訂[Z]

站點聲明
本網站所提供的信息僅供參考之用,并不代表本網贊同其觀點,也不代表本網對其真實性負責。圖片版權歸原作者所有,如有侵權請聯系我們,我們立刻刪除。如有關于作品內容、版權或其它問題請于作品發表后的30日內與本站聯系,本網將迅速給您回應并做相關處理。
鄭州思途醫療科技有限公司專注于醫療器械產品政策與法規規事務服務,提供產品注冊備案申報代理、臨床試驗、體系建立輔導、分類界定、申請創新辦理服務。
2024年10月19日,在第 75 屆世界醫學會全體大會上正式通過了《赫爾辛基宣言》的最新修訂版本;《赫爾辛基宣言》作為人類參與者的醫學研究倫理
附件:血液透析用水處理設備注冊審查指導原則(2024年修訂版)(2024年第19號).doc血液透析用水處理設備注冊審查指導原則(2024年修訂版)本指導原則旨在指導注冊申請人對血液透析用水處理設備注冊申報資料的準備及撰寫,同時也為技術審評部門提供參考。本指導原則是對血液透析用水處理設備的一般要求,注冊申請人依據產品的具體特性確定其中內容是否適用。若不適用,要具體闡述理由及相應的科學依據,并依據產
本指導原則旨在幫助和指導注冊申請人對一次性使用腹部穿刺器注冊申報資料進行準備,以滿足技術審評的基本要求。同時有助于審評機構對該類產品進行科學規范的審評,提高審評工
附件:重組膠原蛋白創面敷料注冊審查指導原則(2023年第16號).doc重組膠原蛋白創面敷料注冊審查指導原則本指導原則旨在指導注冊申請人準備及撰寫重組膠原蛋白創
國家藥監局關于發布免于臨床試驗的體外診斷試劑臨床評價技術指導原則的通告(2021年第74號)發布時間:2021-09-24為指導體外診斷試劑的臨床評價工作,根據
國家藥監局藥審中心關于發布《抗腫瘤藥物臨床試驗中SUSAR分析與處理技術指導原則》的通告(2024年第42號) 發布日期:20241010
國家藥監局器審中心關于發布影像型超聲診斷設備(第三類)注冊審查指導原則(2023年修訂版)的通告(2024年第29號)發布時間:2024-10-14為進一步規范
附件:一次性使用醫用沖洗器產品注冊審查指導原則(2022年第41號).doc一次性使用醫用沖洗器產品注冊審查指導原則本指導原則旨在指導注冊申請人對一次性使用醫用
附件:醫用透明質酸鈉創面敷料注冊審查指導原則(2024年第21號).doc醫用透明質酸鈉創面敷料注冊審查指導原則本指導原則旨在指導注冊申請人準備及撰寫醫用透明質酸鈉創面敷料注冊申報資料,同時也為技術審評部門審查注冊申報資料提供參考。本指導原則是對醫用透明質酸鈉創面敷料產品的一般要求,注冊申請人應依據產品的具體特性確定其中內容是否適用,若不適用,需具體闡述理由及相應的科學依據,并依據產品的具體特性對
為提高醫療器械技術審評的規范性和科學性,指導醫療器械注冊人/備案人編寫產品技術要求,根據《醫療器械監督管理條例》及《醫療器械注冊與備案管理辦法》《體外診斷試劑注冊與
行業資訊
知識分享
八年
醫療器械服務經驗
聯系思途,免費獲得專屬《落地解決方案》及報價
咨詢相關問題或咨詢報價,可以直接與我們聯系
思途CRO——醫療器械注冊臨床第三方平臺
