有源醫療器械加速老化試驗效期驗證及使用期限驗證流程
為了確保醫療器械在生命周期內的安全及有效性,注冊人應在設計開發中對其使用期限予以驗證。使用期限的驗證是醫療器械可靠性研究的重要組成部分,制定并驗證合理的使用期限有
來源:醫療器械注冊代辦 發布日期:2023-12-07 閱讀量:次
附件:結直腸癌相關基因甲基化檢測試劑盒臨床試驗注冊審查指導原則(征求意見稿).doc
本指導原則旨在指導注冊申請人對結直腸癌相關基因甲基化檢測試劑盒的臨床試驗開展及臨床試驗資料的準備及撰寫,同時也為技術審評部門提供參考。
本指導原則是對結直腸癌相關基因甲基化檢測試劑盒的一般要求,申請人應依據產品的具體特性確定其中內容是否適用。若不適用,需具體闡述理由并提供相應的科學依據,同時依據產品的具體特性對注冊申報資料的內容進行充實和細化。
本指導原則是供注冊申請人和技術審評人員使用的指導性文件,但不包括審評審批所涉及的行政事項,亦不作為法規強制執行,應在遵循相關法規的前提下使用本指導原則。如果有能夠滿足相關法規要求的其他方法,也可以采用,但是需要提供詳細的研究資料和驗證資料。
本指導原則是在現行法規和標準體系以及當前認知水平下制定,隨著法規和標準的不斷完善,以及科學技術的不斷發展,相關內容也將適時進行調整。
我國結直腸癌(Colorectal cancer,CRC)的發病率和死亡率均保持上升趨勢,多數患者在確診時已屬于中晚期,結直腸癌早期診斷能夠有效的提升患者的生存率。結直腸鏡檢查結合病理活檢作為結直腸癌確診的金標準,由于其有創檢測的特性而存在一定的局限性,臨床患者依從性較低。通過檢測糞便或外周血樣本中相關基因甲基化水平輔助診斷結直腸癌具有一定的臨床使用價值,是對傳統診斷方法的有效補充。
本指導原則所述基因甲基化檢測試劑盒是指基于核酸聚合酶鏈式反應(PCR法)或其他分子生物學方法,用于體外定性檢測人糞便或外周血血清/血漿樣本中的人基因甲基化的體外診斷試劑,臨床用于結直腸癌的輔助診斷。適用人群僅限于臨床醫生建議進行結腸鏡檢查,但因病人依從性差或其他醫學原因不適合接受結腸鏡檢查的患者。本指導原則不適用于結直腸癌篩查用途的產品。
對于其他被測物、適用于相同預期用途的產品,例如基因突變檢測等,可根據產品特點考慮本指導原則的適用性,并參考執行。
(一)臨床評價資料
1.臨床評價路徑和基本要求
該類產品應通過臨床試驗路徑進行臨床評價,臨床試驗的開展應符合《體外診斷試劑注冊與備案管理辦法》《醫療器械臨床試驗質量管理規范》以及《體外診斷試劑臨床試驗技術指導原則》的相關要求,如相關法規、規章、規范性文件有更新,臨床試驗應符合更新后的要求。
2.臨床試驗開展應具備的基礎
臨床試驗開展應建立在充分的臨床前研究基礎之上,包括科學的產品設計、充分的分析性能研究、陽性判斷值研究等。并在此基礎上確定明確的產品預期用途,包括適用場景和適用人群。
3.臨床試驗設計和實施的要求
臨床試驗應選擇不少于3家(含3家)符合要求的臨床試驗機構開展。
臨床試驗應按照產品說明書的要求采集樣本、評價樣本質量、完成樣本處理、檢測和結果解讀。試驗中按要求進行相應的設盲操作,試驗全過程注意避免引入偏倚。臨床試驗產生的所有信息應進行詳實的記錄。
臨床試驗建議從以下三個方面對產品臨床性能進行評價。
3.1結直腸癌輔助診斷臨床性能的評價
3.1.1試驗方法
建議采用試驗體外診斷試劑與結直腸癌診斷的臨床參考標準進行比較研究,評價試驗體外診斷試劑對于結直腸癌輔助診斷的臨床靈敏度、臨床特異度等指標。按照結直腸癌診療指南和診療規范的相關要求,臨床參考標準建議采用結腸鏡檢查結合組織病理學檢查。
3.1.2入組標準
入組受試者應為臨床醫生建議進行結腸鏡檢查的結直腸癌或結直腸癌前病變疑似病例。
入組受試人群應包括結直腸癌不同分期(Ⅰ、Ⅱ、Ⅲ、Ⅳ期)患者、結直腸癌前病變期患者(包括進展期腺瘤等)、消化道良性疾病患者(腸息肉、腸腺瘤、腸炎等)。
為了對產品臨床特異度進行充分評價,還應納入其他消化道腫瘤患者包括胃癌、肝癌、食管癌、膽管癌、胰腺癌等,對于血液樣本檢測試劑還應納入常見非消化道腫瘤患者包括肺癌、乳腺癌、宮頸癌、甲狀腺癌等。各種腫瘤疾病患者的診斷依據相關疾病診療規范執行。
注意樣本采集時間應在結腸鏡檢查之前,且與結腸鏡檢查時間間隔不宜過久(不超過3個月)。
3.1.3樣本量
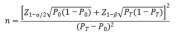
可采用單組目標值法公式估算最低樣本量:
公式中,n為樣本量;Z1-α/2、Z1-β為顯著性水平和把握度的標準正態分布的分數位,P0為評價指標的臨床可接受標準,PT為試驗體外診斷試劑評價指標預期值。
應分別估算結直腸癌患者例數、癌前病變患者例數、干擾組病例數(包括腸道良性疾病患者、其他癌癥患者等)以及腸道無占位性病變患者例數。各組目標值設定建議參考3.1.5中相關指標的最低可接受標準。
根據已有同類產品臨床性能水平及相關文獻報道,對上述各亞組樣本量進行初步估算,提出如下建議:結直腸癌病例建議不少于300例,其中各分期病例建議I期不少于80例,其他各期分別不少于50例;結直腸癌前病變期病例中進展期腺瘤建議不少于200例;腸道良性疾病患者中,腸息肉患者建議不少于200例;其他各種癌癥病例建議分別不少于30例;腸道無占位性病變患者不少于230例。
3.1.4樣本類型
如申報產品同時適用于糞便樣本和血清/血漿樣本,應針對不同樣本類型分別開展臨床試驗。血清、血漿樣本類型如同時適用,且臨床前研究證明性能沒有差異,可分別入組一定例數并匯總統計。
3.1.5臨床評價指標和統計學分析
一般采用四格表方式對臨床試驗結果進行總結,計算靈敏度、特異度并計算95%置信區間。同時應針對結直腸癌不同分期、以及進展期腺瘤患者分別計算臨床靈敏度;針對不同類型腸道良性疾病患者、其他不同癌種病例以及腸道無占位性病變患者分別分析臨床特異度。所有評價指標均應計算95%置信區間。
依據臨床需求和已報道研究數據,部分關鍵亞組臨床性能評價指標推薦的最低可接受標準(95%置信區間下限)參下表:
|
亞組 |
評價指標 |
預期可接受標準 |
|
CRC |
臨床靈敏度 |
80% |
|
進展期腺瘤 |
臨床靈敏度 |
50% |
|
腸息肉 |
臨床特異度 |
80% |
|
其他惡性腫瘤 |
臨床特異度 |
80% |
|
腸道無占位性病變患者 |
臨床特異度 |
90% |
對于檢測結果與臨床診斷結論不一致的樣本,應結合患者疾病背景信息、其他臨床實驗室檢驗結果等對差異原因進行合理分析。
3.2基因甲基化檢測性能的評價
針對所有被測基因,建議采用境內已上市同類產品作為對比試劑,采用試驗體外診斷試劑與之進行比較研究。如該基因甲基化檢測尚無同類產品上市,可采用適合的基因甲基化檢測實驗室參考方法作為對比方法,例如Sanger測序法、NGS、數字PCR等。實驗室方法應進行充分的性能驗證,包括最低檢測限、準確性、精密度等,確認與試驗體外診斷試劑具有良好的可比性。同時提供詳細的方法建立和性能驗證資料。如對比方法檢測試驗委托第三方實驗室或檢測機構完成,應提供臨床試驗機構委托該試驗的委托協議,并確認第三方實驗室或檢測機構有相應的檢測資質。
入組受試者應為臨床醫生建議進行結腸鏡檢查的結直腸癌或結直腸癌前病變疑似病例,按照陽性符合率和陰性符合率分別估算陽性、陰性樣本例數,目標值(P0)建議均不低于90%。有關樣本采集、樣本類型的基本要求參3.1.2、3.1.4。
采用四格表方式對臨床試驗結果進行總結,計算陽性符合率、陰性符合率和總符合率,并計算95%置信區間。
如為多項基因甲基化聯合檢測,應針對不同基因甲基化分別估算樣本量,并分別進行統計分析。
對于檢測結果不一致的樣本,建議選擇另一檢測方法進行復核,并結合患者疾病背景信息、其他臨床實驗室檢驗結果等對差異原因進行合理分析。
3.3手術前后基因甲基化檢測評價
對于尚無同類產品上市的產品,開展臨床試驗時建議入組一定數量罹患結直腸癌或癌前病變、且治療前本產品檢測為陽性的患者,收集其手術前后的樣本,采用試驗用體外診斷試劑進行檢測,評價術后陰轉百分比(參下表)。對于未見陰轉的病例,應結合患者疾病治療效果進行合理分析。
|
術前 |
術后 |
陰轉百分比 |
|
|
檢測陽性 |
a |
b |
(a-b)/a*100% |
術前術后采樣時間應結合疾病發展規律及治療后監測時間要求進行科學設定,建議收集患者手術后半年內的樣本進行檢測。此部分樣本量建議不少于40例。
4.臨床試驗方案、小結和報告
各臨床試驗機構應采用同一方案,并在整個臨床試驗過程中嚴格執行,不可隨意改動。方案中對試驗設計類型、對比方法選擇、受試者選擇、評價指標、統計分析方法、樣本量估算和質量控制要求等做出明確的規定,并根據各臨床試驗機構情況合理確定樣本量分配計劃。各臨床試驗機構選用的對比方法應保持一致,以便進行合理的統計學分析。
各臨床試驗機構應對臨床試驗數據和實施情況進行總結,出具臨床試驗小結。
臨床試驗報告應對整體臨床試驗實施過程、結果分析、試驗結論等進行條理分明的描述,并應包括必要的數據和統計分析方法。
數據匯總表應詳細填寫患者的臨床背景信息,包括臨床診斷的確診依據、癌癥的分類分期等結果。
(二)產品說明書
產品說明書中【預期用途】項下建議描述為:
本產品用于體外定性檢測人XX樣本中XXX基因的甲基化。
本產品僅適用于臨床醫生建議進行結腸鏡檢查、因病人依從性差或其他醫學原因不適合接受結腸鏡檢查的患者。用于結直腸癌的輔助診斷,檢測結果僅供臨床參考。不能作為腫瘤早期診斷或確診的依據。本產品檢測結果為陽性不是CRC的確證證據,相關患者應轉診結腸鏡檢查;本產品檢測結果為陰性并不能保證沒有CRC,如有必要,仍應建議患者繼續接受臨床診療規范中適用的其他診斷措施。臨床醫生應結合患者癥狀、體征、其他臨床診斷結果及個人結直腸癌相關風險因素等對患者病情進行綜合判斷。本產品不能替代腸鏡,不能用于普通人群的腫瘤篩查。
本產品不適用于已確診結直腸息肉、結直腸癌或相關腸道疾病,如炎癥性腸病(IBD)、慢性潰瘍性結腸炎(CUC)、克羅恩病、家族性腺瘤性息肉病(FAP)病史的患者,亦不適用于有CRC家族史(有兩個或兩個以上的一級親屬,或一個或一個以上的一級親屬年齡小于50歲的CRC)的患者。
[1]國家市場監督管理總局.體外診斷試劑注冊與備案管理辦法:國家市場監督管理總局令第48號[Z].
[2]國家藥監局 國家衛生健康委.醫療器械臨床試驗質量管理規范:國家藥監局 國家衛生健康委關于發布《醫療器械臨床試驗質量管理規范》的公告(2022年第28號)[Z].
[3]國家藥監局.體外診斷試劑臨床試驗技術指導原則:國家藥監局關于發布體外診斷試劑臨床試驗技術指導原則的通告(2021年第72號)[Z].
[4]國家衛生健康委員會醫政司,中華醫學會腫瘤學分會. 國家衛生健康委員會中國結直腸癌診療規范(2023版)[J].中華普通外科雜志,2023,38(8):561-581.
[5]國家癌癥中心中國結直腸癌篩查與早診早治指南制定專家組.中國結直腸癌篩查與早診早治指南(2020,北京). 中華腫瘤雜志,2021,43(01):16-38.
[6] NCCN Clinical Practice Guidelines in Oncology: Colon Cancer. Version 2.2021.
[7] Shaukat A, Kahi CJ, Burke CA, Rabeneck L, Sauer BG, Rex DK. ACG Clinical Guidelines: Colorectal Cancer Screening 2021. Am J Gastroenterol. 2021 Mar 1;116(3):458-479.
[8]中國臨床腫瘤學會(CSCO)結直腸癌診療指南2021[M].人民衛生出版社,2019.
[9]國家消化系統疾病臨床醫學研究中心(上海),國家消化道早癌防治中心聯盟,中華醫學會消化內鏡學分會,等. 中國早期結直腸癌篩查流程專家共識意見(2019,上海). 中華健康管理學雜志,2019,13(5):376-386.
[10]中國抗癌協會大腸癌專業委員會中國結直腸腫瘤早診篩查策略制訂專家組.中國結直腸腫瘤早診篩查策略專家共識.中華胃腸外科雜志,2018,21(10):1081-1086.

站點聲明
本網站所提供的信息僅供參考之用,并不代表本網贊同其觀點,也不代表本網對其真實性負責。圖片版權歸原作者所有,如有侵權請聯系我們,我們立刻刪除。如有關于作品內容、版權或其它問題請于作品發表后的30日內與本站聯系,本網將迅速給您回應并做相關處理。
鄭州思途醫療科技有限公司專注于醫療器械產品政策與法規規事務服務,提供產品注冊備案申報代理、臨床試驗、體系建立輔導、分類界定、申請創新辦理服務。
為了確保醫療器械在生命周期內的安全及有效性,注冊人應在設計開發中對其使用期限予以驗證。使用期限的驗證是醫療器械可靠性研究的重要組成部分,制定并驗證合理的使用期限有
國家市場監管總局于官網公布《藥品注冊管理辦法》(以下簡稱“辦法”)已于2020年7月1日起正式施行。國家藥監局從《辦法》修訂的背景、思路、引入了哪些新理念和制度、有哪些鼓
醫療器械注冊費是行政性收費,按照注冊單元收取,部分省份不收取醫療器械注冊費用,絕大部分省份還是收取的。本篇文章統計了截止到2022年1月5日各地醫療器械注冊收費標準。
簡述了中藥新藥臨床試驗主要特點,指出要重視風險、受益評估,重視人 用經驗選擇科學、客觀、合適的有效性指標,做好中醫證候療效評價,鼓勵在中藥新藥臨床研究中采用電子化手
為規范醫療器械(含體外診斷試劑)注冊管理,根據國家藥監局《關于公布醫療器械注冊申報資料要求和批準證明文件格式的公告》(2021年第121號)、《關于公布體外診斷試劑注冊申報
按照中共中央辦公廳和國務院辦公廳印發的《關于深化審評審批制度改革鼓勵藥品醫療器械創新的意見》(廳字〔2017〕42號)和《國務院關于修改〈醫療器械監督管理條例〉的決定》(
為服務中國(廣東)自由貿易試驗區和科創中心國家戰略,全面貫徹黨的十九大精神和總書記對廣東重要指示批示精神,深化供給側結構性改革,建設健康中國,奮力實現“四個走在全
近日美國食品藥品監督管理局(FDA)更新了《醫療器械提交的反饋申請和會議申請:Q-Submission指導原則》。此文件是對2019版Q-sub指導原則的更新,更新的主要內容如下:1. 增加了STeP醫療
近日,萊博泰克(大連)科技有限公司成為我省醫療器械注冊人制度試點以來首個獲批注冊品種的企業,其注冊的第二類醫療器械“一次性咽喉手術支架”由大連澳華醫用高分子器材有
為規范醫療器械(含體外診斷試劑)注冊管理,根據國家藥監局《關于公布醫療器械注冊申報資料要求和批準證明文件格式的公告》(2021年第121號)、《關于公布體外診斷試劑注冊申報
行業資訊
知識分享
八年
醫療器械服務經驗
聯系思途,免費獲得專屬《落地解決方案》及報價
咨詢相關問題或咨詢報價,可以直接與我們聯系
思途CRO——醫療器械注冊臨床第三方平臺
