【官方解讀】國家藥監局詳細解讀2020版《藥品注冊管理辦法》
國家市場監管總局于官網公布《藥品注冊管理辦法》(以下簡稱“辦法”)已于2020年7月1日起正式施行。國家藥監局從《辦法》修訂的背景、思路、引入了哪些新理念和制度、有哪些鼓
來源:醫療器械注冊代辦 發布日期:2023-12-07 閱讀量:次
附件:HLA-B27基因檢測試劑注冊審查指導原則(征求意見稿).doc
本指導原則旨在指導注冊申請人對人類白細胞抗原B27(HLA-B27)基因檢測試劑注冊申報資料的準備及撰寫,同時也為技術審評部門提供參考。
本指導原則是對HLA-B27基因檢測試劑的一般要求,申請人應依據產品的具體特性確定其中內容是否適用。若不適用,需具體闡述理由及相應的科學依據,并依據產品的具體特性對注冊申報資料的內容進行充實和細化。
本指導原則為注冊申請人和技術審評人員使用的指導性文件,但不包括審評審批所涉及的行政事項,亦不作為法規強制執行,應在遵循相關法規的前提下使用本指導原則。如果有能夠滿足相關法規要求的其他方法,也可以采用,但是需要提供詳細的研究資料和驗證資料。
本指導原則是在現行法規和標準體系以及當前認知水平下制定,隨著法規和標準的不斷完善,以及科學技術的不斷發展,相關內容也將適時進行調整。
強直性脊柱炎是一種慢性炎性疾病,本病常發于青壯年男性,主要侵犯骶髂關節、脊柱骨突、脊柱旁軟組織和外周關節,可伴發前葡萄膜炎等關節外表現,嚴重者發生脊柱畸形和強直。
HLA-B27基因位于人類第6號染色體短臂HLA基因B座,具有高度基因多態性,其表達產物為HLA-B27抗原。HLA-B27 抗原表達與強直性脊柱炎高度相關,超過90%的強直性脊柱炎患者的HLA?B27 抗原表達為陽性,而普通人群中僅5% ~10% 為陽性。HLA-B27在其他脊柱關節炎疾病中也有不同的檢出,在反應性關節炎中陽性率可達60%-90%,在銀屑病關節炎和炎性腸病關節炎中陽性率均可達50%-60%。
HLA-B27約有167個基因亞型,各亞型分布存在地域和人種差異。HLA-B*2705是全球分布最廣的亞型,被認為是其他基因亞型的祖基因。在中國漢族人群中,HLA-B*2704和HLA-B*2705是主要優勢亞型,同時還存在HLA-B*2702、HLA-B*2703、HLA-B*2706、HLA-B*2707、HLA-B*2709。HLA-B*2702、HLA-B*2704、HLA-B*2705和HLA-B*2707是疾病易感基因,而HLA-B*2703、HLA-B*2706和HLA-B*2709與疾病的關系尚存在爭議。
本指導原則適用于基于熒光PCR法,定性檢測人靜脈全血樣本中的HLA-B27基因的試劑,用于強直性脊柱炎的輔助診斷。
對于采用其他分子生物學檢測方法(如基因測序法)或其他樣本類型的檢測試劑,可能部分要求不完全適用或本文所述內容不夠全面;申請人可參考本指導原則,同時依據產品特性對適用部分進行評價,對不適用部分闡述不適用的理由,并驗證替代方法的科學合理性。
本指導原則針對相關產品注冊申報資料中的部分內容進行撰寫,其他未盡事宜應當符合相關法規要求。
(一)監管信息
1.產品名稱及分類編碼
產品名稱應符合《體外診斷試劑注冊與備案管理辦法》及相關法規的要求,同時建議申請人參考已上市同類產品的產品名稱。根據《體外診斷試劑分類規則》,該產品按照第三類體外診斷試劑管理,分類編碼為6840。
2.其他信息還包括產品列表(應包含醫療器械唯一標識)、關聯文件、申報前與監管機構的聯系情況和溝通記錄以及符合性聲明等文件。
(二)綜述資料
綜述資料主要包括概述、產品描述、預期用途、申報產品上市歷史及其他需說明的內容。其中,產品描述應詳述技術原理、產品主要研究結果的總結和評價、與同類和/或前代產品的比較等。與同類和/或前代產品的比較應著重從預期用途、技術原理、主要組成成分、性能指標、臨床應用情況等方面詳細說明申報產品與已獲批準的同類/前代產品之間的主要區別。
(三)非臨床資料
1.產品技術要求及檢驗報告
注冊申請人應當在原材料質量和生產工藝穩定的前提下,根據產品研制、前期評價等結果,依據相關文件資料,結合產品特性按照《醫療器械產品技術要求編寫指導原則》的要求編寫。該類產品作為第三類體外診斷試劑,應當以附錄形式明確主要原材料以及生產工藝要求。
第三類體外診斷試劑應當提供三個不同生產批次產品的檢驗報告。目前已有適用的國家標準品發布,技術要求中應體現國家標準品的相關要求。可提交以下任一形式的檢驗報告:
(1)申請人出具的自檢報告。
(2)委托有資質的醫療器械檢驗機構出具的檢驗報告。
如有適用的國家標準、行業標準,產品技術要求的相關要求應不低于相應的要求。
2.分析性能研究
注冊申請人應提交在符合質量管理體系的環境下生產的試劑盒進行的所有分析性能評估資料,包括具體試驗方案、試驗數據、統計分析結果及結論等詳細資料。有關試驗的背景信息也應在申報資料中進行描述,包括試驗地點,采用的試劑名稱、規格和批號,儀器名稱和型號,樣本的背景信息(來源、樣本編號、樣本類型、采集及處理方式、基因型和濃度確認方法及結果)等。分析性能評估用樣本應為真實樣本,如聲稱多種適用樣本類型,注冊申請人應針對不同樣本類型分別完成性能評估研究。
分析性能評估的試驗方法可以參考國際或國內有關體外診斷試劑性能評估的指導原則進行,對于本類產品建議著重對以下分析性能進行研究。
2.1樣本穩定性及適用的樣本類型
應充分考慮樣本采集/處理、運輸、保存等各環節的影響,確定樣本的保存條件及保存時間并對樣本穩定性進行充分驗證。如樣本提取后不立即進行檢測,則還需對提取后的DNA穩定性進行充分研究。如聲稱多種適用樣本類型,注冊申請人應針對不同樣本類型分別進行樣本穩定性研究。
對于全血樣本,如適用多種抗凝劑,建議通過同源比對研究對一定數量的臨床樣本驗證各種抗凝劑的適用性。
2.2質控品的賦值
描述質控品的賦值過程,并提交三批產品在不同適用機型上的賦值研究資料。
2.3準確度
可通過申報產品與測序結果或已上市同類產品進行方法學比對研究,評價申報產品的準確度;也可通過檢測參考品(盤)分析申報產品檢測結果與經確認結果的符合情況,評價申報產品的準確度。
評價準確度的樣本應由若干份臨床樣本組成,樣本類型應與產品適用范圍一致,包含不同濃度水平。
2.4精密度
包括重復性、中間精密度和再現性。
精密度評價應采用真實樣本進行研究,納入陰性樣本、弱陽(檢出限附近)樣本和強陽樣本。試驗操作應按照說明書執行,需包含核酸提取/純化等樣本處理步驟。
精密度評價需滿足如下要求:
2.4.1對可能影響檢測精密度的主要因素進行驗證,除檢測試劑(包括核酸提取/純化組分)本身外,還包括儀器、操作者、地點、時間、檢測輪次、試劑批次等。
2.4.2設定合理的精密度評價周期,并對批內/批間、日內/日間、不同操作者間和不同實驗室間的精密度進行綜合評價。
2.4.3可結合產品的特點,對精密度指標評價標準做出合理要求,如CV值。
2.5最低檢出限和檢測上限
2.5.1最低檢出限和檢測上限的建立
最低檢出限為在滿足檢測準確性和精密度的條件下,能夠檢出目標基因的人基因組DNA最低濃度。
可采用梯度濃度的人基因組DNA樣本進行多次重復檢測,確定95%檢出率水平下的人基因組DNA最低濃度,即為最低檢出限。系列稀釋度應能夠覆蓋大部分檢出概率區間(0~100%),可根據各濃度梯度檢測結果直接判定,也可通過適當的模型(如Probit分析)和其他分析方法計算申報產品在設定概率下的檢出限,一般在該檢測濃度下應具有95%的檢出率。
同時,申請人亦應評價可準確檢出的人基因組DNA濃度上限,即適當檢出率水平下的人基因組DNA最高濃度。
應采用臨床樣本進行檢出限及檢測上限研究。
2.5.2最低檢出限和檢測上限的驗證
選取與建立不同的臨床樣本進行驗證,建議對最低檢出限和檢測上限附近濃度水平的樣本進行至少20次的重復檢測,應滿足95%以上檢出率要求。
2.6 分析特異性
2.6.1干擾試驗
可通過在臨床樣本中添加干擾物質的方式,評價添加前后干擾物質對靶基因檢測的影響。研究用樣本應包含陰性樣本、弱陽性樣本和中陽性樣本(正常白細胞濃度水平樣本)。
建議注冊申請人在每種干擾物質的潛在最大濃度(“最差條件”)條件下進行評價,如有干擾,應確定不產生干擾的最高濃度。
應針對可能的內源和外源性干擾物進行干擾試驗研究。對于全血樣本,內源性干擾物質應包括血紅蛋白、甘油三酯、膽紅素、白蛋白、;外源性干擾物質應包括抗凝劑、乙醇、乙醛、預期人群常用治療藥物等如消炎痛、潑尼松、吡羅昔康、美洛昔康、 塞來昔布、 雙氯芬酸鈉、 吲哚美辛、 萘丁美酮、 布洛芬、 萘普生、柳氮磺胺吡啶等。
同時納入有代表性的患者樣本,通過對申報產品與不受該干擾物影響的測量方法檢測結果進行對比,進行干擾物質研究。
2.6.2交叉反應
應對與靶基因序列相近或具有同源性、易引起交叉反應的其他HLA基因的基因序列進行交叉反應研究。
對于全血樣本,需提供血源性感染常見的病原體(如:乙肝、丙肝、HIV、梅毒)的交叉反應研究。
2.7 其他性能研究
2.7.1如申報產品的檢測靶標為具體基因亞型且不能分型,分析性能研究中應對申報產品聲稱的每種基因亞型進行研究和驗證。
2.7.2包容性研究
如申報產品的檢測靶標為HLA-B27基因,應證明申報試劑具有檢出不同HLA-B27亞型的能力。應至少包括中國人群已知常見亞型B2702、B2704、B2705、B2707等。
包容性研究應分別對上述常見亞型進行精密度(重復性、中間精密度和再現性精密度)研究和最低檢出限的驗證。
2.8核酸提取/純化性能
在進行核酸檢測之前,建議有核酸提取/純化步驟。對配合使用的所有核酸提取試劑進行提取核酸純度、濃度、提取效率的研究,并與質量較好的核酸提取試劑進行平行比對。
若產品適用兩種或以上核酸提取試劑,則每一種核酸提取試劑均需配合檢測試劑進行精密度、檢出限和抗干擾的驗證。
2.9反應體系研究
2.9.1樣本采集和處理
請詳述樣本的采集及處理方式,明確樣本的保存介質。
2.9.2反應體系
應依據產品特性,提供反應體系的確定研究資料。包括但不限于核酸提取用的樣本體積、洗脫體積和PCR反應中樣本和試劑的加樣體積、各種酶濃度、引物/探針濃度、dNTP濃度、陽離子濃度及反應條件(如:溫度、時間、循環數)等。
如有多個適用機型,需提供不同適用機型基線和閾值的確定資料。不同適用機型的反應條件如果有差異應分別詳述,并提交驗證資料。
3.穩定性研究
申請人可根據實際需要選擇合理的穩定性研究方案。穩定性研究資料應包括研究方法的確定依據、具體的試驗方案、試驗數據、結果以及結論。
3.1實時穩定性研究
提交至少三批申報產品在實際儲存條件下保存至成品有效期后的研究資料。明確儲存的環境條件(如溫度、濕度和光照)及有效期。
3.2使用穩定性
提交申報產品實際使用期間穩定性的研究資料,應包括所有組成成分的開封穩定性。適用時提交復溶穩定性、機載穩定性及凍融次數研究資料等。明確產品使用的溫度、濕度條件等。
3.3運輸穩定性
以文字結合圖示的方式詳細描述運輸包裝,明確產品實際運輸的環境條件(如溫度、濕度、光照和機械保護等)及暴露的最差運輸條件。提交申報產品可在特定或者預期的條件下運輸的研究資料。
4.陽性判斷值研究
陽性判斷值即為能夠獲得理想的檢測準確性的臨界值(Cut-off)。研究樣本應為預期使用人群的真實樣本,涵蓋中國人群常見HLA-B27亞型。樣本來源應具有地域和民族多樣性,考慮不同時間和生理/病理狀。
采用受試者工作特征(ROC)曲線的方式進行研究,亦可采用其他科學合理的方法進行陽性判斷值研究。
申請人應詳述試驗方案,列明所用試劑、儀器、對比方法、樣本量、樣本入組標準;提交陽性判斷值研究所用樣本的背景信息列表,至少包括民族、性別、年齡、來源、唯一可溯源編號、臨床診斷信息等)及試驗結果等。
如果試劑判讀存在灰區,應解釋說明灰區范圍的確定方法。
提供內標檢測結果范圍的確定方法和研究資料。
5.其他資料
5.1主要原材料研究資料
該類產品的主要原材料包括引物、探針、酶、dNTP、核酸分離/純化組分、質控品、參考品等。應提供主要原材料的選擇、來源、制備過程、質量控制標準等相關研究資料。如主要原材料為企業自制,應提供詳細的制備過程及支持性資料;如主要原材料源于外購,應提供資料包括:選擇該原材料的依據及對比篩選試驗資料、供貨方提供的質量標準、出廠檢驗報告,以及該原材料到貨后的質量檢驗資料。
5.1.1引物和探針
應詳述引物、探針的設計原則,提供引物探針序列、靶基因序列及兩者的對應情況。建議設計兩套或多套引物探針以供篩選,針對待測位點的檢測靈敏度和特異性等進行評價,選擇最佳引物探針組合,并提交詳細的篩選研究數據。同時應針對引物、探針及檢測靶序列與公開數據庫進行同源性分析,如有同源序列應著重評價是否會有交叉反應。
申請人應針對選定的引物、探針原材料進行質量評價,一般包括:外觀、分子量、純度、濃度、探針熒光標記基團的激發波長和發射波長,以及功能性試驗等,并依據評價結果建立合理的質量標準。
5.1.2脫氧三磷酸核苷(dNTP)
包括dATP、dCTP、dGTP、dTTP或dUTP;應提交對其純度、濃度、保存穩定性以及功能性試驗等資料,并確定質量標準。
5.1.3酶
可能涉及到的酶包括DNA聚合酶、尿嘧啶DNA糖基化酶等,應分別對酶活性、熱穩定性、功能性試驗等進行評價和驗證,并確定質量標準。
DNA聚合酶應具有DNA聚合酶活性,無核酸內切酶活性,具熱穩定性。UDG/UNG應具有水解尿嘧啶糖苷鍵的活性,無核酸外切酶及核酸內切酶活性。
5.1.4質控品
選擇檢測范圍內一種或多種亞型制備陽性質控品,同時設置不含待測靶序列的空白質控品用于交叉污染的質控。
HLA-B基因存在個體差異,并非所有人體均具有HLA-B27,因此試劑盒中需另外設置內標對照。
質控體系應能夠對檢測全過程進行有效的質量控制,包括試劑及儀器性能、可能的擴增反應抑制物(管內抑制)、交叉污染等因素造成的假陰性或假陽性結果。質控品可采用臨床樣本核酸提取液或細胞系等??瞻踪|控品應參與樣本核酸的平行提取。申請人應針對質控品原料來源、選擇、制備、定值過程等提供詳細的研究資料,并對質控品的檢測結果做出明確的范圍要求。
5.1.5 內標
內標,又稱內對照,可對管內抑制導致的陰性結果進行質量控制,應與靶核酸一同提取及擴增。申請人需對內標的引物、探針設計和相關反應體系的濃度做精確驗證,既要保證內標熒光通道呈明顯的陽性曲線又要盡量降低對靶基因檢測造成的抑制。明確內標的檢測結果Ct值范圍。建議科學設置內標,對待測樣本的取樣質量、試劑的反應體系進行監控。
5.1.6核酸提取/純化試劑(如有)
應提供試劑的主要組成、原理介紹及相關的篩選及驗證資料。
5.1.7企業參考品
該類產品的企業參考品一般包括陽性參考品、陰性參考品、檢出限參考品和精密度參考品。企業參考品應為真實樣本,且應根據產品特點和性能驗證的實際需要進行設置。
應提交企業參考品的原料來源、選擇、制備、濃度及基因亞型確認方法或試劑等相關研究資料。企業參考品的設置建議如下:
陽性參考品應包含可檢出的各HLA-B27亞型,且應設置不同濃度水平。
陰性參考品應考慮檢測特異性的評價,納入同源序列交叉反應樣本、干擾樣本、HLA-B27陰性樣本等。
檢出限參考品的設置與陽性參考品相同,濃度水平應包括最低檢出限濃度或略高于最低檢出限濃度。
精密度參考品至少包括HLA-B2704和HLA-B2705;每個亞型包括高、低兩個濃度水平,其中一個濃度應為檢出限附近的濃度。
5.2生產工藝研究資料
該類產品生產工藝研究資料主要包括工作液配制(引物探針濃度、酶濃度、dNTP濃度、緩沖液離子濃度等)、分裝和凍干、熒光標記等工藝過程的描述及確定依據。
生產過程應對關鍵參數進行有效控制,可結合工藝流程圖描述生產工藝過程,明確關鍵工藝質控步驟,并詳細說明該步驟的質控方法及質控標準。并提交主要生產工藝的確定及優化研究資料。
(四)臨床評價資料
臨床試驗的開展、方案的制定以及報告的撰寫等均應符合相關法規及《體外診斷試劑臨床試驗技術指導原則》(國家藥品監督管理局通告2021年第72號)的要求,如相關法規、文件有更新,臨床試驗應符合更新后的要求。
1.臨床試驗機構
應選擇至少3家(含3家)已備案的臨床試驗機構,按照相關法規的要求開展臨床試驗。申請人應根據產品特點及預期用途,綜合不同地區人種和流行病學背景等因素選擇臨床試驗機構。臨床試驗機構應具有分子生物學方法檢測的優勢,實驗操作人員應有足夠的時間熟悉檢測系統的各環節,熟悉臨床試驗方案。
2.臨床試驗方法
如申報產品已有同類產品上市,建議申請人選擇境內已批準上市的同類產品作為對比試劑/方法,采用申報產品與之進行對比試驗研究,評價申報產品的臨床性能。對比試劑的選擇應從預期用途、樣本要求、檢測性能等方面,確認其與申報產品具有較好的可比性。如對比試劑不可分型,還應選擇臨床參考方法(如:一代測序)對臨床試驗中的陽性樣本進行分型,確認申報產品所聲稱的基因亞型均被驗證。
3.受試者選擇和樣本類型
3.1受試者選擇
受試者應為強直性脊柱炎疑似患者,應具有相關疑似癥狀或體征等,如:炎性腰背痛、外周關節炎和足趾炎等;臨床試驗還應納入部分需要鑒別診斷的其他患者,如:類風濕關節炎和系統性紅斑狼瘡的患者等癥狀相似人群。
3.2 樣本類型
適用的樣本類型一般為靜脈全血。臨床試驗應納入臨床原始樣本,不應直接采用提取的基因組DNA進行試驗。臨床樣本的采集、處理、保存和提取等應同時滿足申報產品說明書以及對比試劑說明書(如適用)的相關要求。
4.臨床試驗樣本量
臨床試驗樣本量應滿足統計學要求,可采用適當的統計學方法進行估算,同時應滿足法規最低樣本量的要求。
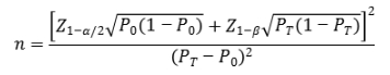
建議采用單組目標值法進行樣本量估算。陽性符合率和陰性符合率的臨床可接受標準(P0)建議均不低于95%。當評價指標PT接近100%時,該樣本量估算方法可能不適用,應考慮選擇更加適宜的方法進行樣本量估算和統計學分析,如精確概率法等。

上述公式中,n為樣本量;Z1-α/2、Z1-β為顯著性水平和把握度的標準正態分布的分數位,P0為評價指標的臨床可接受標準,PT為申報產品評價指標預期值。
臨床試驗總體樣本量確定時應在上述陽、陰性樣本最低樣本量估算的基礎上,同時考慮其他可能造成受試者脫落的情況以及可能需要納入的干擾樣本、交叉反應樣本等情況適當增加入組樣本量.
如申報產品的檢測靶標為具體基因亞型且不能分型,臨床試驗應對申報產品聲稱的每種基因亞型進行驗證,每種基因亞型均應有一定的陽性例數。
如申報產品的檢測靶標為HLA-B27基因,臨床試驗至少應對常見基因亞型進行驗證,至少應驗證HLA-2704、HLA-2705、HLA-2702和HLA-2707等,每種基因亞型均應具有一定的陽性例數。
5.統計學分析
應對入組人群進行人口學分析,包括年齡、性別和臨床診斷背景信息等。應總結各基因亞型的例數,以2×2表分別總結兩種試劑的定性檢測結果,并分別計算陽性符合率、陰性符合率和總符合率及其95%置信區間。對于可分型的試劑,應以2×2表分別總結兩種試劑不同基因亞型的定性檢測結果,并分別計算不同基因亞型的符合率和總符合率及其95%置信區間。
在數據收集過程中,對于兩種試劑檢測結果不一致的樣本,應采用合理方法進行復核,并對差異原因進行分析。如無需復核,應說明理由。
6.倫理學要求
臨床試驗必須符合赫爾辛基宣言的倫理學準則。研究者應考慮臨床試驗用樣本的獲得和試驗結果對受試者的風險,提請倫理委員會審查,并獲得倫理委員會的同意。注冊申報時應提交倫理委員會的審查意見。
7.臨床試驗方案
各臨床試驗機構的方案設置應基本一致,且保證在整個臨床試驗過程中遵循預定的方案,不可隨意改動。整個試驗過程應在臨床試驗機構的實驗室內并由本實驗室的技術人員操作完成,申報單位的技術人員除進行必要的技術指導外,不得隨意干涉實驗進程。
試驗方案應確定嚴格的入選/排除標準,任何已入選的樣本被排除出臨床試驗都應記錄在案并明確說明原因。在試驗操作過程和結果判定時應采用盲法以保證試驗結果的客觀性。各臨床試驗機構選用的對比試劑/方法應保持一致,以便進行合理的統計學分析。
8.質量控制
臨床試驗開始前,建議進行臨床試驗的預試驗,以熟悉并掌握相關試驗方法的操作、儀器、技術性能等,最大限度控制試驗誤差。整個試驗過程都應處于有效的質量控制下,最大限度保證試驗數據的準確性及精密度。
9.臨床試驗報告撰寫
臨床試驗報告應該對試驗的整體設計及各個關鍵點給予清晰、完整的闡述,應該對整個臨床試驗實施過程、結果分析、結論等進行條理分明的描述,并應包括必要的基礎數據和統計分析方法,最后得出臨床試驗結論。臨床試驗報告的撰寫參考《體外診斷試劑臨床試驗技術指導原則》的相關要求。
(五)產品說明書
產品說明書格式應符合《體外診斷試劑說明書編寫指導原則》的要求。產品說明書的技術內容應與注冊申報資料中的相關研究結果保持一致,如某些內容引用自參考文獻,應以規范格式對此內容進行標注,并單獨注明文獻的相關信息。
以下內容僅對HLA-B27基因檢測試劑說明書的重點內容進行詳細說明,說明書其他內容應根據《體外診斷試劑說明書編寫指導原則》要求進行編寫。
1.【預期用途】 應至少包括以下幾部分內容:
1.1本產品用于體外定性檢測人體靜脈外周血樣本中的HLA-B27基因。
1.2介紹被測基因與臨床適用癥的關系,明確HLA-B27在中國人群中的分布頻率,在臨床適用癥人群中的發生頻率。
1.3明確本產品檢測結果僅供臨床參考,臨床醫生應結合患者病情、療效及其他實驗室檢測指標等對本產品的檢測結果進行綜合判斷。
2.【檢驗原理】
2.1對被測靶基因在HLA-B基因中的區域位置,片段大小、保守與否等進行詳細描述,對試劑盒所用探針、引物、陽性結果的判定方式等進行詳細的介紹;明確內標基因的名稱及其作用。對不同樣本反應管組合、質控品設置及熒光信號檢測原理等進行介紹。
2.2如反應體系中添加了相關的防污染組分(如UNG酶),也應對其作用機理進行簡要介紹。
3.【主要組成成分】
明確試劑盒中各組分的名稱、數量和裝量。
明確各組分中的引物、探針、酶、dNTP、緩沖液名稱、防腐劑名稱。
明確需要但未提供的材料,例如核酸提取試劑等的產品名稱、注冊人,貨號及注冊證號。
明確不同批號試劑盒中各組分是否可以互換。
4.【檢驗方法】
詳細說明試驗操作的各個步驟,包括:
4.1試驗條件:必要時,應明確實驗室分區、試驗環境的溫度、濕度和空調氣流方向控制等注意事項。
4.2試劑配制方法和注意事項。
4.3詳述核酸提取純化的條件、步驟及注意事項,列明全血樣本用量、洗脫體積等;對核酸提取純化環節進行合理的質量控制,明確提取核酸的濃度純度等質量要求。
4.4擴增反應前準備:加樣體積、順序等。
4.5 PCR各階段的溫度、時間設置、循環數設置或相應的自動化檢測程序及相關注意事項。
4.6儀器設置:特殊參數、探針的熒光素標記情況、各熒光通道選擇等。
5.【陽性判斷值】
明確靶基因和內標基因的陽性判斷值,簡要說明建立和驗證陽性判斷值的基本信息,包括樣本量、人群特征(民族、性別、年齡、生理/病理狀態等)和采用的統計學方法。
6.【檢驗結果的解釋】
以列表形式詳述所有可能出現的結果及相應的解釋。
7.【檢驗方法的局限性】
7.1列明可檢測的HLA-B27亞型,明確其他亞型未進行驗證。
7.2明確可能出現的交叉反應。列明可檢出的同源序列、其他HLA基因等。
7.3有關假陰性結果的可能性分析。
7.3.1不合理的樣本采集、運送及處理或核酸過度降解均有可能導致假陰性結果。
7.3.2未經驗證的其他干擾或PCR抑制因子等可能會導致假陰性結果(如有)。
7.4 明確是否可區分HLA-B27雜合或純合。
7.5明確正常人群中也可表達HLA-B27,臨床使用中應結合檢測結果、其他癥狀/體征、病史、實驗室檢查及治療反應等情況綜合考慮。
8.【產品性能指標】
8.1符合國家標準品的情況。
8.2準確度研究方案和結果。
8.3精密度研究的總結,包括實驗方案、樣本量、各樣濃度水平、不精密度考慮因素(時間、地點和人員等)。
8.4最低檢出限。明確可檢出DNA濃度水平范圍。
8.5干擾研究結果。明確各內源和外源性干擾物對檢測結果不產生影響的最高濃度。
8.6交叉反應研究結果。明確納入研究的同源序列/HLA基因是否存在交叉反應。
8.7 包容性研究總結。明確可檢出的亞型。
8.8臨床試驗總結。
9.【注意事項】應至少包括以下內容:
9.1如該產品含有人源或動物源性物質,應給出具有潛在感染性的警告。
9.2臨床實驗室應嚴格按照《醫療機構臨床基因擴增實驗室管理辦法》等有關分子生物學實驗室、臨床基因擴增實驗室的管理規范執行。
(六)質量管理體系文件
申請人應當在申請注冊時提交與產品研制、生產有關的質量管理體系相關資料。詳述產品的生產過程,提供生產工藝流程圖。明確申報產品反應及檢測原理和過程,標明主要控制點與項目及主要原材料、采購件的來源及質量控制方法。
如適用,應當提供擬核查產品與既往已通過核查產品在生產條件、生產工藝等方面的對比說明。

站點聲明
本網站所提供的信息僅供參考之用,并不代表本網贊同其觀點,也不代表本網對其真實性負責。圖片版權歸原作者所有,如有侵權請聯系我們,我們立刻刪除。如有關于作品內容、版權或其它問題請于作品發表后的30日內與本站聯系,本網將迅速給您回應并做相關處理。
鄭州思途醫療科技有限公司專注于醫療器械產品政策與法規規事務服務,提供產品注冊備案申報代理、臨床試驗、體系建立輔導、分類界定、申請創新辦理服務。
國家市場監管總局于官網公布《藥品注冊管理辦法》(以下簡稱“辦法”)已于2020年7月1日起正式施行。國家藥監局從《辦法》修訂的背景、思路、引入了哪些新理念和制度、有哪些鼓
醫療器械注冊費是行政性收費,按照注冊單元收取,部分省份不收取醫療器械注冊費用,絕大部分省份還是收取的。本篇文章統計了截止到2022年1月5日各地醫療器械注冊收費標準。
在我國,體外診斷試劑(IVD)是指:可單獨使用或與儀器、器具、設備或系統組合使用, 在疾病的預防、診斷、治療監測、預后觀察、健康狀態評價以及遺傳性疾病的預測過程中, 用于對人體樣
為規范醫療器械(含體外診斷試劑)注冊管理,根據國家藥監局《關于公布醫療器械注冊申報資料要求和批準證明文件格式的公告》(2021年第121號)、《關于公布體外診斷試劑注冊申報
2021年2月5日,湖南省藥監局分別與湖南省計量檢測研究院、湖南新領航檢測技術有限公司、湖南普瑞瑪藥物研究中心有限公司、深圳華通威國際檢驗有限公司、南德認證檢測(中國)有限公
為服務中國(廣東)自由貿易試驗區和科創中心國家戰略,全面貫徹黨的十九大精神和總書記對廣東重要指示批示精神,深化供給側結構性改革,建設健康中國,奮力實現“四個走在全
近日美國食品藥品監督管理局(FDA)更新了《醫療器械提交的反饋申請和會議申請:Q-Submission指導原則》。此文件是對2019版Q-sub指導原則的更新,更新的主要內容如下:1. 增加了STeP醫療
近日,萊博泰克(大連)科技有限公司成為我省醫療器械注冊人制度試點以來首個獲批注冊品種的企業,其注冊的第二類醫療器械“一次性咽喉手術支架”由大連澳華醫用高分子器材有
為規范醫療器械(含體外診斷試劑)注冊管理,根據國家藥監局《關于公布醫療器械注冊申報資料要求和批準證明文件格式的公告》(2021年第121號)、《關于公布體外診斷試劑注冊申報
為保障江蘇省醫療器械臨床使用需求,促進醫療器械創新成果轉化,推動江蘇省醫療器械產業高質量發展,根據《醫療器械監督管理條例》《醫療器械注冊與備案管理辦法》《體外診斷
行業資訊
知識分享
八年
醫療器械服務經驗
聯系思途,免費獲得專屬《落地解決方案》及報價
咨詢相關問題或咨詢報價,可以直接與我們聯系
思途CRO——醫療器械注冊臨床第三方平臺
