血液透析用水處理設備注冊審查指導原則(2024年修訂版)(2024年第19號)
附件:血液透析用水處理設備注冊審查指導原則(2024年修訂版)(2024年第19號).doc血液透析用水處理設備注冊審查指導原則(2024年修訂版)本指導原則旨在指導注冊申請人對血液透析用水處理設備注冊申報資料的準備及撰寫,同時也為技術審評部門提供參考。本指導原則是對血液透析用水處理設備的一般要求,注冊申請人依據產品的具體特性確定其中內容是否適用。若不適用,要具體闡述理由及相應的科學依據,并依據產
來源:醫療器械注冊代辦 發布日期:2014-06-04 閱讀量:次
附件:植入式心臟電極導線產品注冊技術審查指導原則(2014年第10號).doc
本指導原則是對于植入式心臟電極導線的一般性要求,制造商應依據其具體產品的特性對注冊資料內容進行充實和細化,并依據具體產品的特性判斷指導原則中的具體內容是否適用。
用于在特殊臨床情況下使用的植入式心臟電極導線,可以不完全適用本指導原則的要求;但是制造商需要在技術文件中說明產品的特征及不適用的理由,并提供相應的證明資料證明其安全和有效性(包括非臨床試驗及臨床試驗等相關資料)。
本指導原則是對制造商和審查人員的指導性文件,但不包括審評審批所涉及的行政事項,亦不作為法規強制執行,應在遵循相關法規的前提下使用本指導原則。
如果有能夠滿足相關法規要求的其他方法,也可以采用,但是需要提供詳細的研究資料和驗證資料。應在遵循相關法規的前提下使用本指導原則。
本指導原則是在現行法規和標準體系以及當前認知水平下制定,隨著法規和標準的不斷完善,以及科學技術的不斷發展,相關內容也將適時進行調整。
在本指導原則中將植入式心臟電極導線簡稱為電極導線;將植入式左心室電極導線簡稱為左室電極導線。
本指導原則適用于同匹配的植入式脈沖發生器連接、并在心腔內提供起搏和感知的電極導線的注冊申報。指導原則中提及的電極導線不包括適配器部分。被動固定電極導線用于右心耳、右心室心尖部及冠狀竇的起搏和感知;主動固定電極導線用于右心房/室任何部位起搏和感知;左室電極導線適用于通過心臟靜脈途徑的左心室外膜起搏和感知。本指導原則不包括除顫電極導線和心外電極導線。
(一)技術資料
制造商應提供電極導線的技術說明文件,至少包括以下對產品技術特征的說明。
對同一注冊單元申報的多個產品應提交不同型號技術特征的對比表,說明產品的特點。
1. 預期用途:適用于心臟的起搏和感知;被動固定電極導線用于右心耳、右心室心尖部及冠狀竇的起搏和感知;主動固定電極導線用于右心房/室任何部位起搏和感知;左室電極導線適用于通過心臟靜脈途徑的左心室外膜起搏和感知。
2. 對電極導線的結構、特性的描述:
2.1電極導線結構圖:包括詳細結構(剖面圖、正視圖、側視圖)、尺寸、各部分名稱;
2.2電極導線性狀:如直型、J型、S型、螺旋型等,電極數目,電極接口類型(IS-1,IS-4等),電極頭直徑、環狀電極直徑、電極間距、電極環表面積,電極長度、植入方式、固定方式等。主動電極導線:應描述主動固定的方法,提供工作原理圖及操作注意事項。
2.3其他附件:如靜脈拉鉤、固定套筒、塑形鋼絲(stylet)、操作扳手、塑形鋼絲夾、塑形鋼絲導入器、電極頭保護套等。并應給出這些附件的尺寸及示意圖。塑形鋼絲應標明識別方式(軟硬度)、直徑、材料。
2.4含藥組件:若電極導線含有藥物,且該藥物或該藥物的衍生物輸送到患者體內(即使該藥物為電極導線的整體部分),則該藥物應是安全的和對該電極導線的功能是有利的;并且該電極導線在設計和制造上均應與藥物兼容。應提交藥物及基質材料等,藥物劑量及釋放特征,“原料藥物”和“含藥組件”的相關研究資料和/或文獻資料;及電極導線與藥物兼容的設計驗證資料。
原料藥物技術資料中,應明確藥物來源和執行標準,并包括所使用的藥物定性分析和定量檢查的相關資料。
含藥組件技術資料中,應明確藥物劑量選擇依據,基質材料的來源于標準,基質材料與藥物的配比依據,藥物與基質的混合制備工藝,釋放度(洗脫曲線)、含藥量、殘留物等藥物產品質量控制的研究資料(包括方法和數據),含藥組件穩定性考察的試驗資料和/或文獻資料。
3. 對電極導線的所有材料進行描述,包括植入材料和非植入材料、附件;如電極頭、電極環、電極導線絕緣層(涂層)、固定套筒、塑形鋼絲、靜脈拉鉤等。提供材料的種類、成分和質量控制等信息。
3.1制造商應提交對植入材料信息的詳細說明,應明確植入體各組成部分的所有組成材料的基本信息:通用化學名稱、化學結構式/分子式、分子量及分布(如適用)、商品名/材料代號(牌號)等。應提交該材料符合長期植入要求的支持性資料。
3.2應明確各種材料的來源、成分及質量標準。對所選用的每種原材料都應當能夠實施驗證,并提供驗證資料。若原材料外購,應保證原材料質量可控。若材料為自行合成,應闡述材料生產過程中的質量控制標準并論證其可靠性,同時提交相關的驗證報告。
3.3涂層(如有):應按基質材料管理,明確材料、與絕緣硅膠的結合方式、相互影響及臨床意義。
3.4電極導線連接器的密封性:若采用符合國際標準,如IS-4,IS-1標準的連接器,制造商應提供相關驗證資料以證明符合標準中規定的全部性能要求。若采用非國際標準要求的連接器,制造商應說明連接器密封的原理,提供模擬實際使用條件下對連接器密封性和防腐蝕性的驗證資料。
3.5其他要求:對患者熱傷害的防護、對電極導線引起的非預期作用的防護、對機械力的防護應提交相關的文件資料證明產品符合安全要求。
4. 產品質量說明文件:
4.1說明電極導線的貨架有效期。
4.2提供產品包裝及滅菌工藝的技術信息。
(二)風險管理
風險管理要求應貫穿于電極導線的整個生命周期,包括產品上市前的研制階段和上市后的階段。應對產品可能的危害和風險進行估計和評價;有針對性地實施降低風險的技術和管理方面的措施,并對所有剩余風險進行客觀評價,達到可接受的水平并應在產品附機文件中告知。上市后制造商對風險管理程序及內容進行的任何更改都應形成文件。制造商應參照YY/T 0316-2008建立電極導線風險管理文檔。
電極導線相關的具體風險管理內容見附錄I。
(三)注冊產品標準
我國現行有效的電極導線的標準是YY/T 0492-2004《植入式心臟起搏電極導管》、YY/T 0491-2004《心臟起搏器第三部分植入式心臟起搏用的小截面連接器》,鑒于ISO 14708.1-2000和ISO 14708.2-2005正在轉化中,本指導原則編制時考慮了以上兩個標準。注冊產品標準應當包括以下內容:
1. 電極物理特性和結構的描述:包括長度、電極頭表面積、經靜脈電極導線的插入直徑(不包括連接器尾端)和適用的導引鞘尺寸、電極(雙極或多極心內膜電極導線)之間的距離(如適用),插入組織的最大深度、電極導線的標志、連接器的幾何形狀(長度和直徑),所有指示和標記;結構圖應包括剖面圖、正視圖、側視圖及導線體結合方式。
2. 電極直接接觸人體的植入材料的說明,包括涂層(若有)。
3. 藥物釋放裝置的結構圖、尺寸、材料、定性、定量及釋放特性要求。
4. 性能要求
4.1電極導線的表面物理特性。不應有導致超出植入手術本身以外的反應過度或發炎的表面特征,比如不光滑面(銳角或銳邊)等,或不應有電極導線正常發揮作用所必須避免的粗糙表面。
4.2連接要求。
4.3直流電阻(Ω)。
4.4絕緣性能(kΩ)。
4.5塑形鋼絲的插拔性能要求。
4.6順應性要求。
4.7熱沖擊試驗要求。
4.8壽命模擬實驗。
4.9電極導線的起搏阻抗(Ω)。
4.10電極導線的感知阻抗(Ω)。
4.11電極導線連接器。電極導線采用的IS-1連接器應符合YY/T 0491-2004《心臟起搏器第三部分植入式心臟起搏用的小截面連接器》的要求。如采用非IS-1的特殊連接器,制造商應提交對該連接器的設計參數、尺寸的詳細描述,并且應引用相應標準,若無相應標準應制定對該特殊連接器的技術指標要求和試驗方法。
4.12電極導線可探測性。
4.13塑形鋼絲的尺寸和直徑。
5. 附件
應明確所包含的附件,并給出這些附件的尺寸及示意圖。
6. 化學性能要求和生物相容性
6.1化學性能
6.1.1環氧乙烷殘留量;
6.1.2溶出物的化學要求:色澤、PH值變化量、蒸發殘渣、還原物質、重金屬、紫外吸收度;
6.1.3無菌。
6.2生物相容性
生物相容性評價應依照GB/T 16886系列標準進行。電極導線材料直接與人體組織接觸。對于所有直接接觸組織和/或體液的電極導線的材料應進行生物學評價。制造商應參考《關于醫療器械生物學評價和審查指南》(國食藥監械〔2007〕345號)出具生物學評價報告。生物相容性評價應當對經滅菌后最終產品或代表性樣品進行。具體內容見附錄Ⅱ。
(四)注冊單元劃分原則
注冊單元的劃分應考慮產品功能、性能、預期用途、安全指標、主要部件、結構及其組合方式等,劃分原則如下:
1. 適用的連接器結構不一樣,如IS-1、IS-4、LV-1,應劃分為不同的注冊單元;
2. 電極個數不同,如單極、雙極、多極應劃分為不同的注冊單元;
3. 電極導線材料不同,應劃分為不同的注冊單元;
4. 不同的頭端設計(形狀如翼狀、螺旋狀、錨定方式)應劃分為不同的注冊單元;
5. 不同的導線體內部結構應劃分為不同的注冊單元;
6. 左室電極導線作為單獨的注冊單元;
7. 不同的藥物和藥物釋放方式應劃分為不同的注冊單元。
(五)檢測單元劃分原則
同一注冊單元中應選擇能涵蓋其他型號的功能特點和規格參數的型號作為檢測的典型型號。
(六)隨機文件和包裝
產品使用說明書應符合《醫療器械說明書、標簽和包裝標識管理規定》、YY/T 0492-2004《植入式心臟起搏電極導管》及ISO 14708.1-2000、ISO 14708.2-2005的要求。
(七)動物試驗基本要求
對于新研制的電極導線,在進入人體臨床試驗之前進行動物試驗是必要的。
注:新研制電極導線的含義:材料、內徑、涂層、形狀、內部結構、導線頭端固定的方式等發生變化或采用新的技術、新企業研制的導線。動物試驗見附錄Ⅲ。
(八)臨床資料
對電極導線進行的臨床試驗應滿足《醫療器械注冊管理辦法》、《醫療器械臨床試驗規定》和《醫療器械臨床試驗質量管理規范》的要求。進行上市前臨床試驗的產品,實驗室研究和動物實驗驗證研究應基本完成,并且結果可基本證明產品安全、有效。具體內容見附錄Ⅳ。
(九)貨架有效期
制造商可參考《無源植入性醫療器械貨架壽命申報資料指導原則》(食藥監辦械函〔2011〕116號)中對植入醫療器械貨架有效期的相關要求提供技術文件。
制造商在制定貨架有效期的同時應考慮申報導線植入后能保證合理的臨床使用時間。
制造商至少應證明在最大貨架有效期時植入后,當處于隨機文件中制造商公布的標稱使用壽命的工作條件下,能達到其公布的標稱使用壽命。
(十)上市后質量分析報告
應從以下方面著重考慮:
1. 國內植入的電極導線數量和所報告的植出和死亡的病例數量;
2. 所報告死亡病例與是否電極導線相關的情況分析;
3. 對于植出病例:應有與機械故障相關、與臨床并發癥相關的數據,及通過醫生、患者或其他相關人員提交的關于安全有效性的數據;
4. 對于數量的要求:應包括當前分析的總的數量、正確的數量、失敗的數量(應描述故障原因),以及導線整體和部分導線的故障;
5. 可能的不良事件的發生情況:如異常的電極導線的性能(包括但不限于起搏阻抗/起搏閾值升高、不奪獲、不起搏)、電極導線絕緣損壞、膈神經刺激、心臟穿孔、電極導線移位、感染、導線周圍血栓等。
1.《植入型心臟起搏器的適應證及起搏方式選擇的建議》——中華心律失常學雜志
2. ISO 14708-1 Implants for surgery—Active implantable medical devices—Part1: General requirements for safety,marking and for information to be provided by the manufacturer
3. ISO 14708-2 Implants for surgery — Active implantable medical devices —Part 2:Cardiac pacemakers
4.《Guidance for the Submission of Research and Marketing Applications for Permanent Pacemaker Leads and for Pacemaker Lead Adaptor 510(k) Submissions》
5.《無源植入性醫療器械貨架壽命申報資料指導原則》(食藥監辦械函〔2011〕116號)
附錄I
電極導線的主要風險是導線斷裂與絕緣破損,在長期應用中由于不可預期的故障發生,可能有潛在的致命的風險,必須在選材和制造過程中加以考慮。在申報注冊資料中應有充分數據材料顯示其抗疲勞、耐老化性能、耐磨損性。除上述重點風險外還應考慮以下方面的風險:
心臟穿孔:如導線太硬、主動電極裸露部分太長、頭端電極直徑過小、過尖銳會引起心肌穿孔。
電極導線脫位:L型心房被動電極塑形不佳、導線過軟、翼狀材料剛度不足、主動電極導線裸露部分太短或轉出不足脫落。
電極頭脫落:在植入過程中頭端電極的焊接斷裂-頂端松動甚至脫落,導致電極頭與導電體喪失電連接,其后果等同于斷裂。
插入困難和造成血管損傷:電極導線外表粗糙,粗細不勻有凸緣或毛刺。
起搏閾值升高:頭端電極與心內膜貼靠不良或激素電極裝藥量不足。
感知不良:電極表面涂層質量差、結構異常(粗細、凸邊緣銳利、電極導線外表粗糙)。
血管損傷:頭端電極、多個環電極邊緣銳利。
主動固定螺旋升角太大:固定不良造成脫位或穿孔。
左室電極導線應考慮因塑形欠佳對固定的影響。
電極不能感知:如電極環太小、表面涂層碎裂脫落。
藥物電極裝藥量過多過少對病人影響。
醫生的植入技術和病人獨特的心臟結構等。
制造商應將以上(不局限于上述所列風險情況)風險情況納入風險管理,使剩余風險和總體風險控制在可接受準則的范圍內。
附錄Ⅱ
1. 細胞毒性試驗
根據GB/T 16886.5的試驗方法要求,采用細胞培養技術測定材料或材料提取物對細胞引起的細胞溶解(細胞死亡)、細胞生長抑制和其他毒性作用。要求細胞毒性不大于I級。
2. 致敏試驗
根據GB/T 16886.10的試驗方法要求,采用豚鼠最大化試驗評估材料的遲發性致敏反應。要求無致敏反應。
3. 植入試驗
根據GB/T 16886.6的試驗方法要求,用外科手術法,將最終產品或樣品和陰性對照進行為期3個月的肌肉植入試驗,肉眼觀察和顯微鏡檢查評價對活體組織的局部病理作用。局部反應程度應不超過陰性對照。還應該對材料的生物穩定性進行考察。
4. 遺傳毒性試驗
根據GB/T 16886.3的試驗方法要求,采用哺乳動物和非哺乳動物的細胞培養或其他技術測定由電極材料和/或其浸提液引起的基因突變、染色體結構和數量的改變以及DNA或基因的其他毒性。結果應無遺傳毒性。
5. 熱原試驗
根據相關標準和《中華人民共和國藥典》規定的兔法進行試驗,應符合無熱原要求。
6. 皮內刺激試驗
根據GB/T 16886.10的試驗方法要求,測定材料浸提液注射皮內后的反應性。要求無皮內刺激反應。
7. 急性全身毒性試驗
根據GB/T 16886.11的試驗方法要求,將一定劑量的電極導線浸提液直接注入小鼠體內,在規定的時間內觀察小鼠體重、運動、呼吸、死亡等情況。要求應無急性全身毒性反應。
8. 亞慢性毒性試驗
根據GB/T 16886.11的試驗方法要求,將一定劑量的電極導線浸提液連續直接注入動物體(小鼠或大鼠)內,在規定的時間內觀察動物的亞慢性毒性反應。要求應無亞慢性全身毒性反應。
9. 血液相容性試驗
9.1溶血試驗
根據GB/T 16886.4的試驗方法要求,測定材料在體外引起的紅細胞溶解程度和游離血紅蛋白。溶血率應≤5.0%。
9.2血栓形成試驗
根據GB/T 16886.4的試驗方法要求,并采用陰性對照或已經上市的同類產品作為對照,測定電極導線的體內血栓形成情況,電極導線的血栓形成程度應和對照相比無統計差異或優于對照。
附錄Ⅲ
動物試驗目的主要是評價電極導線的有效性和安全性。
對于產品中涉及的連接方式或用途發生改變的模式或特征,由動物試驗可以驗證設備的功能、工藝、技術參數時,可考慮進行動物試驗(根據產品改變的具體情況)。
動物試驗的設計應盡量接近該器械在人體中的預期用途。應植入至少每組6例以上的動物/電極導線,同時觀察急性期和慢性期指標,急性期1個月,慢性期3~6個月。應選擇具有代表性的產品型號,如主動固定式和被動固定式、單極和雙極分別進行驗證。以便于得出有效的結論。
建議與電極導線配合使用的起搏器是已經過注冊批準的,如是未批準的起搏器,則試驗時應考慮該起搏器對試驗結果的影響。
對電極導線動物試驗要求和分析評價及結論描述應包括種類、型號、尺寸、材料、基本結構等內容。
1. 研究目標
1.1電極導線阻抗測量
驗證電極導線阻抗測量特性在活體環境中能按照設計工作(例如極性確認、極性配置等)。
1.2對制造商標稱的電極導線功能指標進行評估。
1.3感染控制
植入過程應按照臨床使用要求在無菌環境下實施。對可疑的植入部位的感染應通過對潛在病原體的培養和鑒定進行評價。
1.4電極導線植入位置驗證
對植入起搏器電極的位置確認可采用影像學或心腔內及體表心電圖等證明。
2. 動物選擇及試驗過程
2.1試驗基本條件
具備外科無菌手術條件,建議采用試驗用犬、豬、猴、羊等通用動物。
2.2模型制備
建議根據需要建立合適動物試驗模型來滿足對試驗產品主要功能驗證的需要。建議每個型號的電極導線試驗動物應不得少于6只。以體表心電圖和腔內心電圖顯示房室分離并持續保持即視作達到模型制備成功。模型穩定性的評價:動物實驗期間,體表心電圖仍穩定地表現為Ⅲ°房室傳導阻滯(Ⅲ°AVB)。
2.3電極導線植入方法及時間
按照人體臨床使用的電極導線植入方法進行植入,植入后觀察時間3到6個月,根據試驗內容及目的確定。
2.4對于已上市電極導線發生特性改變時如頭端面積、極間距等,制造商可根據其改變的具體情況酌情選擇試驗動物,但是其得到的試驗結果應能支持其新特性的臨床安全有效性。
3. 試驗需記錄的電生理指標
電極導線的電性能指標。動物的生理指標監測及試驗后電極導線外觀(如變性、破損、組織粘連、血液滲入等)和植入部位的情況(如組織增生、包裹、炎癥等)的觀察和分析。
制造商需對取得的動物試驗數據進行最終的風險分析及評價,并得出研究結論。在試驗時應對試驗動物使用生理參數監護儀,監測動物的生理指標。試驗結束后,對取出電極導線的外觀和植入部位進行觀察和分析。動物心臟應被完整切離并檢查是否存在任何病變和/或損傷。提供描述手術前后動物活動情況的摘要。
因電極導線的一些功能特性依賴于起搏器,故電極導線的狀態與起搏器的效能、安全性有關,建議進行以下方面評價,記錄、分析檢測數據以驗證電極導線的功能和安全特性。
1. 感知
1.1通過足夠的觀察時間,評價感知的穩定性。
1.2用程控儀或起搏分析儀對感知的P、R波進行測量。
1.3如電極導線具有特殊功能,需進行評價。
2. 起搏管理
通過起搏器起搏管理功能,評價電極導線的穩定性和可靠性。
3. 電極導線阻抗測量
通過足夠的觀察時間,驗證電極導線阻抗趨勢的穩定性。
驗證電極導線測量特性在活體環境中能否按照設計工作。
4. 植入性檢測
在活體環境下用程控儀驗證植入物性能特征。
5. 感染控制
對可疑植入部位的感染通過對潛在病原體的培養和鑒定加以評價。
6. 電極導線植入部位驗證
對電極導線植入部位采用X射線成像術證明確認。
附錄Ⅳ
電極導線產品的臨床試驗分為探索性試驗和確證性試驗。
1. 探索性試驗
電極導線屬于高風險產品,因此應首先進行探索性試驗研究。探索性試驗有時需要更為靈活可變的方法進行設計并對數據進行分析, 以便根據逐漸積累的結果為后期的確證性試驗設計提供相應的信息。探索性試驗應有清晰和明確的研究目標。雖然探索性試驗對有效性的驗證有參考價值,但不能作為證明有效性的正式依據,醫療器械產品的安全性和有效性需通過確證性試驗才能得到證實。
設計探索性試驗方案時建議注意以下幾點:
(1)探索性試驗不一定是一個試驗。
(2)可以在單個臨床試驗單位進行,可不設立對照組。
(3)受試人群的選擇應是適應證目標人群中臨床癥狀簡單、耐受能力強、臨床操作安全的人群。
(4)首次應用于人體試驗研究的探索性試驗的每個型號的樣本量一般不應少于10例,旨在初步觀察產品的安全性和耐受性。
(5)探索性試驗應以安全性評價為主要目的,建議特別關注圍手術期的不良事件(如:主要的心臟事件)和三個月內的電極導線各項參數。
(6)探索性試驗中如出現不良事件及嚴重副作用后應當如實、及時報告;同時,臨床試驗人員應當及時做出臨床判斷,采取措施,保護受試者利益;必要時,倫理委員會有權立即中止臨床試驗。
探索性試驗結束后,制造商應對數據進行統計分析,根據分析結果決定是否進行進一步臨床試驗(確證性試驗或重新開展探索性試驗)。
2. 確證性試驗
經過探索性試驗研究后,安全性和耐受性得到初步證實的產品可繼續進行確證性試驗。對于同一制造商已有同類產品批準上市,其主要功能原理已經過醫學證實,安全性和有效性基本可以預見的產品或以擴大適應證(如果是全新的適應證,應進行探索性試驗)、減少禁忌癥為目的的產品可直接進行確證性試驗研究。
確證性試驗是一種事先提出假設并對其進行統計顯著性檢驗的研究方式,確證性臨床試驗方案設計應以科學性為基礎,客觀、真實的評價被試器械的安全性和有效性。建議采用前瞻性、多中心隨機對照臨床試驗進確證性研究。方法如下:
隨機對照臨床試驗——
作為臨床試驗設計的金標準,隨機對照臨床試驗可以有效的避免由于基線人口學特征、疾病史和伴隨用藥治療等混雜因素,可能對試驗結果造成的影響,也可減少由于術者操作水平不同所導致的療效和安全性的差異。因此,建議采用前瞻性、多中心、隨機對照臨床試驗進行以上市注冊為目的的確證性研究。
對照組應選擇中國已經批準上市的同種或同類產品,其主要功能原理必須與受試產品匹配。如沒有相同適應證或禁忌癥、相同規格型號的產品作為對照組,對照組可以采用最接近受試產品的治療產品或治療相同適應證的其他治療手段。
在確證性研究階段,為了避免研究偏性、并能夠與同類產品進行對比,不建議采用歷史對照或自身前后對照等的試驗設計方式。
3. 評價指標及評價原則
對于任一電極導線,需要對起搏閾值、起搏穩定性、感知閾值、起搏阻抗及阻抗穩定性五個方面進行評價,觀察時間至少為6個月。
3.1 主要療效評價指標
主要療效評價指標為“6個月時有效起搏率”,定義為:6個月時有效起搏人數/所有被試人數*100%。
“有效起搏”定義為:某一病人電極導線下述五方面評價指標(起搏閾值、起搏穩定性、感知閾值、起搏阻抗及阻抗穩定性)在表1(指標及其評價時間點)均滿足評價原則中的要求,該病人計為“有效起搏”。
3.2評價原則
五方面指標(起搏閾值、起搏穩定性、感知閾值、起搏阻抗及阻抗穩定性)評價原則為:
①起搏閾值(術后即刻):右心房起搏電壓閾值在脈寬為0.5毫秒時),小于等于1.5伏,右心室在脈寬為0.5ms時,小于等于1.0伏;左心室起搏電壓閾值在脈寬為0.5毫秒時,小于等于3.5伏。
②起搏穩定性(術后一周、3、6個月各隨訪點):右心房起搏電壓閾值在脈寬為0.5毫秒時),小于等于2.0伏(向上波動不超過20%),右心室在脈寬為0.5ms時,小于等于1.5伏(向上波動不超過20%);左心室起搏電壓閾值在脈寬為0.5毫秒時,小于等于6.0伏。
③感知閾值(術后即刻):右心房大于等于1.5毫伏;右心室大于等于4毫伏;左心室大于等于4毫伏;
④電極導線起搏阻抗值(術后即刻):正常值300~1500歐姆,高阻抗電極正常值450~2000歐姆;典型完全斷裂時阻抗大于2500~3000歐姆,電極保護層破裂時阻抗小于200歐姆。
⑤電極導線起搏阻抗穩定性(術后一周、3、6個月各隨訪點):正常值300~1500歐姆,高阻抗電極正常值450~2000歐姆;典型完全斷裂時阻抗大于2500~3000歐姆,電極保護層破裂時阻抗小于200歐姆。
只有當程控儀測量的每一受試者上述五方面指標每一時點全部達到評價原則要求時,才認為被試產品的起搏有效性能夠滿足臨床要求,達到“有效起搏”。表1列出了每一指標的評價時間點,以上每個測試均應用統一的測試方法。
表1 電極導線評價指標及時間點
| 指標 | 術后即刻 | 1周 | 3個月 | 6個月 |
| 起搏閾值 | √ | |||
| 起搏穩定性 | √ | √ | √ | |
| 感知閾值 | √ | |||
| 起搏阻抗 | √ | |||
| 阻抗穩定性 | √ | √ | √ |
對于表1中分別含有3個評價時間點的指標“起搏穩定性”和“阻抗穩定性”,要求每一項指標中,至少有2個及以上的時間點滿足評價原則中的要求,方可計為該指標達標,否則,該指標計為失敗。
3.3次要評價指標
除主要療效評價指標以外,通常還應對次要療效和安全性指標進行評價,一般電極導線試驗中建議考慮評價以下次要指標:電極導線的手術成功指標、術后安全性指標、術后有效性指標。
手術成功指標用于評價手術完成后達到滿意的即刻治療結果。
術后安全性指標用于評價現有醫學水平下常規的安全性。電極導線臨床試驗的安全性指標主要是植入后的不良事件及并發癥。安全性指標是臨床試驗中的強制性觀察項目。當主要不良事件發生率和并發癥明顯高于現有指標,應立即報告倫理委員會,停止試驗,由倫理委員會決定是否中止試驗。
4. 統計學考慮
數據分析時應考慮數據的完整性,所有簽署知情同意并使用了受試產品的受試者必須納入最終的統計分析。數據的剔除或在原始數據上所進行的任何處理必須有科學依據和詳細說明。臨床試驗的數據分析應基于不同的分析集,通常包括全分析集(Full Analysis Set,FAS)、符合方案集(Per Protocol Set,PPS)和安全集(Safety Set,SS),研究方案中應明確各分析集的定義。對于全分析集中的脫落病例,其主要研究終點的缺失值的填補方法應在方案中予以說明,建議采用不同的缺失數據結轉方法進行靈敏度分析,以評價缺失數據對研究結果穩定性的影響。
臨床試驗數據的分析應采用國內外公認的經典統計方法。臨床試驗方案應該明確統計檢驗的類型、檢驗假設、判定療效有臨床意義的界值等,界值的確定應有依據。
對于主要研究終點,統計結果需采用點估計及相應的95%可信區間進行評價。不能僅將p值作為對主要研究終點進行評價的依據。
由于是多中心隨機對照臨床試驗,分析時還必須考慮中心效應,以及可能存在的中心和治療組別間的交互效應對研究結果造成的影響。
5. 臨床試驗實施與管理
臨床試驗實施過程中出現的任何不良事件應如實記錄并判斷同器械的關系,分析原因。對于嚴重不良事件應按照法規要求及時上報;同時臨床試驗人員應當及時作出臨床判斷,采取措施,保護受試者利益;必要時中止臨床試驗。無論是預期的還是非預期的不良事件,都應如實記錄和報告。不良事件應作為結果變量參加臨床試驗的統計分析。
為了保證受試者的安全性和數據的完整性、真實性,建議采用基于互聯網等方式的中央隨機系統分配隨機號,所有隨機號不得二次使用。
6. 樣本量確定依據
為了使得臨床試驗結果具有可重復性,試驗樣本量的確定必須符合統計學原則。研究方案中需要明確樣本量的確定依據,并提供樣本量計算時所采用的公式。
對于電極導線試驗設計,如下樣本量計算方法可供參考:
隨機對照臨床試驗——
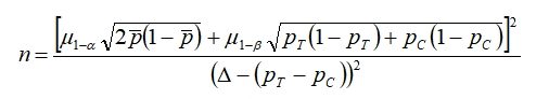
根據臨床經驗并結合既往研究報道,假設:對照組有效起搏率為95%(考慮到導線并發癥的發生率),非劣效界值為9.5%,則:當統計檢驗的顯著性水平取5%、檢驗把握度(Power)為80%、研究過程中最大10%的脫落率時,按照統計學原則計算,每組需100例樣本,兩組共需200例。
樣本量計算公式為:

公式中的pr為試驗組的預期療效水平,pc為對照組的預期療效水平,p=(pt+Pc)/2,▲為非劣效界值,u代表標準正態分布對應的分位數,α對應統計檢驗的一類錯誤水平,在此取雙側0.05,而β對應檢驗的二類錯誤水平,計算時取0.2。
制造商可根據各自申報的產品特點,提供樣本量確定依據。在試驗設計中,為了規避試驗失敗的風險,應盡量避免通過高估被試產品預期有效率水平從而減小試驗規模的方法。考慮到導線并發癥的發生率,以及臨床操作的復雜性可能導致的療效指標缺失等情況所造成的研究把握度的降低,建議保守的估計被試產品的預期療效水平。根據臨床專家的共識,通常對照組的預期療效(有效起搏率)水平不應超過95%。
本指導原則旨在針對目前的植入式心臟電極導線注冊申報進行規范,為申請人/制造商申請該類產品上市許可提供建議的詳細信息。
(一)產品的技術資料部分,旨在以統一的、總結或概括的形式,給審評人員提供足夠詳細的信息以履行他們的職責。
(二)本指導原則中包含了臨床試驗方法的實例,編寫單位認為通過這些方法可以為上市申請提供科學有效的支持性證據,但不應看作是硬性要求。制造商可建立自己的假設,計算樣本量,并應當說明其合理性。
本指導原則編寫成員由醫療器械注冊技術審評人員、臨床專家、統計學專家、工程專家、材料專家、醫療器械質量監督檢驗所專家共同組成。

站點聲明
本網站所提供的信息僅供參考之用,并不代表本網贊同其觀點,也不代表本網對其真實性負責。圖片版權歸原作者所有,如有侵權請聯系我們,我們立刻刪除。如有關于作品內容、版權或其它問題請于作品發表后的30日內與本站聯系,本網將迅速給您回應并做相關處理。
鄭州思途醫療科技有限公司專注于醫療器械產品政策與法規規事務服務,提供產品注冊備案申報代理、臨床試驗、體系建立輔導、分類界定、申請創新辦理服務。
附件:血液透析用水處理設備注冊審查指導原則(2024年修訂版)(2024年第19號).doc血液透析用水處理設備注冊審查指導原則(2024年修訂版)本指導原則旨在指導注冊申請人對血液透析用水處理設備注冊申報資料的準備及撰寫,同時也為技術審評部門提供參考。本指導原則是對血液透析用水處理設備的一般要求,注冊申請人依據產品的具體特性確定其中內容是否適用。若不適用,要具體闡述理由及相應的科學依據,并依據產
為加強醫療器械生產監督管理,規范醫療器械生產質量管理,根據《醫療器械監督管理條例》(國務院令650號)、《醫療器械生產監督管理辦法》(國家食品藥品監督管理總局令第7號)
本指導原則旨在幫助和指導注冊申請人對一次性使用腹部穿刺器注冊申報資料進行準備,以滿足技術審評的基本要求。同時有助于審評機構對該類產品進行科學規范的審評,提高審評工
附件:重組膠原蛋白創面敷料注冊審查指導原則(2023年第16號).doc重組膠原蛋白創面敷料注冊審查指導原則本指導原則旨在指導注冊申請人準備及撰寫重組膠原蛋白創
國家藥監局關于發布免于臨床試驗的體外診斷試劑臨床評價技術指導原則的通告(2021年第74號)發布時間:2021-09-24為指導體外診斷試劑的臨床評價工作,根據
國家藥監局藥審中心關于發布《抗腫瘤藥物臨床試驗中SUSAR分析與處理技術指導原則》的通告(2024年第42號) 發布日期:20241010
國家藥監局器審中心關于發布影像型超聲診斷設備(第三類)注冊審查指導原則(2023年修訂版)的通告(2024年第29號)發布時間:2024-10-14為進一步規范
附件:一次性使用醫用沖洗器產品注冊審查指導原則(2022年第41號).doc一次性使用醫用沖洗器產品注冊審查指導原則本指導原則旨在指導注冊申請人對一次性使用醫用
附件:醫用透明質酸鈉創面敷料注冊審查指導原則(2024年第21號).doc醫用透明質酸鈉創面敷料注冊審查指導原則本指導原則旨在指導注冊申請人準備及撰寫醫用透明質酸鈉創面敷料注冊申報資料,同時也為技術審評部門審查注冊申報資料提供參考。本指導原則是對醫用透明質酸鈉創面敷料產品的一般要求,注冊申請人應依據產品的具體特性確定其中內容是否適用,若不適用,需具體闡述理由及相應的科學依據,并依據產品的具體特性對
為提高醫療器械技術審評的規范性和科學性,指導醫療器械注冊人/備案人編寫產品技術要求,根據《醫療器械監督管理條例》及《醫療器械注冊與備案管理辦法》《體外診斷試劑注冊與
行業資訊
知識分享
八年
醫療器械服務經驗
聯系思途,免費獲得專屬《落地解決方案》及報價
咨詢相關問題或咨詢報價,可以直接與我們聯系
思途CRO——醫療器械注冊臨床第三方平臺
