長江三角洲區域醫療器械注冊人制度試點工作實施方案(試行)(滬藥監械管〔2019〕112號)
為深入貫徹落實中共中央辦公廳、國務院辦公廳印發的《關于深化審評審批制度改革鼓勵藥品醫療器械創新的意見》(廳字〔2017〕42號),按照國家藥品監督管理局《關于擴大醫療器械
來源:醫療器械注冊代辦 發布日期:2022-09-28 閱讀量:次
附件:EB病毒抗體檢測試劑注冊審查指導原則(2022年第36號).doc
本指導原則旨在指導注冊申請人對EB病毒抗體檢測試劑注冊申報資料的準備及撰寫,同時也為技術審評部門對注冊申報資料的技術審評提供參考。
本指導原則是針對EB病毒抗體檢測試劑注冊審查的一般要求,申請人應依據產品的具體特性確定其中內容是否適用,若不適用,需具體闡述理由及相應的科學依據,并依據產品的具體特性對注冊申報資料的內容進行充實和細化。
本指導原則是對申請人和審查人員的指導性文件,但不包括注冊審批所涉及的行政事項,亦不作為法規強制執行,如果有能夠滿足相關法規要求的其他方法,也可以采用,但需要詳細闡明理由,并對其科學合理性進行驗證,提供詳細的研究資料和驗證資料,相關人員應在遵循相關法規的前提下使用本指導原則。
本指導原則是在現行法規和標準體系以及當前認知水平下制定的,隨著法規和標準的不斷完善,以及科學技術的不斷發展,本指導原則相關內容也將適時進行調整。
EB病毒(Epstein-Barr virus,EBV)為皰疹病毒科,皰疹病毒IV型,是一種嗜人類淋巴細胞的皰疹病毒。EBV是雙鏈DNA病毒,基因組長約172kb,在病毒顆粒中呈線性分子,進入受感染細胞后,其DNA發生環化并能自我復制。
EBV基因編碼多種抗原,包括病毒衣殼抗原(viral capsid antigen,VCA)、核抗原(nuclear antigen,NA)、早期抗原(early antigen,EA)、膜抗原(membrane antigen,MA)等。
EBV感染與多種臨床疾病相關,如原發性EBV感染可引起傳染性單核細胞增多癥(infectious mononucleosis,IM),持續性或再激活EBV感染可引起慢性活動性EBV感染(chronic active EBV infection,CAEBV)和EBV相關噬血細胞性淋巴組織細胞增生癥(EBV-associated haemophagocytic lymphohistiocytosis,EBV-HLH)等非腫瘤性重癥EBV相關疾病。EBV還是一種致腫瘤病毒,與許多腫瘤的發生相關,如鼻咽癌(nasopharyngeal carcinoma,NPC)等。
常見的EBV 血清抗體標志物包括EBV衣殼抗原IgM 抗體(EBV-VCA-IgM),EBV衣殼抗原IgG抗體(EBV-VCA-IgG),EBV衣殼抗原IgA 抗體(EBV-VCA-IgA),EBV早期抗原IgM抗體(EBV-EA- IgM),EBV早期抗原IgG 抗體(EBV-EA- IgG),EBV早期抗原IgA 抗體(EBV-EA-IgA),EBV核抗原IgG抗體(EBV-NA-IgG),EBV核抗原IgA抗體(EBV-NA-IgA),Rta蛋白IgG抗體(EBV-Rta-IgG),Zta蛋白IgA抗體(EBV-Zta-IgA ),EBV衣殼抗原IgG 抗體(EBV-VCA-IgG)親合力等。
機體感染EBV后針對不同的抗原產生相應的抗體。原發性EBV感染過程中首先產生針對VCA 的IgM/IgG(EBV-VCA-IgM/IgG);在急性感染的后期,針對EA的IgG(EBV-EA-IgG)出現;在恢復期晚期,抗EBV核抗原IgG(EBV-NA-IgG)產生。
在EBV的臨床診斷中,同時檢測患者血清或血漿中數種EBV特異性抗體,可以提高診斷原發性EBV感染的敏感性和特異性,幫助判斷原發性EBV感染、既往感染或既往EBV感染再激活。
本指導原則適用于利用酶聯免疫法、化學發光法等免疫學方法,對來源于血清或血漿等人體樣本中的EBV抗體進行體外定性檢測,其臨床預期用途如下:
1. EBV感染的輔助診斷:除原發性EBV感染可致傳染性單核細胞增多癥外,EBV還可引起慢性活動性EBV感染。主要指標包括EBV-VCA-IgM,EBV-VCA-IgG,EBV-NA-IgG。
2. 鼻咽癌的輔助診斷:EBV與鼻咽癌相關,有些EBV抗體也是目前臨床應用的鼻咽癌輔助診斷的標志物。
本指導原則不適用于鼻咽癌的篩查。
對基于其他方法學的試劑,可能部分要求不完全適用或本文所述內容不夠全面,申請人可以參照本指導原則,根據產品特性對適用部分進行評價或補充其他的評價資料進行相應驗證。
(一)監管信息
1. 產品名稱及分類編碼
產品名稱應符合《體外診斷試劑注冊與備案管理辦法》(國家市場監督管理總局令第48號)及相關法規的要求,如EB病毒抗體檢測試劑(化學發光法)。根據《體外診斷試劑分類規則》,該產品按照第三類體外診斷試劑管理,分類編碼為6840。
2. 其他信息還包括產品列表、關聯文件、申報前與監管機構的聯系情況和溝通記錄以及符合性聲明等文件。
(二)綜述資料
綜述資料主要包括產品預期用途、產品描述、有關生物安全性的說明、主要研究結果的總結評價以及同類產品上市情況介紹等內容。預期用途需要明確本產品待測物以及適用場景、人群和相應的疾病診斷的價值。產品描述中應說明產品所采用的檢測原理,選擇夾心法、捕獲法或間接法的理由。同類產品上市情況介紹部分應著重從預期使用人群、適用場景、檢測原理、特異性抗原等主要組成成分、樣本類型等方面寫明擬申報產品與目前市場上已獲批準的同類產品之間的主要區別。
(三)非臨床資料
1. 產品技術要求
申請人應當在原材料質量和生產工藝穩定的前提下,根據產品研制、前期評價等結果,依據國家標準、行業標準及有關文獻資料,按照《醫療器械產品技術要求編寫指導原則》的有關要求,編寫產品技術要求。
EBV抗體檢測試劑的產品性能指標應主要包括:物理性狀、陽性參考品符合率、陰性參考品符合率、重復性、最低檢測限等。
按照《體外診斷試劑注冊與備案管理辦法》的規定,此類產品為第三類體外診斷試劑,申請人應按照《醫療器械產品技術要求編寫指導原則》的要求,以附錄形式明確主要原材料和生產工藝,附錄的編制應符合相關編寫規范的要求。
2. 分析性能研究
申請人應提交在符合質量管理體系的生產環境下生產的試劑進行的所有性能評估資料,包括具體研究方法、試驗方案、試驗數據、統計分析等詳細資料。有關分析性能評估的背景信息也應在申報資料中進行描述,包括試驗地點,采用的試劑名稱、規格和批號,儀器名稱和型號,樣本類型和來源等。分析性能評估的試驗方法可以參考國際或國內有關體外診斷試劑性能評估的指導原則進行,建議著重對以下分析性能進行研究。EBV 不同類型抗體(IgM/IgG/IgA)的性能應分別研究。
2.1樣本穩定性
一般包括樣本各種實際運輸及儲存(常溫、冷藏和冷凍)條件下的保存期限驗證,以確認樣本的保存條件及保存時間。可以在合理的溫度范圍內,每間隔一定的時間段即對儲存樣本進行驗證,從而確認不同類型樣本的穩定性。可冷凍保存的樣本還應對凍融次數進行合理驗證。
2.2適用的樣本類型
如果試劑適用于多種樣本類型,應分別評價每種樣本類型的適用性。如產品適用于血清和血漿,可采用同源比對驗證樣本的可比性和各種抗凝劑的適用性。
2.3企業參考品檢驗(如適用)
根據主要原材料研究資料中的企業參考品設置情況,采用三批產品對企業參考品進行檢驗并提供詳細的試驗數據。
2.4準確度
應采用臨床樣本驗證該類產品的準確度,樣本類型與說明書聲稱的樣本類型一致,應包含所有抗體類型。可以采用方法學比對、檢測參考盤等方式驗證。
參考盤需要其他成熟方法檢測確認過,且有準確臨床診斷信息,由多份樣本組成的一套樣本。
提供所有試驗用樣本的來源、抗體類型、抗體濃度/滴度確認等詳細資料。
2.5精密度
申請人應對精密度指標的評價標準做出合理要求,如變異系數的范圍等。應對可能影響檢測精密度的主要變量進行驗證,包括不同時間、地點、操作者、檢測輪次、試劑批次、適用儀器(如適用)等。
設定合理的精密度評價周期,例如:為期至少20天的檢測。至少采用3個水平的臨床樣本進行精密度評價,具體要求如下:
陰性樣本:待測物濃度低于最低檢測限或為零濃度,陰性檢出率應為100%(n≥20)。
臨界陽性樣本:待測物濃度略高于試劑的最低檢測限,陽性檢出率應為100%(n≥20)。
中/強陽性樣本:待測物濃度呈中度到強陽性,陽性檢出率為100%,變異系數(CV)應在合理的可接受范圍內(如適用)(n≥20)。
2.6包容性
應選擇來源于不同時間、不同地域的多份臨床確診且經合理方法確定EBV抗體陽性的患者樣本進行檢測,檢測結果應與預期結果相符。驗證用樣本的抗體水平應接近最低檢測限水平,可采用臨床陰性樣本進行稀釋。
2.7最低檢測限
建議采用已明確EBV抗體濃度/滴度的臨床陽性樣本,采用陰性樣本進行系列稀釋,進行最低檢測限的建立和驗證。
提供所有試驗用樣本的來源、抗體類型、抗體濃度/滴度確認等詳細資料。
2.7.1選取至少3份臨床樣本,系列稀釋獲得多個濃度梯度,每個濃度重復檢測不少于3次,以100%可檢出的最低濃度水平作為預設檢測限。在此濃度附近制備若干濃度梯度樣本,每個濃度至少重復檢測20次,將具有95%陽性檢出率的最低濃度作為最低檢測限。
2.7.2選擇與2.7.1不同的3份臨床樣本,采用陰性基質稀釋到最低檢測限濃度水平進行驗證,應達到95%陽性檢出率。
2.8分析特異性
2.8.1交叉反應
應對EBV的近緣微生物抗體,易引起相同或相似的臨床癥狀,及易合并感染的微生物抗體(表1)進行交叉反應驗證。
如果試劑原料采用基因重組抗原,則還需考慮對重組基因導入微生物特異性抗體的交叉反應評價。例如采用大腸埃希菌作為宿主菌進行重組抗原的表達,建議考慮大腸埃希菌抗體陽性樣本可能產生的交叉反應。
交叉反應用臨床樣本中相關病原體抗體滴度水平應較高,并且抗體類型(IgM/IgG/IgA)應與申報試劑檢測抗體類型一致。
提供所有試驗用樣本的來源、抗體類型、抗體濃度/滴度確認等信息。
表1 用于交叉反應研究的病原體抗體陽性血液樣本
| 病原體 |
| 單純皰疹病毒1型(人類皰疹病毒1型) |
| 單純皰疹病毒2型(人類皰疹病毒2型) |
| 水痘-帶狀皰疹病毒(人類皰疹病毒3型) |
| 巨細胞病毒(人類皰疹病毒5型) |
| 人皰疹病毒6型 |
| 人皰疹病毒7型* |
| 人皰疹病毒8型* |
| 乙型肝炎病毒 |
| 肺炎支原體 |
| 風疹病毒 |
| 弓形蟲 |
| 人類免疫缺陷病毒* |
| 梅毒螺旋體* |
| 甲型流感病毒* |
| 腺病毒* |
注:*項為選擇性驗證
2.8.2干擾試驗
應根據所采集樣本類型,選擇適用的干擾物質進行研究。建議申請人在每種干擾物質的潛在最大濃度(“最差條件”)下,采用待測抗體為弱陽性和陰性水平的多例樣本進行試驗,應至少包括下列可能的干擾物質。
內源性干擾物質:血紅蛋白、膽紅素、甘油三酯、類風濕因子、其他自身免疫性抗體、異嗜性抗體(如HAMA)、總IgG、總IgM、高濃度EBV特異性IgG抗體與特異性IgM抗體的相互干擾等。
常見治療性藥物:評估常見的用于EB病毒感染治療的外用或內服藥物是否會對檢測結果產生影響。
2.9 IgM抗體破壞試驗
對于EBV IgM抗體檢測試劑,建議對至少5份含有EBV特異性IgM抗體的樣本進行IgM破壞試驗研究,方法為采用特定的化學制劑(如2-巰基乙醇或二硫蘇糖醇)處理樣本后,重新進行檢測,IgM檢測結果應為陰性。
2.10鉤狀(HOOK)效應研究
須采用多份高滴度樣本進行梯度稀釋后由低濃度至高濃度分別檢測,每個梯度的稀釋液重復3~5次,對鉤狀效應進行合理的驗證。
2.11其他需注意問題
對于使用儀器進行結果判讀的產品,應提供產品說明書【適用儀器】項中所有型號儀器的性能評估資料。
2.12反應體系
反應體系研究資料包括樣本的制備方式(采集和處理)、樣本要求、樣本用量、試劑用量、反應條件、質控方法、結果判讀方式等。
反應條件確定:申請人應考慮反應時間、反應溫度、洗滌液體積和洗滌次數(如涉及)等條件對產品性能的影響,通過試驗確定上述條件的最佳組合。
反應體系中樣品加樣方式及加樣量確定:通過試驗確定最佳的加樣方式及加樣量。如樣本需采取稀釋或其他必要的方法進行處理后方可用于最終檢測,申請人還應對樣本稀釋液及其用量、其他必要的處理方法等進行研究。對于IgM抗體檢測試劑,如采用間接法,建議考慮高濃度特異性IgG對結果的影響,合理設置樣本中去除IgG步驟(例如采用含有IgG吸附劑的樣本稀釋液等),或者詳述產品設計中關于避免IgG影響IgM檢測結果的合理措施,盡量減少特異性IgG對IgM檢測造成的假陰性和假陽性。
3. 穩定性研究
主要包括實時穩定性(有效期)、開瓶(開封)穩定性、凍融穩定性(如涉及)、機載穩定性(如涉及)、運輸穩定性等研究。如果產品配套校準品,還應對校準頻率進行研究。申請人可根據實際需要選擇合理的穩定性研究方案。穩定性研究資料應包括研究方法的確定依據、具體的實施方案、接受標準、詳細的研究數據以及結論。對于實時穩定性研究,應提供至少三批樣品在實際儲存條件下保存至成品有效期后的研究資料。
4.陽性判斷值研究
提交對申報試劑陰性/陽性結果判斷的陽性判斷值(cut-off)研究資料,包括具體的試驗方案、人群選擇、評價標準、統計學分析和研究數據等。建立陽性判斷值的人群選擇應考慮不同的地理區域、不同的感染階段和生理狀態等因素的影響,納入陰性、陽性及臨界值附近的樣本。如檢測結果為數值形式,建議采用受試者工作特征曲線(receiver operating characteristic curve,ROC)的分析方式來確定合理的陽性判斷值;如試驗結果存在灰區(equivocal zone),應明確灰區建立的基礎。
建議按照本產品預期用途中適用人群進行研究,不同預期用途和適用人群,需要分別入組獨立研究。
如產品適用多個樣本類型,應明確不同的樣本類型是否存在差異,如無差異,可采用一個樣本類型進行陽性判斷值確定后,對其他樣本類型進行驗證。如有差異,應分別進行陽性判斷值的確定。
另外,建議申請人通過臨床評價進一步驗證和確認陽性判斷值的準確性。
5. 其他資料
5.1主要原材料研究資料
此類產品的主要原材料一般包括抗原、抗體、質控品/校準品和企業參考品等。如主要原材料為企業自制,應提供其詳細的制備、鑒定和質量控制過程,其制備工藝必須相對穩定;如主要原材料源于外購,應提供資料包括:選擇該原材料的依據及對比篩選試驗資料、選定的供應商名稱,供應商提供的原材料檢驗報告(質量證書),以及該原材料到貨后的入廠檢驗報告,供應商為原材料的生產商,不得隨意更換。申請人應對各主要原材料均明確質量控制標準。
5.1.1 EBV抗原
EBV抗原決定了檢測的敏感度和特異性,對抗體檢測試劑至關重要。應注重抗原的選擇,詳細描述抗原的名稱,天然/重組表達信息、抗原表位及選擇該抗原的依據。提交抗原來源、制備、純化、鑒定及質量標準(外觀、蛋白濃度、純度、分子量、功能性試驗等)等詳細試驗資料。
5.1.2 抗人IgM/IgG/IgA單克隆抗體
詳述抗體的選擇過程,提交抗體生物學來源、免疫原及質量標準(如:外觀、蛋白濃度、純度、分子量、效價、功能性試驗等)等詳細試驗資料。
5.1.3 質控品/校準品
質控品應至少包含陰性和弱陽性兩個水平。弱陽性質控品/校準品可選擇經合理稀釋的臨床陽性樣本或人源化抗體,陰性質控品/校準品可選擇臨床陰性樣本或陰性基質等。提交相關原料的來源、選擇、陰/陽性確認、基質效應等相關研究資料。企業應對質控品的檢測結果做出明確的范圍要求。校準品應提交詳細的制備、溯源等資料。
5.1.4 其他主要原材料
除上述主要原材料外,產品中包含的其他主要原材料,如辣根過氧化物酶、吖啶酯、微孔板、磁微粒等,均應進行驗證,并提交相關資料。明確主要原材料的供應商和質量控制標準。
5.1.5 企業參考品
企業參考品是保證產品性能穩定的重要構成之一。應提交企業參考品的原料來源、選擇、制備、陰陽性或濃度/滴度確認方法等相關驗證資料。企業參考品的基質應與待測樣本相同。企業參考品的設置應至少包括:陽性參考品、陰性參考品、檢測限參考品和重復性參考品。其中陽性參考品應選擇多個臨床樣本,并設置不同滴度水平。陰性參考品建議包括含有類風濕因子、自身抗體、其他病原體抗體(皰疹病毒1型、2型、3型、5型)等可能的干擾和交叉樣本,對于檢測EBV IgM抗體的試劑,陰性參考品中建議包括EBV IgG抗體陽性樣本。檢測限參考品可設置臨床陽性樣本的系列稀釋樣本,其中應包含最低檢測限附近水平。重復性參考品可設置至少兩個水平的臨床陽性樣本,包括最低檢測限附近水平。對于同時檢測EBV 不同類型抗體(IgM/IgG/IgA)的試劑,企業參考品需對產品中的不同類型EBV抗體(IgM/IgG/IgA)分別設置。
5.2生產工藝研究資料
5.2.1產品基本反應原理介紹。
5.2.2主要生產工藝介紹,可用流程圖方式表示,并簡要說明主要生產工藝的確定依據。
5.2.3包被/標記工藝研究,申請人應考慮如包被/標記液量、濃度、時間、條件等指標對產品性能的影響,通過實驗確定上述指標的最佳組合。
5.2.4顯色系統、酶作用底物等的介紹以及最適條件研究。
(四)臨床試驗
開展EBV抗體檢測試劑臨床試驗應滿足《體外診斷試劑臨床試驗技術指導原則》(國家藥品監督管理局2021年第72號通告)的要求,如相關法規、文件有更新,臨床試驗應符合更新后的要求。下面僅說明該類產品臨床試驗中應關注的重點問題。
1. 臨床試驗機構及人員
申請人應根據產品特點及預期用途,綜合不同地區EBV流行情況等因素選擇具有代表性的機構開展臨床試驗,包括受試人群的代表性等,選擇不少于3家(含3家)符合法規要求的臨床試驗機構開展臨床試驗。參與臨床試驗的人員經培訓后應熟悉相關檢測技術的原理、適用范圍、操作方法等,并能夠對檢測結果進行正確判讀。在整個試驗中,試驗體外診斷試劑和對比試劑/方法都應處于有效的質量控制下,最大限度保證試驗數據的準確性及可重復性。
2. 針對“EBV感染的輔助診斷”預期用途
2.1 臨床試驗適用人群和臨床樣本
具有EBV感染相關癥狀的患者,如傳染性單核細胞增多癥,慢性活動性EBV感染,EBV-HLH等;需與EBV感染進行鑒別診斷的其他疾病患者,如其他皰疹病毒感染患者,弓形蟲感染患者等。
臨床試驗所用樣本一般為血清或血漿。臨床樣本的采集、處理和保存等應分別滿足試驗體外診斷試劑說明書、對比試劑說明書的相關要求。
2.2 臨床試驗方法
對于EBV-VCA-IgM,EBV-VCA-IgG,EBV-NA-IgG,原則上選擇已上市同類產品作為對比試劑,評價試驗體外診斷試劑的臨床檢測性能。
對于特異性IgM抗體,申請人還應對試驗體外診斷試劑在急性感染患者中的檢出率進行評價,病例數不少于30例,急性感染患者應為原發性EBV感染,并有典型的急性感染的臨床癥狀。
入組人群應能夠代表產品目標人群的各種特征,而不應僅入組部分典型病例。應注意,入組樣本應該有一定量的新鮮樣本。在合理控制偏倚的前提下,亦可入組既往留存的病例樣本。入組的既往病例,其樣本保存條件應滿足試驗體外診斷試劑和對比試劑的要求。
2.3 最低樣本量和陽性例數
適當的樣本量是保證試驗體外診斷試劑臨床性能得到準確評價的必要條件。臨床試驗樣本量應滿足統計學要求,可采用適當的統計學方法進行估算。根據相應臨床試驗設計,可選擇陰性符合率和陽性符合率,分別估算最低陰性樣本例數和陽性樣本例數。
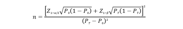
如臨床試驗采用試驗體外診斷試劑與已上市同類產品進行比對的試驗設計,可采用單組目標值法樣本量公式估算最低樣本量。

公式中,n為樣本量;Z1-α/2、Z1-β為顯著性水平和把握度的標準正態分布的分位數,P0為評價指標的臨床可接受標準,PT為試驗體外診斷試劑評價指標預期值。
基于現有認知,評價指標的臨床可接受標準(P0)即IgM/IgG抗體試劑陽性符合率和陰性符合率原則上建議不低于90%。如產品臨床可接受標準設置低于90%,應在臨床試驗方案中給予充分合理的解釋。當評價指標P接近100%時,上述樣本量估算方法可能不適用,應考慮選擇更加適宜的方法進行樣本量估算,如精確概率法等。
樣本量估算過程中需要考慮臨床試驗中病例的剔除率,一般而言,病例剔除率不應高于10%。此外,臨床試驗應納入一定數量的弱陽性樣本。
如臨床試驗研究有更合理的樣本量估算方式,在說明其合理性后亦可采用。
3. 針對“鼻咽癌的輔助診斷”預期用途
3.1 臨床試驗適用人群和臨床樣本
應入組疑似鼻咽癌患者;需進行鑒別診斷的其他疾病患者,如鼻咽部淋巴瘤(如NK/T淋巴瘤, Burkitt等),頭頸部腫瘤等。
臨床試驗所用樣本一般為血清或血漿。臨床樣本的采集、處理和保存等應分別滿足試驗體外診斷試劑說明書、對比試劑說明書(如適用)的相關要求。
3.2 臨床試驗方法
如申報此預期用途,應設計科學的臨床試驗,與鼻咽癌臨床參考標準進行對比,對抗體標志物的臨床意義進行充分驗證。如有同類產品已上市,還應與已上市同類產品進行比較,確認產品的臨床性能。
3.3 最低樣本量和陽性例數
臨床試驗樣本量應采用適當的統計學方法進行估算,并詳細描述所使用統計方法及各參數的確定依據。
4. 臨床試驗數據統計分析
應選擇合適的統計方法對臨床試驗結果進行統計分析,對于試驗體外診斷試劑與對比試劑/方法的一致性評價,一般選擇2×2表的形式總結兩種試劑/方法的檢測結果,并據此計算陽性符合率/靈敏度、陰性符合率/特異度、總符合率、Kappa值等指標及其置信區間。
對于不一致樣本,應進行原因分析。如臨床試驗方案規定采用其他方法進行確認,則確認結果不應納入統計分析。
針對鼻咽癌輔助診斷用途,申請人應考慮產品應用的地域差異,臨床試驗機構的選擇和臨床試驗方案設計應避免由于中心效應所帶來的潛在偏倚。
5.倫理學要求
臨床試驗必須符合赫爾辛基宣言的倫理學準則,必須獲得臨床試驗機構倫理委員會的同意。研究者應充分考慮臨床試驗用樣本的獲得和試驗結果對受試者的風險性,應提交倫理委員會的審查意見。
6. 質量控制
臨床試驗開始前,建議進行臨床試驗的培訓,以熟悉并掌握相關試驗方法的操作、儀器、技術性能等,最大限度控制試驗誤差。整個試驗過程都應處于有效的質量控制下,最大限度保證試驗數據的準確性及可重復性。
7. 臨床試驗方案
體外診斷試劑臨床試驗應按照同一臨床試驗方案在多家臨床試驗機構開展,且保證在整個臨床試驗過程中遵循預定的方案,不可隨意改動。整個試驗過程應在臨床試驗機構的實驗室內并由該實驗室的技術人員操作完成,申報單位的技術人員除進行必要的技術指導外,不得隨意干涉試驗進程。
試驗方案應確定嚴格的入選/排除標準,任何已入選的樣本被排除出臨床試驗都應記錄在案并明確說明原因。在試驗操作過程和結果判定時,應采用盲法以保證試驗結果的客觀性。各臨床試驗機構選用的對比試劑/方法應保持一致,以便進行合理的統計學分析。另外,應考慮試驗體外診斷試劑樣本類型與對比試劑/方法樣本類型的可比性;如有差異,需提供充分的驗證。
8. 臨床試驗報告
應對試驗的整體設計及各個關鍵點給予清晰、完整的闡述,應該對整個臨床試驗實施過程、結果分析、結論等進行條理分明的描述,并應包括必要的數據和統計分析方法。
(五)產品說明書
產品說明書是體外診斷試劑注冊申報最重要的文件之一。產品說明書的格式應符合《體外診斷試劑說明書編寫指導原則》(原國家食品藥品監督管理總局通告2014年第17號)的要求,進口體外診斷試劑的中文說明書除格式要求外,其內容應盡量保持與原文說明書的一致性,翻譯力求準確且符合中文表達習慣。產品說明書中相關技術內容均應與申請人提交的注冊申報資料中的相關研究結果保持一致,如某些內容引用自參考文獻,則應以規范格式對此內容進行標注,并單獨列明文獻的相關信息。
結合《體外診斷試劑說明書編寫指導原則》的要求,EBV抗體檢測試劑說明書編寫應重點關注以下內容。
1.【預期用途】
1.1該產品用于體外定性檢測人血清/血漿樣本中的EBV XX抗體。
1.2結合臨床和其他實驗室指標,用于EBV感染/鼻咽癌的輔助診斷。
1.3臨床背景描述:簡單介紹病原體的生物學特征、流行病學、潛伏期、易感人群、感染后的臨床表現及相關疾病等。簡要介紹現有的EBV臨床或實驗室診斷方法。
2.【樣本要求】重點明確以下內容:
2.1樣本采集:明確采集時間、采集順序、采集量等,是否受臨床癥狀、用藥情況等因素的影響。說明采集方法及樣本類型,對于血漿、全血樣本,應注明對抗凝劑的要求。
2.2干擾物的影響:明確常見干擾物對試驗結果是否產生影響,明確可接受的最大干擾物濃度。
2.3樣本處理及保存:樣本處理方法、保存條件(如冷藏、冷凍等)及不同保存條件下的保存時限和運輸條件等。冷藏、冷凍樣本檢測前是否需要恢復室溫,冷凍樣本的凍融次數限制等。
3.【檢驗方法】
詳細說明試驗操作的各個步驟:
3.1試驗環境:實驗室的溫度、濕度要求,檢測試劑及樣本的復溫要求等。
3.2試劑配制方法,試劑開封后使用方法、定標(如適用)等。
3.3高濃度樣本稀釋的方法。
3.4試驗條件:操作步驟、溫度、時間、儀器波長(如適用)等。
3.5質量控制:操作步驟,質控結果的要求,質控結果不符合要求的處理方式。
3.6 特別說明檢驗操作過程中的注意事項。
4.【陽性判斷值】說明陽性判斷值,并簡要說明陽性判斷值確定的試驗方法。如陽性判斷值(CO值)需進行計算確定,詳細描述具體計算方法。
5.【檢驗結果的解釋】
結合質控品/校準品以及樣本的檢測結果,對所有可能出現的結果組合及相應的解釋進行詳述。檢驗結果的解釋應以陽性判斷值的研究結論為依據。如有適用的臨床診療指南,則應在此項下引用,相應檢驗結果的解釋應符合相關指南的要求。如有灰區判定,詳細說明灰區樣本的處理方法。
6.【檢驗方法局限性】
綜合產品的預期用途、臨床背景、檢測方法及適用范圍等信息,對可能出現的局限性進行相關說明,建議包括以下內容:
6.1 本試劑盒的檢測結果不得作為臨床診治的唯一依據,對患者的臨床管理應結合其癥狀/體征、病史、其他實驗室檢查及治療反應等情況綜合考慮。
6.2不合理的樣本采集、轉運、處理及不當的試驗操作和試驗環境均有可能導致假陰性或假陽性結果。
6.3感染初期,抗體可能未產生或者產生水平低于產品最低檢測限,而產生陰性結果。檢測陰性不能排除急性感染,對于可疑的樣本建議進行病原學檢測,或至少間隔7天再次檢測。
6.4評價血清學檢測結果時需要結合患者的臨床病程、基礎狀況以及年齡等因素綜合考慮,如:免疫功能低下/缺陷的人群、產生抗體能力較低的嬰幼兒,可能不產生或產生低滴度的抗體,其血清學抗體檢測的參考價值有限。
6.5在近幾個月內接受過輸血或其他血液制品治療的人群,對其陽性檢測結果的分析應慎重。
6.6EBVIgG抗體在部分治愈患者體內持續存在,短期內再次感染的患者確診應進行EBV的抗體滴度動態檢測或核酸定量檢測以進行佐證。
7.【產品性能指標】
詳述以下性能指標:參考盤/方法學比對、最低檢測限、包容性、精密度、分析特異性(交叉反應和干擾試驗)、鉤狀(HOOK)效應等。介紹所用樣本背景信息、數量、濃度,評價方法及檢測結果。
8.【注意事項】
應至少包括以下內容:
8.1有關試劑盒內人源組分(如有)生物安全性的警告。如:試劑盒內質控品/校準品或其他可能含有人源物質的組分,雖已經通過了乙型肝炎病毒表面抗原(HBs-Ag)、人類免疫缺陷病毒1/2型抗體(HIV1/2-Ab)、丙型肝炎病毒抗體(HCV-Ab)等項目的檢測,結果為陰性,但截至目前,沒有任何一項檢測可以確保絕對安全,故仍應將這些組分作為潛在傳染源對待。
8.2有關試驗操作、樣本保存及處理等其他注意事項。
[1]《體外診斷試劑注冊與備案管理辦法》(國家市場監督管理總局令第48號)[Z].
[2]《關于公布體外診斷試劑注冊申報資料要求和批準證明文件格式的公告》(國家藥品監督管理局公告2021年第122號)[Z].
[3]《體外診斷試劑臨床試驗技術指導原則》(國家藥品監督管理局通告2021年第72號)[Z].
[4]《體外診斷試劑說明書編寫指導原則》(原國家食品藥品監督管理總局公告2014年第17號)[Z].
[5]《醫療器械產品技術要求編寫指導原則》(原國家食品藥品監督管理總局通告2014年第9號)[Z].
[6]全國兒童EB病毒感染協作組,EB病毒感染實驗室診斷及臨床應用專家共識,中華實驗和臨床病理學雜志[J],2018.

站點聲明
本網站所提供的信息僅供參考之用,并不代表本網贊同其觀點,也不代表本網對其真實性負責。圖片版權歸原作者所有,如有侵權請聯系我們,我們立刻刪除。如有關于作品內容、版權或其它問題請于作品發表后的30日內與本站聯系,本網將迅速給您回應并做相關處理。
鄭州思途醫療科技有限公司專注于醫療器械產品政策與法規規事務服務,提供產品注冊備案申報代理、臨床試驗、體系建立輔導、分類界定、申請創新辦理服務。
為深入貫徹落實中共中央辦公廳、國務院辦公廳印發的《關于深化審評審批制度改革鼓勵藥品醫療器械創新的意見》(廳字〔2017〕42號),按照國家藥品監督管理局《關于擴大醫療器械
為規范醫療器械注冊人跨區域委托生產的監督管理,推進長江三角洲區域醫療器械跨區域監管,根據《中共中央辦公廳國務院辦公廳關于深化審評審批制度改革鼓勵藥品醫療器械創新的意見》《
附件:血液透析用水處理設備注冊審查指導原則(2024年修訂版)(2024年第19號).doc血液透析用水處理設備注冊審查指導原則(2024年修訂版)本指導原則旨在指導注冊申請人對血液透析用水處理設備注冊申報資料的準備及撰寫,同時也為技術審評部門提供參考。本指導原則是對血液透析用水處理設備的一般要求,注冊申請人依據產品的具體特性確定其中內容是否適用。若不適用,要具體闡述理由及相應的科學依據,并依據產
為加強醫療器械生產監督管理,規范醫療器械生產質量管理,根據《醫療器械監督管理條例》(國務院令650號)、《醫療器械生產監督管理辦法》(國家食品藥品監督管理總局令第7號)
本指導原則旨在幫助和指導注冊申請人對一次性使用腹部穿刺器注冊申報資料進行準備,以滿足技術審評的基本要求。同時有助于審評機構對該類產品進行科學規范的審評,提高審評工
附件:重組膠原蛋白創面敷料注冊審查指導原則(2023年第16號).doc重組膠原蛋白創面敷料注冊審查指導原則本指導原則旨在指導注冊申請人準備及撰寫重組膠原蛋白創
國家藥監局關于發布免于臨床試驗的體外診斷試劑臨床評價技術指導原則的通告(2021年第74號)發布時間:2021-09-24為指導體外診斷試劑的臨床評價工作,根據
國家市場監督管理總局令 第47號 《醫療器械注冊與備案管理辦法》已經2021年7月22日市場監管總局第11次局務會議通過,現予公布,自2021年10月1日起施行。 附件: 醫療器械注冊與備案管
國家藥監局藥審中心關于發布《抗腫瘤藥物臨床試驗中SUSAR分析與處理技術指導原則》的通告(2024年第42號) 發布日期:20241010
國家藥監局器審中心關于發布影像型超聲診斷設備(第三類)注冊審查指導原則(2023年修訂版)的通告(2024年第29號)發布時間:2024-10-14為進一步規范
行業資訊
知識分享
八年
醫療器械服務經驗
聯系思途,免費獲得專屬《落地解決方案》及報價
咨詢相關問題或咨詢報價,可以直接與我們聯系
思途CRO——醫療器械注冊臨床第三方平臺
