干貨|臨床SSU工作內容和具體工作流程
SSU是Study Start Up的縮寫,從最初的項目準備,到啟動訪視(Site Initiation Visit)之前所有的準備工作,對整個臨床研究項目的啟動非常關鍵。負責這個關鍵階段工作的部門人員,就叫做SS
來源:醫療器械注冊代辦 發布日期:2023-10-10 閱讀量:次
?
醫療器械產品想要生產銷售流程是怎樣的?對于初創醫療器械企業而言,新產品想要生產銷售需要辦理醫療器械注冊證和醫療器械生產許可證,必須經歷注冊檢驗、臨床試驗(免臨床除外)、體系認證及注冊申報等一系列漫長的無盈利過程。對于老牌企業而言,新產品研發的長周期和醫療器械注冊證的辦理周期也必須經歷,免去了辦理醫療器械生產許可證的事宜。老牌企業的優勢在于,更加讓人省心,至少能預估出項目花費和時間成本。如何評估產品安全性風險、申報注冊周期、投入資金與成本......都是初創企業創始人最關心的問題。

本文以客戶注冊案例各流程為節點,給正打算踏入醫療器械生產行業的初創企業指明道路,希望能帶來一些微不足道的幫助。文章將按照工商注冊、產品設計開發、體系建立、創新產品申報(若涉及)、注冊檢測、臨床試驗、注冊申報、生產許可申請、產品上市等必要階段進行簡單介紹。
現如今,公司實行注冊資本認繳制和三證合一登記制度,注冊流程大為簡化,注冊費用大為節約,注冊周期也大為縮減。但在公司注冊前,需認真思考經營范圍,前置考慮未來產品生產范圍,避免后續再做變更。
產品設計開發可分7個階段:策劃階段、設計輸入階段、設計輸出階段、小試階段、中試階段、定型階段、注冊資料準備階段。
一般而言,創始人創立公司是基于科研成果與產品布局基礎上,并已初步具備研發團隊、合作伙伴等。但無論如何,對于初創公司而言,因涉及大量資金注入與技術攻堅,產品設計開發階段十分艱難,時間也是難以預估的,短則數月,長則數年。那么,如何在產品設計開發階段降低成本,滿足需求,增加創新?

首先,產品技術層面,專業高效的研發團隊是前提和基礎;其次,法規層面,建議尋找專業CRO公司或引進法規團隊對產品開發進行嚴格的風險評估,明確產品申報類型等。但我們常常發現,很多新辦企業在產品已定型、開模后,才開始引進法規人員或尋找咨詢機構。此時的建議和措施往往基于補救,嚴重的可能涉及改模、重新設計等。所以對于新辦企業而言,法規前置慎重考量。最后,還應關注產品專利布局。公司應重點布局核心技術的知識產權保護,同時還應考慮核心技術轉讓、購買等問題,而產品的專利申報可以委托相應機構,后期若涉及專利較多,亦可引入兼職或專職人員。
2014年2月7日,CFDA發布了《創新醫療器械特別審批程序(試行)》(食藥監械管〔2014〕13號),此文件自2014年3月1日起施行。該程序是在確保上市產品安全、有效的前提下,針對創新醫療器械設置的審批通道,但也有嚴苛的審批標準:(1)產品核心技術發明專利權。審批申請人經過其技術創新活動,在中國依法擁有產品核心技術發明專利權,或者依法通過受讓取得在中國發明專利權或其使用權;或者核心技術發明專利的申請已由國務院專利行政部門公開。(2)國內首創產品。主要工作原理/作用機理為國內首創,產品性能或者安全性與同類產品比較有根本性改進,技術上處于國際領先水平,并且具有顯著的臨床應用價值。(3)產品基本定型。申請人已完成產品的前期研究并具有基本定型產品,研究過程真實和受控,研究數據完整和可溯源。

若企業產品設計滿足上述要求,則應著手申報創新。創新特別審批是申請人已完成產品的前期動物研究并具有基本定型產品即可申報,申報流程詳見上圖。
據統計,截止目前,CMDE共計收到創新醫療器械特別審批申請近800項(其中,進口產品40余項),通過審查一共149項(進口13項)。審查通過率僅約20%。因此,對于初創企業來說,建議尋找專業的CRO團隊合作,提高申報成功率。
為加強對醫療器械的監督管理,提升企業質量管理水平,保障醫療器械產品的安全有效,根據《醫療器械監督管理條例》(國務院令680號)和《醫療器械生產監督管理辦法》(2017年修正版),國家食品藥品監督管理總局制定并印發了《關于發布醫療器械生產質量管理規范附錄無菌醫療器械的公告》(2015年第101號)、《關于發布醫療器械生產質量管理規范附錄植入性醫療器械的公告》(2015年第102號)及《關于發布醫療器械生產質量管理規范附錄體外診斷試劑的公告》(2015年第103號)。上述三個附錄是無菌醫療器械、植入性醫療器械及體外診斷試劑三類產品生產質量管理規范的特殊要求,于2015年10月1日起正式施行。
與此同時,2017年9月1日,CFDA又發布《關于第一類、第二類醫療器械生產企業實施醫療器械生產質量管理規范有關工作的通知》(食藥監辦械監〔2017〕120號),文件強調自2018年1月1日起,所有醫療器械生產企業均應當符合《醫療器械生產質量管理規范》要求。
因此,醫療器械生產企業需嚴格按照法規要求建立質量管理體系。而對于初創新公司除了體系建立,還需要面臨廠房選址和設計、建設等問題。
對于廠房問題,需要根據產品管理類別進行考量。非無菌產品要求相對較低。若為無菌、體外診斷類產品,則應嚴格按照法規和標準選址,遠離有污染的空氣和水(如遠離鐵離、碼頭、機場、交通要道以及散發大量粉塵、屠宰場、染料等),對廠房的設計和裝修,必須請專業的團隊和公司來設計和施工,如行政區、生活區和輔助區不得相互防礙影響,空氣潔凈級別不同的潔凈室(區)之間的靜壓差應大于5帕,潔凈室(區)與室外大氣的靜壓差應大于10帕,空氣潔凈度級別進行合理布局,人流、物流走向應當合理,避免交叉污染,注意潔凈室的水池或地漏等。雖然委托專業公司負責,但整個過程,都需要專業體系人員進一步把關,避免整改,比如消防、環評等通不過等。
建立體系問題,初創團隊到底需要多少人?哪些崗位可以兼任?
必備崗位人員:生產負責人1名、研發部負責人1名、質量負責人1名、專職檢驗員2名、總經理1名;
可兼任崗位人員:(1)管理者代表1名,可由質量負責人兼任;(2)采購部負責人1名,可由研發老大兼任;(3)銷售部負責人1名,可由產品經理或總經理兼任;(4)行政部負責人1名,也可讓總經理兼任;(5)內審員2名,持有內審資格證的即可兼任,但2人不得在同部門;(6)生產人員1名以上;
如此算來十多個崗位,兼任下來,至少應有6人以上,《醫療器械生產質量管理規范》及相關附錄中規定:“企業應當配備與生產產品相適應的專業技術人員、管理人員和操作人員,具有相應的質量檢驗機構或者專職檢驗人員的要求。要求生產負責人與質量負責人不得兼任,專職檢驗員也不要兼任”,雖然明確了三個崗位不得兼任,但也明確提到,應配備相適應的人員,所以還是應當根據產品配備充足的人員,避免被開出不合格項目。
對于初創團隊而言,我們應深知:首先,質量管理體系是個系統工作,要有系統的觀念和思維。文件及記錄僅僅是整個系統的一部分,一個子系統而已,此外還有關鍵的管理控制子系統,設計控制子系統,生產制造子系統。需要與公司的培訓系統,績效系統,營銷系統等等結合互動。基于此,質量管理體系對企業來說,是企業多年運行的標準化沉淀產物。其次,符合規范要求是醫療器械企業生存的底線。行業特殊性,即法規符合性。以往,只知道要符合法規,但具體如何符合法規及指導觀念往往都是比較模糊的。當前法規的目標是確保質量管理體系的有效性以持續生產安全有效的醫療器械產品。基于此,法規監管并不希望企業三天兩頭修改技術文件,工藝文件等,而是應保障在當前法規要求下,可持續生產安全有效醫療器械產品。若日常工作中就對法規要求有所思慮,那么質量管理體系法規符合性相對是較好的。再者,實施質量管理體系的終極目的,不是為了一張認證證書,而是降低風險。對企業來說,若證書拿到就萬事大吉,那么企業發展必定不會長遠。監管部門審核,監督,你緊張;第三方審核你也緊張;大客戶來驗廠,估計十之八九你還是會緊張的。與其這樣,還不如老老實實的做好基礎,做好系統管理。更容易達到實施體系的目的:預防為主,降低風險。最后,我想說,沒有繼承,何來沉淀,何來文化。風來了,你是否準備好了?
《醫療器械分類界定管理辦法》明確規定,申請第二類、第三類醫療器械注冊,應當進行注冊檢驗。醫療器械檢驗機構應當依據產品技術要求對相關產品進行注冊檢驗。注冊檢驗樣品的生產應當符合醫療器械質量管理體系的相關要求,注冊檢驗合格的方可進行臨床試驗或者申請注冊。辦理第一類醫療器械備案的,備案人可以提交產品自檢報告。
醫療器械注冊檢驗時檢驗機構(必須是CFDA認可有資質的機構)會依據企業所提供給的醫療器械產品技術要求做相應的檢驗,檢驗內容主要包括安規性能檢驗,EMC電磁兼容性檢驗(有源產品需要,無源產品不需要),生物相容性檢驗等。
2017年3月15日,經國務院批準,財政部發布《關于清理規范一批行政事業收費有關政策的通知》(財稅[2017]20號)。通知明確:自2017年4月1日起,包括醫療器械產品檢驗費在內的多項事業性收費取消征收,這里包括醫療器械注冊檢驗收費。
據統計,CFDA認可的全國醫療器械檢驗機構共有53家,各醫療檢驗機構對這一政策事先并無充分預案,但又必須按時執行。政策貌似助力行業發展,但短期內卻給行業發展帶來諸多混亂。企業送檢就要排長隊,過去60個工作日即可完成的,現在200個工作日也未必能完成。有些機構只接受本省樣品,跨省不接受,因為取消收費以后,經費均由本省承擔,沒有充足的資源對外提供服務。當然,CFDA也逐漸意識到當下這種混亂局面,領導非常重視,并委派相關人員深入調研。
針對現狀,企業能做的就是在產品開發立項過程中引入專業法規人員把關,協助研發工程師在設計之處就能明確遵循的標準和法規要求,降低后期整改難度。并在送檢前的開發階段做好充分的驗證測試,順利提高檢測通過率。
不難發現,中國的醫療器械注冊檢驗制度體系正在重構,并逐漸形成如下趨勢:首先,制造商應當注重構建自己的自檢體系。因為放松管制意味著制造商將承擔更多的主體責任;其次,官方的檢驗機構正在重新定位,明確自己新的職責,如繼續承擔監督抽驗的任務,承擔強制性標準實施任務等等;最后,第三方檢驗機構迎來新機遇。第三方檢驗機構一直想在注冊檢驗領域為企業提供服務。過去沒有機會,現在機會出現了,大量第三方檢測機構未來會有很多的機會參與到整個檢驗體系的構建當中,分得一杯羹。檢驗資源增加了,企業會有更多的自主選擇權,這是好事。未來檢驗體系的改革一定是有利于產業發展的。
《醫療器械注冊管理辦法》(國家食品藥品監督管理總局令第4號)
《醫療器械臨床評價技術指導原則》(2015年第14號通告)
《醫療器械臨床試驗質量管理規范》(國家食品藥品監督管理總局/中華人民共和國國家衛生和計劃生育委員會令第25號)
《關于醫療器械臨床試驗備案有關事宜的公告》(2015年第87號)
《免于進行臨床試驗的第二類醫療器械目錄》(2014年第12號通告)——488個II類產品
《免于進行臨床試驗的第三類醫療器械目錄》(2014年第13號通告)——79個III類產品
《第二批免于進行臨床試驗醫療器械目錄》(2016年第133號通告)——267個II類(含15個IVD),92個III類產品
《需進行臨床試驗審批的第三類醫療器械目錄》(2014年第14號的通告)——8個III類產品
《第三批免于進行臨床試驗醫療器械目錄》(2017年170號)——116個II類IVD,11個III類產品,37個II類產品
臨床評價的三種途徑:對列入《免于進行臨床試驗的醫療器械目錄》中的產品,有條件的免于臨床試驗;對于同品種醫療器械臨床試驗或臨床使用獲得的數據進行分析評價;按照《醫療器械臨床試驗質量管理規范》開展臨床試驗;
產品若不在目錄內,則只能通過臨床試驗或臨床評價兩個途徑。對于新公司首款產品,條件允許的話,建議做臨床試驗。首先,免臨床途徑很難拿到經驗數據和對比資料的授權;其次,首款產品注冊上市后,其他產品注冊也會很快啟動,便于后續產品臨床工作開展。關于臨床試驗工作,對于初創團隊而言,建議委托第三方有實力、專業的CRO團隊,利于更快、更好的推進臨床進度。

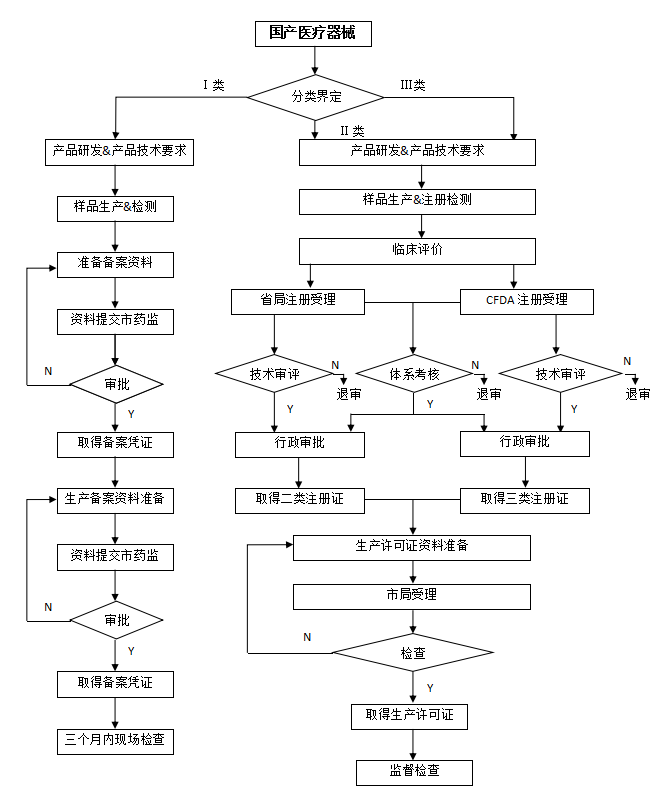
國產醫療器械注冊流程圖
撰寫準備產品綜述資料、研究資料、生產制造信息、臨床評價資料、產品風險分析資料、產品技術要求、產品注冊檢驗報告、說明書和標簽樣稿等資料清單,整理遞交CFDA。
《醫療器械監督管理辦法》明確規定:從事第二類、第三類醫療器械生產的,生產企業應當向所在地省、自治區、直轄市人民政府食品藥品監督管理部門申請生產許可并提交其符合本條例規定條件的證明資料以及所生產醫療器械的注冊證。受理生產許可申請的食品藥品監督管理部門應當自受理之日起30個工作日內對申請資料進行審核,按照國務院食品藥品監督管理部門制定的醫療器械生產質量管理規范的要求進行核查。對符合規定條件的,準予許可并發給醫療器械生產許可證;對不符合規定條件的,不予許可并書面說明理由。
根據現行法規,醫療器械先注冊后許可。所以新辦企業會面臨一個特殊時期,拿到注冊證不能馬上銷售,需要申請“生產許可證”。以江蘇省為例,2014年12月22日,JSFDA發布《關于明確江蘇省第二類、第三類醫療器械生產企業注冊與生產許可環節質量管理體系現場核查相關事宜的通知》(蘇食藥監械管〔2014〕369號),通知明確:為減少重復現場考核、提高工作效率,第二類和第三類醫療器械首次注冊的現場考核與生產許可環節質量管理體系現場考核,原則上合并進行。因此,對于新設企業首款產品而言,產品注冊證和生產許可證基本可以同步拿到。
生產許可申請,法規規定為30個工作日,即1個月的時間。若現場審核無重大缺陷,并整改順利,基本上2-3個月即可拿到生產許可證。在此階段,公司可提前預熱,做好市場推廣,參展試用,但切記不可銷售。所以,在申請生產許可期間,公司基本上全部流程、文件都已形成,人員也已全部到位。萬事具備,只欠生產許可證。
(1)醫療器械產品注冊證
醫療器械產品注冊證是醫療器械產品上市銷售的合格證明。第一類醫療器械產品備案,向市級食品藥品監督管理局提交備案資料。第二類醫療器械產品注冊,向所在地省、自治區、直轄市食品藥品監督管理部門提交注冊申請資料。第三類醫療器械產品注冊,注冊申請人應當向國家食品藥品監督管理局(CFDA)提交注冊申請資料。
(2)醫療器械生產許可證
醫療器械生產許可證是醫療器械生產企業獲得醫療器械產品生產的資質證明。從事第一類醫療器械生產的,向市食品藥品監督管理局備案。從事第二類、第三類醫療器械生產的,省、自治區、直轄市食品藥品監督管理局申請生產許可并提交相應的證明資料以及所生產醫療器械的注冊證。
產品注冊過程中,初創團隊最關心的就是費用及時間。以下為詳細流程表,涉及每個階段時限和費用。
對于資金投入,并未嚴格細化。但可粗算下:工商注冊費用可忽略不計;研發投入需結合具體產品和團隊,難以預估。但以5人的研發團隊計算,人力資源成本約100萬/年。廠房建立涉及廠房裝修和后期體系建設。廠房裝修和租賃費用,以1000平米計算,裝修約200萬人民幣。租金按照30元/平米/月計算,一年就是36萬,加上水電物業將近50萬。質量體系建設是個系統工作,涉及產品的全生命周期,費用簡單預估50萬左右。注冊檢測不收費,若產品免臨床也不產生費用,做臨床的話根據產品而定,十幾萬至幾千萬都有可能。國產三類產品首次注冊費用為15.36萬,二類產品首次注冊費用則由各省級價格、財政部門制定。以江蘇省為例,二類產品首次注冊費用8.45萬元。小微企業提出的第二類醫療器械產品首次注冊申請,可免收首次注冊費。
時間方面,我們也可簡單粗算:廠房選址按照3個月計算,公司注冊耗時30個工作日左右;廠房裝修需3個月左右;若產品研發結束,已基本定型,可直接啟動注冊檢驗工作。無不合格項目修復或整改補檢,可按照150個工作日計算;若產品免臨床則相對簡單,做臨床的話則需根據產品而定,3個月至一兩年都是有可能的。資料準備充分后遞交CFDA受理,技術審評中心排隊審評并補正,預計耗時180個工作日。審評通過即可開展體系考核,若無重大缺陷項目,30個工作日后即可取得產品注冊證。二類和三類產品耗時差異主要體現在臨床方面,注冊檢驗和審評階段差異其實并不大。簡單算來,除去前期的準備階段,產品注冊耗時約:360工作日+臨床試驗時間。

站點聲明
本網站所提供的信息僅供參考之用,并不代表本網贊同其觀點,也不代表本網對其真實性負責。圖片版權歸原作者所有,如有侵權請聯系我們,我們立刻刪除。如有關于作品內容、版權或其它問題請于作品發表后的30日內與本站聯系,本網將迅速給您回應并做相關處理。
鄭州思途醫療科技有限公司專注于醫療器械產品政策與法規規事務服務,提供產品注冊備案申報代理、臨床試驗、體系建立輔導、分類界定、申請創新辦理服務。
SSU是Study Start Up的縮寫,從最初的項目準備,到啟動訪視(Site Initiation Visit)之前所有的準備工作,對整個臨床研究項目的啟動非常關鍵。負責這個關鍵階段工作的部門人員,就叫做SS
初次申請消字號備案,總會遇到磕磕絆絆的問題,常見的有申請流程、申請資料、申請周期等問題,本文將對申請消字號產品流程及費用簡單概述,對即將進入消毒產品行業的企業做一
從事醫療器械注冊的小伙伴們可能都為同一個問題苦惱過,那就是醫療器械注冊單元的劃分。企業所設計開發出的產品,其所包含的產品范圍,是否可通過一個注冊單元完成注冊,從而
醫療器械的使用壽命是指醫療器械從規劃、設計、生產、銷售、安裝調試到使用、維修、維護檢測、報廢的全過程。而醫院使用的醫療器械的應用質量和安全管理在整個壽命過程中占重
隨著醫療器械出口的日益增長,根據市場的需求各醫療器械生產廠商需要符合國家和地區的質量體系法規越來越多,所以經常會碰到出處于不同法規或標準的一些比較容易混淆的概念及
大多數CRO公司在臨床試驗現場啟動會(SIV)上,常由CRA主導。作為一名有上進心的CRA必須清楚的了解到臨床試驗現場啟動考察的流程,再分享一些本人在啟動會考察的細節,請看下文。
關中心訪視(Close Out Visits,簡稱COV),想必大家都聽說過。作為臨床試驗最后一個階段,COV也是非常重要的一個環節,今天和大家分享一下作為監查員在COV時應該做哪些工作。什么時候
剛接觸醫療器械CRO行業的小伙伴,在學習文件法規資料的同時,常看到一些英文類專業名詞不知道是什么意思。下面,一起看看常見的醫療器械臨床試驗專業術語......"
醫療器械注冊證是依照法定程序,對擬上市銷售、使用的醫療器械的安全性、有效性進行評價,決定同意其銷售、使用后發放的證件,由國家食品藥品監督管理總局統一制定。"
2019年5月31日,國家藥監局發布了《關于實施醫療器械注冊電子申報的公告(2019年第46號)》,從2019年6月24日正式實施電子申報,從11月1日起提交國家局的注冊資料都需要按照電子申報目錄
行業資訊
知識分享
八年
醫療器械服務經驗
聯系思途,免費獲得專屬《落地解決方案》及報價
咨詢相關問題或咨詢報價,可以直接與我們聯系
思途CRO——醫療器械注冊臨床第三方平臺
